AIM Score vs. Gene Expression
Full X range:
Auto X range:
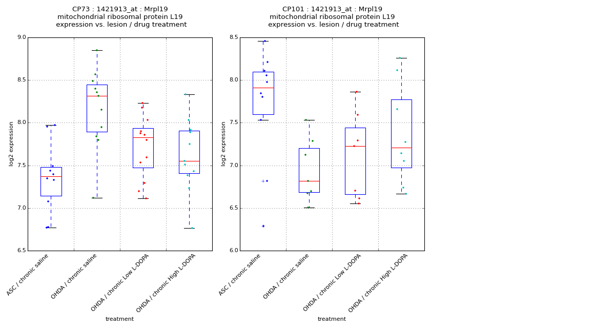
Group Comparisons: Boxplots
CP73
Model Comparison: AIM ~ expression + C(dose) vs AIM ~ C(dose)
| F-statistic | p-value | df difference |
| 0.035 | 0.853 | 1.0 |
Model:
AIM ~ expression + C(dose) + expression:C(dose)
OLS Regression Results
| Dep. Variable: | AIM | R-squared: | 0.653 |
| Model: | OLS | Adj. R-squared: | 0.598 |
| Method: | Least Squares | F-statistic: | 11.91 |
| Date: | Wed, 17 Dec 2025 | Prob (F-statistic): | 0.000129 |
| Time: | 04:26:15 | Log-Likelihood: | -100.94 |
| No. Observations: | 23 | AIC: | 209.9 |
| Df Residuals: | 19 | BIC: | 214.4 |
| Df Model: | 3 | | |
| coef | std err | t | P>|t| | [95.0% Conf. Int.] |
| Intercept | 111.8927 | 133.997 | 0.835 | 0.414 | -168.566 392.351 |
| C(dose)[T.1] | -21.6375 | 180.180 | -0.120 | 0.906 | -398.758 355.483 |
| expression | -7.4757 | 17.347 | -0.431 | 0.671 | -43.784 28.832 |
| expression:C(dose)[T.1] | 9.7455 | 23.457 | 0.415 | 0.682 | -39.351 58.842 |
| Omnibus: | 0.296 | Durbin-Watson: | 1.798 |
| Prob(Omnibus): | 0.862 | Jarque-Bera (JB): | 0.469 |
| Skew: | 0.039 | Prob(JB): | 0.791 |
| Kurtosis: | 2.305 | Cond. No. | 417. |
Model:
AIM ~ expression + C(dose)
OLS Regression Results
| Dep. Variable: | AIM | R-squared: | 0.650 |
| Model: | OLS | Adj. R-squared: | 0.615 |
| Method: | Least Squares | F-statistic: | 18.54 |
| Date: | Wed, 17 Dec 2025 | Prob (F-statistic): | 2.78e-05 |
| Time: | 04:26:15 | Log-Likelihood: | -101.04 |
| No. Observations: | 23 | AIC: | 208.1 |
| Df Residuals: | 20 | BIC: | 211.5 |
| Df Model: | 2 | | |
| coef | std err | t | P>|t| | [95.0% Conf. Int.] |
| Intercept | 70.7676 | 88.426 | 0.800 | 0.433 | -113.686 255.221 |
| C(dose)[T.1] | 53.1257 | 8.834 | 6.014 | 0.000 | 34.698 71.554 |
| expression | -2.1460 | 11.433 | -0.188 | 0.853 | -25.995 21.702 |
| Omnibus: | 0.397 | Durbin-Watson: | 1.856 |
| Prob(Omnibus): | 0.820 | Jarque-Bera (JB): | 0.529 |
| Skew: | 0.074 | Prob(JB): | 0.768 |
| Kurtosis: | 2.272 | Cond. No. | 158. |
Model:
AIM ~ C(dose)
OLS Regression Results
| Dep. Variable: | AIM | R-squared: | 0.649 |
| Model: | OLS | Adj. R-squared: | 0.632 |
| Method: | Least Squares | F-statistic: | 38.84 |
| Date: | Wed, 17 Dec 2025 | Prob (F-statistic): | 3.51e-06 |
| Time: | 04:26:15 | Log-Likelihood: | -101.06 |
| No. Observations: | 23 | AIC: | 206.1 |
| Df Residuals: | 21 | BIC: | 208.4 |
| Df Model: | 1 | | |
| coef | std err | t | P>|t| | [95.0% Conf. Int.] |
| Intercept | 54.2083 | 5.919 | 9.159 | 0.000 | 41.900 66.517 |
| C(dose)[T.1] | 53.3371 | 8.558 | 6.232 | 0.000 | 35.539 71.135 |
| Omnibus: | 0.322 | Durbin-Watson: | 1.888 |
| Prob(Omnibus): | 0.851 | Jarque-Bera (JB): | 0.485 |
| Skew: | 0.060 | Prob(JB): | 0.785 |
| Kurtosis: | 2.299 | Cond. No. | 2.57 |
Model:
AIM ~ expression
OLS Regression Results
| Dep. Variable: | AIM | R-squared: | 0.016 |
| Model: | OLS | Adj. R-squared: | -0.031 |
| Method: | Least Squares | F-statistic: | 0.3463 |
| Date: | Wed, 17 Dec 2025 | Prob (F-statistic): | 0.563 |
| Time: | 04:26:15 | Log-Likelihood: | -112.92 |
| No. Observations: | 23 | AIC: | 229.8 |
| Df Residuals: | 21 | BIC: | 232.1 |
| Df Model: | 1 | | |
| coef | std err | t | P>|t| | [95.0% Conf. Int.] |
| Intercept | 163.4068 | 142.399 | 1.148 | 0.264 | -132.727 459.541 |
| expression | -10.9125 | 18.544 | -0.588 | 0.563 | -49.478 27.653 |
| Omnibus: | 2.732 | Durbin-Watson: | 2.304 |
| Prob(Omnibus): | 0.255 | Jarque-Bera (JB): | 1.534 |
| Skew: | 0.342 | Prob(JB): | 0.464 |
| Kurtosis: | 1.935 | Cond. No. | 155. |
CP101
Model Comparison: AIM ~ expression + C(dose) vs AIM ~ C(dose)
| F-statistic | p-value | df difference |
| 1.740 | 0.212 | 1.0 |
Model:
AIM ~ expression + C(dose) + expression:C(dose)
OLS Regression Results
| Dep. Variable: | AIM | R-squared: | 0.519 |
| Model: | OLS | Adj. R-squared: | 0.387 |
| Method: | Least Squares | F-statistic: | 3.950 |
| Date: | Wed, 17 Dec 2025 | Prob (F-statistic): | 0.0389 |
| Time: | 04:26:15 | Log-Likelihood: | -69.818 |
| No. Observations: | 15 | AIC: | 147.6 |
| Df Residuals: | 11 | BIC: | 150.5 |
| Df Model: | 3 | | |
| coef | std err | t | P>|t| | [95.0% Conf. Int.] |
| Intercept | 201.5710 | 169.180 | 1.191 | 0.259 | -170.792 573.934 |
| C(dose)[T.1] | 51.6266 | 219.297 | 0.235 | 0.818 | -431.044 534.297 |
| expression | -18.8402 | 23.709 | -0.795 | 0.444 | -71.023 33.343 |
| expression:C(dose)[T.1] | 0.2897 | 30.320 | 0.010 | 0.993 | -66.443 67.023 |
| Omnibus: | 0.145 | Durbin-Watson: | 0.979 |
| Prob(Omnibus): | 0.930 | Jarque-Bera (JB): | 0.361 |
| Skew: | 0.030 | Prob(JB): | 0.835 |
| Kurtosis: | 2.243 | Cond. No. | 296. |
Model:
AIM ~ expression + C(dose)
OLS Regression Results
| Dep. Variable: | AIM | R-squared: | 0.519 |
| Model: | OLS | Adj. R-squared: | 0.438 |
| Method: | Least Squares | F-statistic: | 6.463 |
| Date: | Wed, 17 Dec 2025 | Prob (F-statistic): | 0.0125 |
| Time: | 04:26:15 | Log-Likelihood: | -69.818 |
| No. Observations: | 15 | AIC: | 145.6 |
| Df Residuals: | 12 | BIC: | 147.8 |
| Df Model: | 2 | | |
| coef | std err | t | P>|t| | [95.0% Conf. Int.] |
| Intercept | 200.3098 | 101.313 | 1.977 | 0.071 | -20.433 421.053 |
| C(dose)[T.1] | 53.7166 | 15.103 | 3.557 | 0.004 | 20.809 86.624 |
| expression | -18.6630 | 14.149 | -1.319 | 0.212 | -49.491 12.165 |
| Omnibus: | 0.144 | Durbin-Watson: | 0.981 |
| Prob(Omnibus): | 0.930 | Jarque-Bera (JB): | 0.360 |
| Skew: | 0.032 | Prob(JB): | 0.835 |
| Kurtosis: | 2.244 | Cond. No. | 103. |
Model:
AIM ~ C(dose)
OLS Regression Results
| Dep. Variable: | AIM | R-squared: | 0.449 |
| Model: | OLS | Adj. R-squared: | 0.406 |
| Method: | Least Squares | F-statistic: | 10.58 |
| Date: | Wed, 17 Dec 2025 | Prob (F-statistic): | 0.00629 |
| Time: | 04:26:15 | Log-Likelihood: | -70.833 |
| No. Observations: | 15 | AIC: | 145.7 |
| Df Residuals: | 13 | BIC: | 147.1 |
| Df Model: | 1 | | |
| coef | std err | t | P>|t| | [95.0% Conf. Int.] |
| Intercept | 67.4286 | 11.044 | 6.106 | 0.000 | 43.570 91.287 |
| C(dose)[T.1] | 49.1964 | 15.122 | 3.253 | 0.006 | 16.527 81.866 |
| Omnibus: | 2.713 | Durbin-Watson: | 0.810 |
| Prob(Omnibus): | 0.258 | Jarque-Bera (JB): | 1.868 |
| Skew: | -0.843 | Prob(JB): | 0.393 |
| Kurtosis: | 2.619 | Cond. No. | 2.70 |
Model:
AIM ~ expression
OLS Regression Results
| Dep. Variable: | AIM | R-squared: | 0.011 |
| Model: | OLS | Adj. R-squared: | -0.065 |
| Method: | Least Squares | F-statistic: | 0.1458 |
| Date: | Wed, 17 Dec 2025 | Prob (F-statistic): | 0.709 |
| Time: | 04:26:15 | Log-Likelihood: | -75.216 |
| No. Observations: | 15 | AIC: | 154.4 |
| Df Residuals: | 13 | BIC: | 155.8 |
| Df Model: | 1 | | |
| coef | std err | t | P>|t| | [95.0% Conf. Int.] |
| Intercept | 146.1865 | 137.925 | 1.060 | 0.308 | -151.783 444.156 |
| expression | -7.2449 | 18.975 | -0.382 | 0.709 | -48.238 33.748 |
| Omnibus: | 0.844 | Durbin-Watson: | 1.632 |
| Prob(Omnibus): | 0.656 | Jarque-Bera (JB): | 0.702 |
| Skew: | 0.191 | Prob(JB): | 0.704 |
| Kurtosis: | 2.011 | Cond. No. | 101. |