AIM Score vs. Gene Expression
Full X range:
Auto X range:
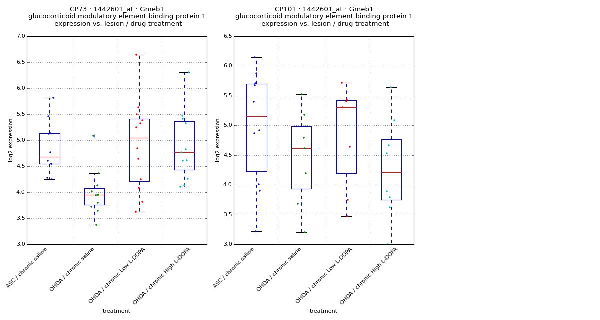
Group Comparisons: Boxplots
CP73
Model Comparison: AIM ~ expression + C(dose) vs AIM ~ C(dose)
| F-statistic | p-value | df difference |
| 0.043 | 0.837 | 1.0 |
Model:
AIM ~ expression + C(dose) + expression:C(dose)
OLS Regression Results
| Dep. Variable: | AIM | R-squared: | 0.738 |
| Model: | OLS | Adj. R-squared: | 0.696 |
| Method: | Least Squares | F-statistic: | 17.82 |
| Date: | Tue, 23 Dec 2025 | Prob (F-statistic): | 9.47e-06 |
| Time: | 17:48:11 | Log-Likelihood: | -97.711 |
| No. Observations: | 23 | AIC: | 203.4 |
| Df Residuals: | 19 | BIC: | 208.0 |
| Df Model: | 3 | | |
| coef | std err | t | P>|t| | [95.0% Conf. Int.] |
| Intercept | 107.4015 | 32.055 | 3.350 | 0.003 | 40.309 174.494 |
| C(dose)[T.1] | -81.0815 | 53.795 | -1.507 | 0.148 | -193.677 31.514 |
| expression | -10.8210 | 6.429 | -1.683 | 0.109 | -24.276 2.634 |
| expression:C(dose)[T.1] | 27.4190 | 10.860 | 2.525 | 0.021 | 4.688 50.150 |
| Omnibus: | 0.464 | Durbin-Watson: | 1.885 |
| Prob(Omnibus): | 0.793 | Jarque-Bera (JB): | 0.448 |
| Skew: | -0.289 | Prob(JB): | 0.799 |
| Kurtosis: | 2.635 | Cond. No. | 86.9 |
Model:
AIM ~ expression + C(dose)
OLS Regression Results
| Dep. Variable: | AIM | R-squared: | 0.650 |
| Model: | OLS | Adj. R-squared: | 0.615 |
| Method: | Least Squares | F-statistic: | 18.56 |
| Date: | Tue, 23 Dec 2025 | Prob (F-statistic): | 2.77e-05 |
| Time: | 17:48:11 | Log-Likelihood: | -101.04 |
| No. Observations: | 23 | AIC: | 208.1 |
| Df Residuals: | 20 | BIC: | 211.5 |
| Df Model: | 2 | | |
| coef | std err | t | P>|t| | [95.0% Conf. Int.] |
| Intercept | 60.1748 | 29.321 | 2.052 | 0.053 | -0.988 121.338 |
| C(dose)[T.1] | 53.3103 | 8.761 | 6.085 | 0.000 | 35.035 71.586 |
| expression | -1.2137 | 5.836 | -0.208 | 0.837 | -13.388 10.960 |
| Omnibus: | 0.299 | Durbin-Watson: | 1.927 |
| Prob(Omnibus): | 0.861 | Jarque-Bera (JB): | 0.471 |
| Skew: | 0.052 | Prob(JB): | 0.790 |
| Kurtosis: | 2.307 | Cond. No. | 34.7 |
Model:
AIM ~ C(dose)
OLS Regression Results
| Dep. Variable: | AIM | R-squared: | 0.649 |
| Model: | OLS | Adj. R-squared: | 0.632 |
| Method: | Least Squares | F-statistic: | 38.84 |
| Date: | Tue, 23 Dec 2025 | Prob (F-statistic): | 3.51e-06 |
| Time: | 17:48:11 | Log-Likelihood: | -101.06 |
| No. Observations: | 23 | AIC: | 206.1 |
| Df Residuals: | 21 | BIC: | 208.4 |
| Df Model: | 1 | | |
| coef | std err | t | P>|t| | [95.0% Conf. Int.] |
| Intercept | 54.2083 | 5.919 | 9.159 | 0.000 | 41.900 66.517 |
| C(dose)[T.1] | 53.3371 | 8.558 | 6.232 | 0.000 | 35.539 71.135 |
| Omnibus: | 0.322 | Durbin-Watson: | 1.888 |
| Prob(Omnibus): | 0.851 | Jarque-Bera (JB): | 0.485 |
| Skew: | 0.060 | Prob(JB): | 0.785 |
| Kurtosis: | 2.299 | Cond. No. | 2.57 |
Model:
AIM ~ expression
OLS Regression Results
| Dep. Variable: | AIM | R-squared: | 0.002 |
| Model: | OLS | Adj. R-squared: | -0.046 |
| Method: | Least Squares | F-statistic: | 0.03259 |
| Date: | Tue, 23 Dec 2025 | Prob (F-statistic): | 0.858 |
| Time: | 17:48:11 | Log-Likelihood: | -113.09 |
| No. Observations: | 23 | AIC: | 230.2 |
| Df Residuals: | 21 | BIC: | 232.4 |
| Df Model: | 1 | | |
| coef | std err | t | P>|t| | [95.0% Conf. Int.] |
| Intercept | 88.2328 | 47.716 | 1.849 | 0.079 | -10.998 187.464 |
| expression | -1.7360 | 9.616 | -0.181 | 0.858 | -21.733 18.261 |
| Omnibus: | 2.882 | Durbin-Watson: | 2.509 |
| Prob(Omnibus): | 0.237 | Jarque-Bera (JB): | 1.569 |
| Skew: | 0.342 | Prob(JB): | 0.456 |
| Kurtosis: | 1.918 | Cond. No. | 34.1 |
CP101
Model Comparison: AIM ~ expression + C(dose) vs AIM ~ C(dose)
| F-statistic | p-value | df difference |
| 0.011 | 0.918 | 1.0 |
Model:
AIM ~ expression + C(dose) + expression:C(dose)
OLS Regression Results
| Dep. Variable: | AIM | R-squared: | 0.505 |
| Model: | OLS | Adj. R-squared: | 0.370 |
| Method: | Least Squares | F-statistic: | 3.735 |
| Date: | Tue, 23 Dec 2025 | Prob (F-statistic): | 0.0451 |
| Time: | 17:48:11 | Log-Likelihood: | -70.032 |
| No. Observations: | 15 | AIC: | 148.1 |
| Df Residuals: | 11 | BIC: | 150.9 |
| Df Model: | 3 | | |
| coef | std err | t | P>|t| | [95.0% Conf. Int.] |
| Intercept | 9.3410 | 67.480 | 0.138 | 0.892 | -139.180 157.862 |
| C(dose)[T.1] | 146.4968 | 88.815 | 1.649 | 0.127 | -48.983 341.977 |
| expression | 12.0578 | 13.807 | 0.873 | 0.401 | -18.331 42.446 |
| expression:C(dose)[T.1] | -21.2205 | 19.144 | -1.108 | 0.291 | -63.357 20.916 |
| Omnibus: | 4.931 | Durbin-Watson: | 0.706 |
| Prob(Omnibus): | 0.085 | Jarque-Bera (JB): | 2.499 |
| Skew: | -0.957 | Prob(JB): | 0.287 |
| Kurtosis: | 3.578 | Cond. No. | 73.8 |
Model:
AIM ~ expression + C(dose)
OLS Regression Results
| Dep. Variable: | AIM | R-squared: | 0.449 |
| Model: | OLS | Adj. R-squared: | 0.358 |
| Method: | Least Squares | F-statistic: | 4.895 |
| Date: | Tue, 23 Dec 2025 | Prob (F-statistic): | 0.0279 |
| Time: | 17:48:11 | Log-Likelihood: | -70.826 |
| No. Observations: | 15 | AIC: | 147.7 |
| Df Residuals: | 12 | BIC: | 149.8 |
| Df Model: | 2 | | |
| coef | std err | t | P>|t| | [95.0% Conf. Int.] |
| Intercept | 62.5118 | 47.911 | 1.305 | 0.216 | -41.877 166.900 |
| C(dose)[T.1] | 49.7454 | 16.567 | 3.003 | 0.011 | 13.649 85.842 |
| expression | 1.0206 | 9.655 | 0.106 | 0.918 | -20.016 22.057 |
| Omnibus: | 2.490 | Durbin-Watson: | 0.799 |
| Prob(Omnibus): | 0.288 | Jarque-Bera (JB): | 1.775 |
| Skew: | -0.810 | Prob(JB): | 0.412 |
| Kurtosis: | 2.540 | Cond. No. | 29.9 |
Model:
AIM ~ C(dose)
OLS Regression Results
| Dep. Variable: | AIM | R-squared: | 0.449 |
| Model: | OLS | Adj. R-squared: | 0.406 |
| Method: | Least Squares | F-statistic: | 10.58 |
| Date: | Tue, 23 Dec 2025 | Prob (F-statistic): | 0.00629 |
| Time: | 17:48:11 | Log-Likelihood: | -70.833 |
| No. Observations: | 15 | AIC: | 145.7 |
| Df Residuals: | 13 | BIC: | 147.1 |
| Df Model: | 1 | | |
| coef | std err | t | P>|t| | [95.0% Conf. Int.] |
| Intercept | 67.4286 | 11.044 | 6.106 | 0.000 | 43.570 91.287 |
| C(dose)[T.1] | 49.1964 | 15.122 | 3.253 | 0.006 | 16.527 81.866 |
| Omnibus: | 2.713 | Durbin-Watson: | 0.810 |
| Prob(Omnibus): | 0.258 | Jarque-Bera (JB): | 1.868 |
| Skew: | -0.843 | Prob(JB): | 0.393 |
| Kurtosis: | 2.619 | Cond. No. | 2.70 |
Model:
AIM ~ expression
OLS Regression Results
| Dep. Variable: | AIM | R-squared: | 0.036 |
| Model: | OLS | Adj. R-squared: | -0.039 |
| Method: | Least Squares | F-statistic: | 0.4788 |
| Date: | Tue, 23 Dec 2025 | Prob (F-statistic): | 0.501 |
| Time: | 17:48:11 | Log-Likelihood: | -75.029 |
| No. Observations: | 15 | AIC: | 154.1 |
| Df Residuals: | 13 | BIC: | 155.5 |
| Df Model: | 1 | | |
| coef | std err | t | P>|t| | [95.0% Conf. Int.] |
| Intercept | 130.2118 | 53.749 | 2.423 | 0.031 | 14.093 246.330 |
| expression | -8.0663 | 11.657 | -0.692 | 0.501 | -33.251 17.118 |
| Omnibus: | 0.361 | Durbin-Watson: | 1.653 |
| Prob(Omnibus): | 0.835 | Jarque-Bera (JB): | 0.400 |
| Skew: | -0.298 | Prob(JB): | 0.819 |
| Kurtosis: | 2.465 | Cond. No. | 26.0 |