AIM Score vs. Gene Expression
Full X range:
Auto X range:
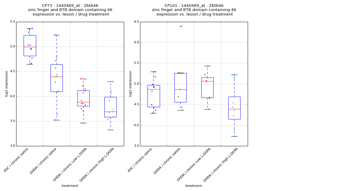
Group Comparisons: Boxplots
CP73
Model Comparison: AIM ~ expression + C(dose) vs AIM ~ C(dose)
| F-statistic | p-value | df difference |
| 0.390 | 0.539 | 1.0 |
Model:
AIM ~ expression + C(dose) + expression:C(dose)
OLS Regression Results
| Dep. Variable: | AIM | R-squared: | 0.721 |
| Model: | OLS | Adj. R-squared: | 0.677 |
| Method: | Least Squares | F-statistic: | 16.35 |
| Date: | Sun, 09 Nov 2025 | Prob (F-statistic): | 1.70e-05 |
| Time: | 19:44:14 | Log-Likelihood: | -98.434 |
| No. Observations: | 23 | AIC: | 204.9 |
| Df Residuals: | 19 | BIC: | 209.4 |
| Df Model: | 3 | | |
| coef | std err | t | P>|t| | [95.0% Conf. Int.] |
| Intercept | -48.8518 | 92.582 | -0.528 | 0.604 | -242.629 144.925 |
| C(dose)[T.1] | 307.7588 | 122.094 | 2.521 | 0.021 | 52.214 563.304 |
| expression | 26.1814 | 23.477 | 1.115 | 0.279 | -22.957 75.320 |
| expression:C(dose)[T.1] | -66.2999 | 31.526 | -2.103 | 0.049 | -132.285 -0.315 |
| Omnibus: | 0.616 | Durbin-Watson: | 1.800 |
| Prob(Omnibus): | 0.735 | Jarque-Bera (JB): | 0.686 |
| Skew: | -0.307 | Prob(JB): | 0.710 |
| Kurtosis: | 2.417 | Cond. No. | 167. |
Model:
AIM ~ expression + C(dose)
OLS Regression Results
| Dep. Variable: | AIM | R-squared: | 0.656 |
| Model: | OLS | Adj. R-squared: | 0.621 |
| Method: | Least Squares | F-statistic: | 19.05 |
| Date: | Sun, 09 Nov 2025 | Prob (F-statistic): | 2.34e-05 |
| Time: | 19:44:15 | Log-Likelihood: | -100.84 |
| No. Observations: | 23 | AIC: | 207.7 |
| Df Residuals: | 20 | BIC: | 211.1 |
| Df Model: | 2 | | |
| coef | std err | t | P>|t| | [95.0% Conf. Int.] |
| Intercept | 95.8813 | 67.018 | 1.431 | 0.168 | -43.915 235.678 |
| C(dose)[T.1] | 51.6060 | 9.117 | 5.660 | 0.000 | 32.587 70.625 |
| expression | -10.5866 | 16.957 | -0.624 | 0.539 | -45.958 24.784 |
| Omnibus: | 0.405 | Durbin-Watson: | 1.951 |
| Prob(Omnibus): | 0.817 | Jarque-Bera (JB): | 0.547 |
| Skew: | 0.180 | Prob(JB): | 0.761 |
| Kurtosis: | 2.336 | Cond. No. | 64.1 |
Model:
AIM ~ C(dose)
OLS Regression Results
| Dep. Variable: | AIM | R-squared: | 0.649 |
| Model: | OLS | Adj. R-squared: | 0.632 |
| Method: | Least Squares | F-statistic: | 38.84 |
| Date: | Sun, 09 Nov 2025 | Prob (F-statistic): | 3.51e-06 |
| Time: | 19:44:15 | Log-Likelihood: | -101.06 |
| No. Observations: | 23 | AIC: | 206.1 |
| Df Residuals: | 21 | BIC: | 208.4 |
| Df Model: | 1 | | |
| coef | std err | t | P>|t| | [95.0% Conf. Int.] |
| Intercept | 54.2083 | 5.919 | 9.159 | 0.000 | 41.900 66.517 |
| C(dose)[T.1] | 53.3371 | 8.558 | 6.232 | 0.000 | 35.539 71.135 |
| Omnibus: | 0.322 | Durbin-Watson: | 1.888 |
| Prob(Omnibus): | 0.851 | Jarque-Bera (JB): | 0.485 |
| Skew: | 0.060 | Prob(JB): | 0.785 |
| Kurtosis: | 2.299 | Cond. No. | 2.57 |
Model:
AIM ~ expression
OLS Regression Results
| Dep. Variable: | AIM | R-squared: | 0.104 |
| Model: | OLS | Adj. R-squared: | 0.062 |
| Method: | Least Squares | F-statistic: | 2.447 |
| Date: | Sun, 09 Nov 2025 | Prob (F-statistic): | 0.133 |
| Time: | 19:44:15 | Log-Likelihood: | -111.84 |
| No. Observations: | 23 | AIC: | 227.7 |
| Df Residuals: | 21 | BIC: | 229.9 |
| Df Model: | 1 | | |
| coef | std err | t | P>|t| | [95.0% Conf. Int.] |
| Intercept | 233.1775 | 98.343 | 2.371 | 0.027 | 28.661 437.694 |
| expression | -39.7753 | 25.428 | -1.564 | 0.133 | -92.656 13.105 |
| Omnibus: | 4.103 | Durbin-Watson: | 2.733 |
| Prob(Omnibus): | 0.129 | Jarque-Bera (JB): | 1.473 |
| Skew: | -0.009 | Prob(JB): | 0.479 |
| Kurtosis: | 1.760 | Cond. No. | 59.4 |
CP101
Model Comparison: AIM ~ expression + C(dose) vs AIM ~ C(dose)
| F-statistic | p-value | df difference |
| 4.692 | 0.051 | 1.0 |
Model:
AIM ~ expression + C(dose) + expression:C(dose)
OLS Regression Results
| Dep. Variable: | AIM | R-squared: | 0.604 |
| Model: | OLS | Adj. R-squared: | 0.496 |
| Method: | Least Squares | F-statistic: | 5.586 |
| Date: | Sun, 09 Nov 2025 | Prob (F-statistic): | 0.0141 |
| Time: | 19:44:15 | Log-Likelihood: | -68.358 |
| No. Observations: | 15 | AIC: | 144.7 |
| Df Residuals: | 11 | BIC: | 147.5 |
| Df Model: | 3 | | |
| coef | std err | t | P>|t| | [95.0% Conf. Int.] |
| Intercept | 230.9677 | 147.889 | 1.562 | 0.147 | -94.534 556.469 |
| C(dose)[T.1] | 35.2971 | 171.022 | 0.206 | 0.840 | -341.121 411.715 |
| expression | -33.1701 | 29.925 | -1.108 | 0.291 | -99.034 32.694 |
| expression:C(dose)[T.1] | -0.5002 | 35.559 | -0.014 | 0.989 | -78.764 77.764 |
| Omnibus: | 0.172 | Durbin-Watson: | 1.085 |
| Prob(Omnibus): | 0.918 | Jarque-Bera (JB): | 0.341 |
| Skew: | -0.186 | Prob(JB): | 0.843 |
| Kurtosis: | 2.362 | Cond. No. | 175. |
Model:
AIM ~ expression + C(dose)
OLS Regression Results
| Dep. Variable: | AIM | R-squared: | 0.604 |
| Model: | OLS | Adj. R-squared: | 0.538 |
| Method: | Least Squares | F-statistic: | 9.141 |
| Date: | Sun, 09 Nov 2025 | Prob (F-statistic): | 0.00387 |
| Time: | 19:44:15 | Log-Likelihood: | -68.358 |
| No. Observations: | 15 | AIC: | 142.7 |
| Df Residuals: | 12 | BIC: | 144.8 |
| Df Model: | 2 | | |
| coef | std err | t | P>|t| | [95.0% Conf. Int.] |
| Intercept | 232.7141 | 76.923 | 3.025 | 0.011 | 65.114 400.314 |
| C(dose)[T.1] | 32.9021 | 15.319 | 2.148 | 0.053 | -0.476 66.280 |
| expression | -33.5243 | 15.476 | -2.166 | 0.051 | -67.244 0.195 |
| Omnibus: | 0.182 | Durbin-Watson: | 1.093 |
| Prob(Omnibus): | 0.913 | Jarque-Bera (JB): | 0.350 |
| Skew: | -0.190 | Prob(JB): | 0.839 |
| Kurtosis: | 2.355 | Cond. No. | 57.2 |
Model:
AIM ~ C(dose)
OLS Regression Results
| Dep. Variable: | AIM | R-squared: | 0.449 |
| Model: | OLS | Adj. R-squared: | 0.406 |
| Method: | Least Squares | F-statistic: | 10.58 |
| Date: | Sun, 09 Nov 2025 | Prob (F-statistic): | 0.00629 |
| Time: | 19:44:15 | Log-Likelihood: | -70.833 |
| No. Observations: | 15 | AIC: | 145.7 |
| Df Residuals: | 13 | BIC: | 147.1 |
| Df Model: | 1 | | |
| coef | std err | t | P>|t| | [95.0% Conf. Int.] |
| Intercept | 67.4286 | 11.044 | 6.106 | 0.000 | 43.570 91.287 |
| C(dose)[T.1] | 49.1964 | 15.122 | 3.253 | 0.006 | 16.527 81.866 |
| Omnibus: | 2.713 | Durbin-Watson: | 0.810 |
| Prob(Omnibus): | 0.258 | Jarque-Bera (JB): | 1.868 |
| Skew: | -0.843 | Prob(JB): | 0.393 |
| Kurtosis: | 2.619 | Cond. No. | 2.70 |
Model:
AIM ~ expression
OLS Regression Results
| Dep. Variable: | AIM | R-squared: | 0.451 |
| Model: | OLS | Adj. R-squared: | 0.409 |
| Method: | Least Squares | F-statistic: | 10.70 |
| Date: | Sun, 09 Nov 2025 | Prob (F-statistic): | 0.00608 |
| Time: | 19:44:15 | Log-Likelihood: | -70.797 |
| No. Observations: | 15 | AIC: | 145.6 |
| Df Residuals: | 13 | BIC: | 147.0 |
| Df Model: | 1 | | |
| coef | std err | t | P>|t| | [95.0% Conf. Int.] |
| Intercept | 326.5006 | 71.588 | 4.561 | 0.001 | 171.845 481.156 |
| expression | -49.8457 | 15.241 | -3.271 | 0.006 | -82.771 -16.920 |
| Omnibus: | 4.552 | Durbin-Watson: | 1.570 |
| Prob(Omnibus): | 0.103 | Jarque-Bera (JB): | 1.984 |
| Skew: | 0.764 | Prob(JB): | 0.371 |
| Kurtosis: | 3.915 | Cond. No. | 46.7 |