AIM Score vs. Gene Expression
Full X range:
Auto X range:
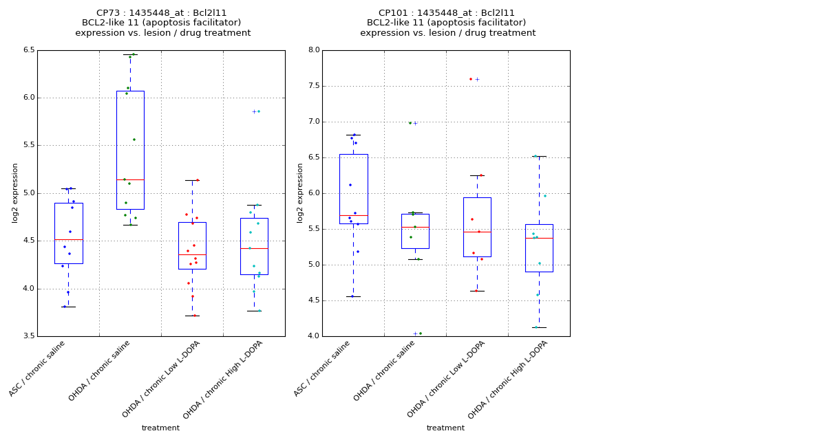
Group Comparisons: Boxplots
CP73
Model Comparison: AIM ~ expression + C(dose) vs AIM ~ C(dose)
| F-statistic | p-value | df difference |
| 0.688 | 0.417 | 1.0 |
Model:
AIM ~ expression + C(dose) + expression:C(dose)
OLS Regression Results
| Dep. Variable: | AIM | R-squared: | 0.664 |
| Model: | OLS | Adj. R-squared: | 0.611 |
| Method: | Least Squares | F-statistic: | 12.51 |
| Date: | Wed, 28 Jan 2026 | Prob (F-statistic): | 9.59e-05 |
| Time: | 17:08:43 | Log-Likelihood: | -100.57 |
| No. Observations: | 23 | AIC: | 209.1 |
| Df Residuals: | 19 | BIC: | 213.7 |
| Df Model: | 3 | | |
| coef | std err | t | P>|t| | [95.0% Conf. Int.] |
| Intercept | 44.1427 | 70.483 | 0.626 | 0.539 | -103.381 191.666 |
| C(dose)[T.1] | 15.9586 | 88.183 | 0.181 | 0.858 | -168.611 200.529 |
| expression | 2.2910 | 15.982 | 0.143 | 0.888 | -31.161 35.743 |
| expression:C(dose)[T.1] | 8.2569 | 19.805 | 0.417 | 0.681 | -33.196 49.710 |
| Omnibus: | 0.217 | Durbin-Watson: | 1.888 |
| Prob(Omnibus): | 0.897 | Jarque-Bera (JB): | 0.416 |
| Skew: | 0.088 | Prob(JB): | 0.812 |
| Kurtosis: | 2.365 | Cond. No. | 131. |
Model:
AIM ~ expression + C(dose)
OLS Regression Results
| Dep. Variable: | AIM | R-squared: | 0.661 |
| Model: | OLS | Adj. R-squared: | 0.627 |
| Method: | Least Squares | F-statistic: | 19.48 |
| Date: | Wed, 28 Jan 2026 | Prob (F-statistic): | 2.02e-05 |
| Time: | 17:08:43 | Log-Likelihood: | -100.67 |
| No. Observations: | 23 | AIC: | 207.3 |
| Df Residuals: | 20 | BIC: | 210.8 |
| Df Model: | 2 | | |
| coef | std err | t | P>|t| | [95.0% Conf. Int.] |
| Intercept | 20.5185 | 41.041 | 0.500 | 0.623 | -65.091 106.128 |
| C(dose)[T.1] | 52.5367 | 8.677 | 6.055 | 0.000 | 34.438 70.636 |
| expression | 7.6680 | 9.242 | 0.830 | 0.417 | -11.610 26.946 |
| Omnibus: | 0.161 | Durbin-Watson: | 1.855 |
| Prob(Omnibus): | 0.923 | Jarque-Bera (JB): | 0.377 |
| Skew: | -0.026 | Prob(JB): | 0.828 |
| Kurtosis: | 2.375 | Cond. No. | 44.9 |
Model:
AIM ~ C(dose)
OLS Regression Results
| Dep. Variable: | AIM | R-squared: | 0.649 |
| Model: | OLS | Adj. R-squared: | 0.632 |
| Method: | Least Squares | F-statistic: | 38.84 |
| Date: | Wed, 28 Jan 2026 | Prob (F-statistic): | 3.51e-06 |
| Time: | 17:08:43 | Log-Likelihood: | -101.06 |
| No. Observations: | 23 | AIC: | 206.1 |
| Df Residuals: | 21 | BIC: | 208.4 |
| Df Model: | 1 | | |
| coef | std err | t | P>|t| | [95.0% Conf. Int.] |
| Intercept | 54.2083 | 5.919 | 9.159 | 0.000 | 41.900 66.517 |
| C(dose)[T.1] | 53.3371 | 8.558 | 6.232 | 0.000 | 35.539 71.135 |
| Omnibus: | 0.322 | Durbin-Watson: | 1.888 |
| Prob(Omnibus): | 0.851 | Jarque-Bera (JB): | 0.485 |
| Skew: | 0.060 | Prob(JB): | 0.785 |
| Kurtosis: | 2.299 | Cond. No. | 2.57 |
Model:
AIM ~ expression
OLS Regression Results
| Dep. Variable: | AIM | R-squared: | 0.039 |
| Model: | OLS | Adj. R-squared: | -0.007 |
| Method: | Least Squares | F-statistic: | 0.8477 |
| Date: | Wed, 28 Jan 2026 | Prob (F-statistic): | 0.368 |
| Time: | 17:08:43 | Log-Likelihood: | -112.65 |
| No. Observations: | 23 | AIC: | 229.3 |
| Df Residuals: | 21 | BIC: | 231.6 |
| Df Model: | 1 | | |
| coef | std err | t | P>|t| | [95.0% Conf. Int.] |
| Intercept | 17.9956 | 67.411 | 0.267 | 0.792 | -122.194 158.185 |
| expression | 13.8904 | 15.087 | 0.921 | 0.368 | -17.485 45.266 |
| Omnibus: | 1.245 | Durbin-Watson: | 2.474 |
| Prob(Omnibus): | 0.537 | Jarque-Bera (JB): | 0.939 |
| Skew: | 0.202 | Prob(JB): | 0.625 |
| Kurtosis: | 2.096 | Cond. No. | 44.7 |
CP101
Model Comparison: AIM ~ expression + C(dose) vs AIM ~ C(dose)
| F-statistic | p-value | df difference |
| 0.223 | 0.645 | 1.0 |
Model:
AIM ~ expression + C(dose) + expression:C(dose)
OLS Regression Results
| Dep. Variable: | AIM | R-squared: | 0.578 |
| Model: | OLS | Adj. R-squared: | 0.462 |
| Method: | Least Squares | F-statistic: | 5.015 |
| Date: | Wed, 28 Jan 2026 | Prob (F-statistic): | 0.0197 |
| Time: | 17:08:43 | Log-Likelihood: | -68.835 |
| No. Observations: | 15 | AIC: | 145.7 |
| Df Residuals: | 11 | BIC: | 148.5 |
| Df Model: | 3 | | |
| coef | std err | t | P>|t| | [95.0% Conf. Int.] |
| Intercept | 167.1584 | 66.691 | 2.506 | 0.029 | 20.373 313.944 |
| C(dose)[T.1] | -127.2737 | 100.400 | -1.268 | 0.231 | -348.252 93.704 |
| expression | -17.5339 | 11.579 | -1.514 | 0.158 | -43.018 7.951 |
| expression:C(dose)[T.1] | 32.0193 | 18.202 | 1.759 | 0.106 | -8.043 72.081 |
| Omnibus: | 1.632 | Durbin-Watson: | 1.360 |
| Prob(Omnibus): | 0.442 | Jarque-Bera (JB): | 0.422 |
| Skew: | -0.378 | Prob(JB): | 0.810 |
| Kurtosis: | 3.322 | Cond. No. | 102. |
Model:
AIM ~ expression + C(dose)
OLS Regression Results
| Dep. Variable: | AIM | R-squared: | 0.459 |
| Model: | OLS | Adj. R-squared: | 0.369 |
| Method: | Least Squares | F-statistic: | 5.087 |
| Date: | Wed, 28 Jan 2026 | Prob (F-statistic): | 0.0251 |
| Time: | 17:08:43 | Log-Likelihood: | -70.695 |
| No. Observations: | 15 | AIC: | 147.4 |
| Df Residuals: | 12 | BIC: | 149.5 |
| Df Model: | 2 | | |
| coef | std err | t | P>|t| | [95.0% Conf. Int.] |
| Intercept | 93.4615 | 56.237 | 1.662 | 0.122 | -29.067 215.990 |
| C(dose)[T.1] | 47.4110 | 16.046 | 2.955 | 0.012 | 12.450 82.372 |
| expression | -4.5769 | 9.682 | -0.473 | 0.645 | -25.673 16.519 |
| Omnibus: | 2.605 | Durbin-Watson: | 0.822 |
| Prob(Omnibus): | 0.272 | Jarque-Bera (JB): | 1.792 |
| Skew: | -0.825 | Prob(JB): | 0.408 |
| Kurtosis: | 2.617 | Cond. No. | 41.7 |
Model:
AIM ~ C(dose)
OLS Regression Results
| Dep. Variable: | AIM | R-squared: | 0.449 |
| Model: | OLS | Adj. R-squared: | 0.406 |
| Method: | Least Squares | F-statistic: | 10.58 |
| Date: | Wed, 28 Jan 2026 | Prob (F-statistic): | 0.00629 |
| Time: | 17:08:43 | Log-Likelihood: | -70.833 |
| No. Observations: | 15 | AIC: | 145.7 |
| Df Residuals: | 13 | BIC: | 147.1 |
| Df Model: | 1 | | |
| coef | std err | t | P>|t| | [95.0% Conf. Int.] |
| Intercept | 67.4286 | 11.044 | 6.106 | 0.000 | 43.570 91.287 |
| C(dose)[T.1] | 49.1964 | 15.122 | 3.253 | 0.006 | 16.527 81.866 |
| Omnibus: | 2.713 | Durbin-Watson: | 0.810 |
| Prob(Omnibus): | 0.258 | Jarque-Bera (JB): | 1.868 |
| Skew: | -0.843 | Prob(JB): | 0.393 |
| Kurtosis: | 2.619 | Cond. No. | 2.70 |
Model:
AIM ~ expression
OLS Regression Results
| Dep. Variable: | AIM | R-squared: | 0.065 |
| Model: | OLS | Adj. R-squared: | -0.007 |
| Method: | Least Squares | F-statistic: | 0.9060 |
| Date: | Wed, 28 Jan 2026 | Prob (F-statistic): | 0.359 |
| Time: | 17:08:43 | Log-Likelihood: | -74.795 |
| No. Observations: | 15 | AIC: | 153.6 |
| Df Residuals: | 13 | BIC: | 155.0 |
| Df Model: | 1 | | |
| coef | std err | t | P>|t| | [95.0% Conf. Int.] |
| Intercept | 155.6473 | 65.854 | 2.364 | 0.034 | 13.378 297.916 |
| expression | -11.3108 | 11.883 | -0.952 | 0.359 | -36.983 14.361 |
| Omnibus: | 5.168 | Durbin-Watson: | 1.653 |
| Prob(Omnibus): | 0.075 | Jarque-Bera (JB): | 1.673 |
| Skew: | 0.361 | Prob(JB): | 0.433 |
| Kurtosis: | 1.532 | Cond. No. | 38.3 |