AIM Score vs. Gene Expression 
		Full X range:
		
		 
			
		
		Auto X range:
		
		 
		
		
		
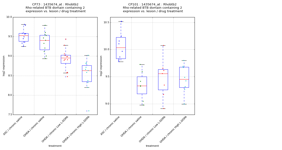
		Group Comparisons: Boxplots
		
		 
		
		
		 CP73 
		 Model Comparison: AIM ~ expression + C(dose) vs AIM ~ C(dose) 
		
		
	
		
		 | F-statistic |   p-value  |   df difference  |  
		 |  0.763  |   0.393  |   1.0  |  
		
		
		
		
		
			Model: 
 AIM ~ expression + C(dose) + expression:C(dose)
			
			
OLS Regression Results
  | Dep. Variable: |            AIM |          R-squared:          |     0.680 | 
  | Model: |                    OLS |          Adj. R-squared:     |     0.629 | 
  | Method: |              Least Squares |     F-statistic:        |     13.43 | 
  | Date: |              Tue, 04 Nov 2025 |    Prob (F-statistic): |  6.14e-05 | 
  | Time: |                  09:37:16 |        Log-Likelihood:     |   -100.02 | 
  | No. Observations: |           23 |         AIC:                |     208.0 | 
  | Df Residuals: |               19 |         BIC:                |     212.6 | 
  | Df Model: |                    3 |                             |        |    
              |                 coef |      std err |       t |       P>|t| |  [95.0% Conf. Int.] |  
  | Intercept |                  318.9237 |    197.368 |      1.616 |   0.123 |    -94.172   732.020 | 
  | C(dose)[T.1] |              -200.0292 |    243.720 |     -0.821 |   0.422 |   -710.142   310.083 | 
  | expression |                 -29.6597 |     22.104 |     -1.342 |   0.195 |    -75.924    16.604 | 
  | expression:C(dose)[T.1] |     28.3277 |     27.744 |      1.021 |   0.320 |    -29.741    86.396 | 
  | Omnibus: |         0.515 |    Durbin-Watson:      |     1.579 | 
  | Prob(Omnibus): |   0.773 |    Jarque-Bera (JB):   |     0.607 | 
  | Skew: |           -0.150 |    Prob(JB):           |     0.738 | 
  | Kurtosis: |        2.263 |    Cond. No.           |      692. | 
			 
		
			
		
		
			Model: 
 AIM ~ expression + C(dose)
			
			
OLS Regression Results
  | Dep. Variable: |            AIM |          R-squared:          |     0.662 | 
  | Model: |                    OLS |          Adj. R-squared:     |     0.628 | 
  | Method: |              Least Squares |     F-statistic:        |     19.58 | 
  | Date: |              Tue, 04 Nov 2025 |    Prob (F-statistic): |  1.95e-05 | 
  | Time: |                  09:37:16 |        Log-Likelihood:     |   -100.63 | 
  | No. Observations: |           23 |         AIC:                |     207.3 | 
  | Df Residuals: |               20 |         BIC:                |     210.7 | 
  | Df Model: |                    2 |                             |        |    
         |           coef |      std err |       t |       P>|t| |  [95.0% Conf. Int.] |  
  | Intercept |       158.4405 |    119.501 |      1.326 |   0.200 |    -90.834   407.715 | 
  | C(dose)[T.1] |     48.6048 |     10.171 |      4.779 |   0.000 |     27.389    69.821 | 
  | expression |      -11.6786 |     13.373 |     -0.873 |   0.393 |    -39.574    16.216 | 
  | Omnibus: |         0.332 |    Durbin-Watson:      |     1.889 | 
  | Prob(Omnibus): |   0.847 |    Jarque-Bera (JB):   |     0.495 | 
  | Skew: |           -0.105 |    Prob(JB):           |     0.781 | 
  | Kurtosis: |        2.313 |    Cond. No.           |      247. | 
			 
		
			
		
		
			Model: 
 AIM ~ C(dose)
			
			
OLS Regression Results
  | Dep. Variable: |            AIM |          R-squared:          |     0.649 | 
  | Model: |                    OLS |          Adj. R-squared:     |     0.632 | 
  | Method: |              Least Squares |     F-statistic:        |     38.84 | 
  | Date: |              Tue, 04 Nov 2025 |    Prob (F-statistic): |  3.51e-06 | 
  | Time: |                  09:37:16 |        Log-Likelihood:     |   -101.06 | 
  | No. Observations: |           23 |         AIC:                |     206.1 | 
  | Df Residuals: |               21 |         BIC:                |     208.4 | 
  | Df Model: |                    1 |                             |        |    
         |           coef |      std err |       t |       P>|t| |  [95.0% Conf. Int.] |  
  | Intercept |        54.2083 |      5.919 |      9.159 |   0.000 |     41.900    66.517 | 
  | C(dose)[T.1] |     53.3371 |      8.558 |      6.232 |   0.000 |     35.539    71.135 | 
  | Omnibus: |         0.322 |    Durbin-Watson:      |     1.888 | 
  | Prob(Omnibus): |   0.851 |    Jarque-Bera (JB):   |     0.485 | 
  | Skew: |            0.060 |    Prob(JB):           |     0.785 | 
  | Kurtosis: |        2.299 |    Cond. No.           |      2.57 | 
			 
		
			
		
		
			Model: 
 AIM ~ expression
			
			
OLS Regression Results
  | Dep. Variable: |            AIM |          R-squared:          |     0.276 | 
  | Model: |                    OLS |          Adj. R-squared:     |     0.241 | 
  | Method: |              Least Squares |     F-statistic:        |     8.003 | 
  | Date: |              Tue, 04 Nov 2025 |    Prob (F-statistic): |   0.0101 |  
  | Time: |                  09:37:16 |        Log-Likelihood:     |   -109.39 | 
  | No. Observations: |           23 |         AIC:                |     222.8 | 
  | Df Residuals: |               21 |         BIC:                |     225.1 | 
  | Df Model: |                    1 |                             |        |    
        |          coef |      std err |       t |       P>|t| |  [95.0% Conf. Int.] |  
  | Intercept |     478.9597 |    141.258 |      3.391 |   0.003 |    185.198   772.721 | 
  | expression |    -45.7255 |     16.163 |     -2.829 |   0.010 |    -79.338   -12.113 | 
  | Omnibus: |         2.094 |    Durbin-Watson:      |     2.111 | 
  | Prob(Omnibus): |   0.351 |    Jarque-Bera (JB):   |     1.224 | 
  | Skew: |            0.236 |    Prob(JB):           |     0.542 | 
  | Kurtosis: |        1.974 |    Cond. No.           |      204. | 
			 
		
			
		
		 
	
		
		 CP101 
		
		 Model Comparison: AIM ~ expression + C(dose) vs AIM ~ C(dose) 
		
		
	
		
		 | F-statistic |   p-value  |   df difference  |  
		 |  1.228  |   0.289  |   1.0  |  
		
		
		
		
		
			Model: 
 AIM ~ expression + C(dose) + expression:C(dose)
			
			
OLS Regression Results
  | Dep. Variable: |            AIM |          R-squared:          |     0.502 | 
  | Model: |                    OLS |          Adj. R-squared:     |     0.366 | 
  | Method: |              Least Squares |     F-statistic:        |     3.691 | 
  | Date: |              Tue, 04 Nov 2025 |    Prob (F-statistic): |   0.0465 |  
  | Time: |                  09:37:16 |        Log-Likelihood:     |   -70.077 | 
  | No. Observations: |           15 |         AIC:                |     148.2 | 
  | Df Residuals: |               11 |         BIC:                |     151.0 | 
  | Df Model: |                    3 |                             |        |    
              |                 coef |      std err |       t |       P>|t| |  [95.0% Conf. Int.] |  
  | Intercept |                 -232.6967 |    312.273 |     -0.745 |   0.472 |   -920.005   454.612 | 
  | C(dose)[T.1] |               148.4642 |    514.464 |      0.289 |   0.778 |   -983.864  1280.793 | 
  | expression |                  31.6730 |     32.933 |      0.962 |   0.357 |    -40.812   104.158 | 
  | expression:C(dose)[T.1] |    -10.4323 |     54.338 |     -0.192 |   0.851 |   -130.030   109.166 | 
  | Omnibus: |         3.330 |    Durbin-Watson:      |     1.024 | 
  | Prob(Omnibus): |   0.189 |    Jarque-Bera (JB):   |     1.439 | 
  | Skew: |           -0.724 |    Prob(JB):           |     0.487 | 
  | Kurtosis: |        3.453 |    Cond. No.           |      793. | 
		
			 
		
			
		
		
			Model: 
 AIM ~ expression + C(dose)
			
			
OLS Regression Results
  | Dep. Variable: |            AIM |          R-squared:          |     0.500 | 
  | Model: |                    OLS |          Adj. R-squared:     |     0.417 | 
  | Method: |              Least Squares |     F-statistic:        |     5.999 | 
  | Date: |              Tue, 04 Nov 2025 |    Prob (F-statistic): |   0.0156 |  
  | Time: |                  09:37:16 |        Log-Likelihood:     |   -70.102 | 
  | No. Observations: |           15 |         AIC:                |     146.2 | 
  | Df Residuals: |               12 |         BIC:                |     148.3 | 
  | Df Model: |                    2 |                             |        |    
         |           coef |      std err |       t |       P>|t| |  [95.0% Conf. Int.] |  
  | Intercept |      -196.3855 |    238.301 |     -0.824 |   0.426 |   -715.599   322.828 | 
  | C(dose)[T.1] |     49.7393 |     14.999 |      3.316 |   0.006 |     17.059    82.420 | 
  | expression |       27.8410 |     25.122 |      1.108 |   0.289 |    -26.895    82.577 | 
  | Omnibus: |         4.208 |    Durbin-Watson:      |     0.994 | 
  | Prob(Omnibus): |   0.122 |    Jarque-Bera (JB):   |     1.887 | 
  | Skew: |           -0.802 |    Prob(JB):           |     0.389 | 
  | Kurtosis: |        3.669 |    Cond. No.           |      306. | 
		
			 
		
			
		
		
			Model: 
 AIM ~ C(dose)
			
			
OLS Regression Results
  | Dep. Variable: |            AIM |          R-squared:          |     0.449 | 
  | Model: |                    OLS |          Adj. R-squared:     |     0.406 | 
  | Method: |              Least Squares |     F-statistic:        |     10.58 | 
  | Date: |              Tue, 04 Nov 2025 |    Prob (F-statistic): |   0.00629 | 
  | Time: |                  09:37:16 |        Log-Likelihood:     |   -70.833 | 
  | No. Observations: |           15 |         AIC:                |     145.7 | 
  | Df Residuals: |               13 |         BIC:                |     147.1 | 
  | Df Model: |                    1 |                             |        |    
         |           coef |      std err |       t |       P>|t| |  [95.0% Conf. Int.] |  
  | Intercept |        67.4286 |     11.044 |      6.106 |   0.000 |     43.570    91.287 | 
  | C(dose)[T.1] |     49.1964 |     15.122 |      3.253 |   0.006 |     16.527    81.866 | 
  | Omnibus: |         2.713 |    Durbin-Watson:      |     0.810 | 
  | Prob(Omnibus): |   0.258 |    Jarque-Bera (JB):   |     1.868 | 
  | Skew: |           -0.843 |    Prob(JB):           |     0.393 | 
  | Kurtosis: |        2.619 |    Cond. No.           |      2.70 | 
		
			 
		
			
		
		
			Model: 
 AIM ~ expression
			
			
OLS Regression Results
  | Dep. Variable: |            AIM |          R-squared:          |     0.042 | 
  | Model: |                    OLS |          Adj. R-squared:     |    -0.032 | 
  | Method: |              Least Squares |     F-statistic:        |    0.5658 | 
  | Date: |              Tue, 04 Nov 2025 |    Prob (F-statistic): |    0.465 |  
  | Time: |                  09:37:16 |        Log-Likelihood:     |   -74.981 | 
  | No. Observations: |           15 |         AIC:                |     154.0 | 
  | Df Residuals: |               13 |         BIC:                |     155.4 | 
  | Df Model: |                    1 |                             |        |    
        |          coef |      std err |       t |       P>|t| |  [95.0% Conf. Int.] |  
  | Intercept |    -144.1038 |    316.254 |     -0.456 |   0.656 |   -827.328   539.121 | 
  | expression |     25.1201 |     33.395 |      0.752 |   0.465 |    -47.026    97.266 | 
  | Omnibus: |         2.490 |    Durbin-Watson:      |     1.728 | 
  | Prob(Omnibus): |   0.288 |    Jarque-Bera (JB):   |     1.097 | 
  | Skew: |            0.186 |    Prob(JB):           |     0.578 | 
  | Kurtosis: |        1.728 |    Cond. No.           |      304. |