AIM Score vs. Gene Expression
Full X range:
Auto X range:
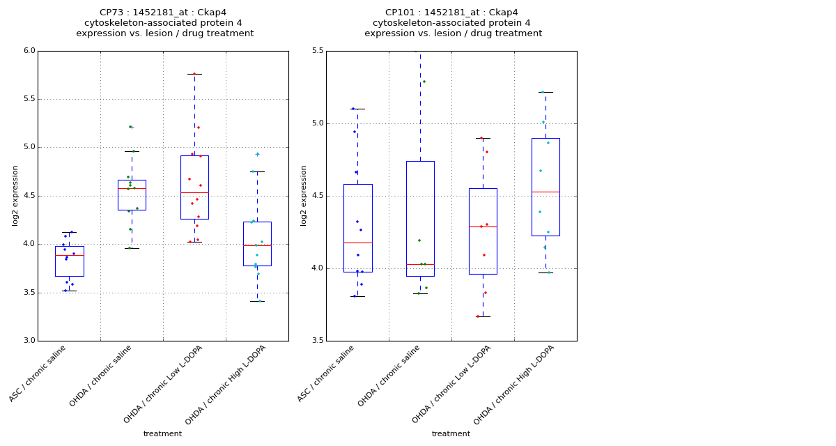
Group Comparisons: Boxplots
CP73
Model Comparison: AIM ~ expression + C(dose) vs AIM ~ C(dose)
| F-statistic | p-value | df difference |
| 0.498 | 0.489 | 1.0 |
Model:
AIM ~ expression + C(dose) + expression:C(dose)
OLS Regression Results
| Dep. Variable: | AIM | R-squared: | 0.667 |
| Model: | OLS | Adj. R-squared: | 0.614 |
| Method: | Least Squares | F-statistic: | 12.67 |
| Date: | Mon, 27 Oct 2025 | Prob (F-statistic): | 8.86e-05 |
| Time: | 04:02:56 | Log-Likelihood: | -100.47 |
| No. Observations: | 23 | AIC: | 208.9 |
| Df Residuals: | 19 | BIC: | 213.5 |
| Df Model: | 3 | | |
| coef | std err | t | P>|t| | [95.0% Conf. Int.] |
| Intercept | 111.2765 | 57.620 | 1.931 | 0.069 | -9.324 231.876 |
| C(dose)[T.1] | -9.7752 | 83.299 | -0.117 | 0.908 | -184.122 164.571 |
| expression | -12.3362 | 12.386 | -0.996 | 0.332 | -38.261 13.589 |
| expression:C(dose)[T.1] | 13.8230 | 19.235 | 0.719 | 0.481 | -26.435 54.082 |
| Omnibus: | 0.243 | Durbin-Watson: | 1.891 |
| Prob(Omnibus): | 0.886 | Jarque-Bera (JB): | 0.436 |
| Skew: | 0.071 | Prob(JB): | 0.804 |
| Kurtosis: | 2.341 | Cond. No. | 110. |
Model:
AIM ~ expression + C(dose)
OLS Regression Results
| Dep. Variable: | AIM | R-squared: | 0.658 |
| Model: | OLS | Adj. R-squared: | 0.623 |
| Method: | Least Squares | F-statistic: | 19.20 |
| Date: | Mon, 27 Oct 2025 | Prob (F-statistic): | 2.22e-05 |
| Time: | 04:02:56 | Log-Likelihood: | -100.78 |
| No. Observations: | 23 | AIC: | 207.6 |
| Df Residuals: | 20 | BIC: | 211.0 |
| Df Model: | 2 | | |
| coef | std err | t | P>|t| | [95.0% Conf. Int.] |
| Intercept | 84.7589 | 43.717 | 1.939 | 0.067 | -6.433 175.951 |
| C(dose)[T.1] | 49.6325 | 10.130 | 4.900 | 0.000 | 28.502 70.763 |
| expression | -6.6040 | 9.361 | -0.705 | 0.489 | -26.131 12.923 |
| Omnibus: | 0.028 | Durbin-Watson: | 1.839 |
| Prob(Omnibus): | 0.986 | Jarque-Bera (JB): | 0.190 |
| Skew: | 0.069 | Prob(JB): | 0.909 |
| Kurtosis: | 2.577 | Cond. No. | 47.2 |
Model:
AIM ~ C(dose)
OLS Regression Results
| Dep. Variable: | AIM | R-squared: | 0.649 |
| Model: | OLS | Adj. R-squared: | 0.632 |
| Method: | Least Squares | F-statistic: | 38.84 |
| Date: | Mon, 27 Oct 2025 | Prob (F-statistic): | 3.51e-06 |
| Time: | 04:02:56 | Log-Likelihood: | -101.06 |
| No. Observations: | 23 | AIC: | 206.1 |
| Df Residuals: | 21 | BIC: | 208.4 |
| Df Model: | 1 | | |
| coef | std err | t | P>|t| | [95.0% Conf. Int.] |
| Intercept | 54.2083 | 5.919 | 9.159 | 0.000 | 41.900 66.517 |
| C(dose)[T.1] | 53.3371 | 8.558 | 6.232 | 0.000 | 35.539 71.135 |
| Omnibus: | 0.322 | Durbin-Watson: | 1.888 |
| Prob(Omnibus): | 0.851 | Jarque-Bera (JB): | 0.485 |
| Skew: | 0.060 | Prob(JB): | 0.785 |
| Kurtosis: | 2.299 | Cond. No. | 2.57 |
Model:
AIM ~ expression
OLS Regression Results
| Dep. Variable: | AIM | R-squared: | 0.247 |
| Model: | OLS | Adj. R-squared: | 0.211 |
| Method: | Least Squares | F-statistic: | 6.873 |
| Date: | Mon, 27 Oct 2025 | Prob (F-statistic): | 0.0159 |
| Time: | 04:02:56 | Log-Likelihood: | -109.85 |
| No. Observations: | 23 | AIC: | 223.7 |
| Df Residuals: | 21 | BIC: | 226.0 |
| Df Model: | 1 | | |
| coef | std err | t | P>|t| | [95.0% Conf. Int.] |
| Intercept | 212.1032 | 50.885 | 4.168 | 0.000 | 106.282 317.925 |
| expression | -30.3791 | 11.588 | -2.622 | 0.016 | -54.478 -6.280 |
| Omnibus: | 0.972 | Durbin-Watson: | 2.331 |
| Prob(Omnibus): | 0.615 | Jarque-Bera (JB): | 0.677 |
| Skew: | 0.406 | Prob(JB): | 0.713 |
| Kurtosis: | 2.784 | Cond. No. | 37.5 |
CP101
Model Comparison: AIM ~ expression + C(dose) vs AIM ~ C(dose)
| F-statistic | p-value | df difference |
| 0.080 | 0.783 | 1.0 |
Model:
AIM ~ expression + C(dose) + expression:C(dose)
OLS Regression Results
| Dep. Variable: | AIM | R-squared: | 0.514 |
| Model: | OLS | Adj. R-squared: | 0.382 |
| Method: | Least Squares | F-statistic: | 3.882 |
| Date: | Mon, 27 Oct 2025 | Prob (F-statistic): | 0.0407 |
| Time: | 04:02:56 | Log-Likelihood: | -69.884 |
| No. Observations: | 15 | AIC: | 147.8 |
| Df Residuals: | 11 | BIC: | 150.6 |
| Df Model: | 3 | | |
| coef | std err | t | P>|t| | [95.0% Conf. Int.] |
| Intercept | 186.7476 | 113.842 | 1.640 | 0.129 | -63.818 437.313 |
| C(dose)[T.1] | -141.1064 | 162.896 | -0.866 | 0.405 | -499.638 217.426 |
| expression | -27.9513 | 26.537 | -1.053 | 0.315 | -86.360 30.457 |
| expression:C(dose)[T.1] | 43.5022 | 36.748 | 1.184 | 0.261 | -37.380 124.385 |
| Omnibus: | 1.093 | Durbin-Watson: | 0.747 |
| Prob(Omnibus): | 0.579 | Jarque-Bera (JB): | 0.950 |
| Skew: | -0.457 | Prob(JB): | 0.622 |
| Kurtosis: | 2.173 | Cond. No. | 133. |
Model:
AIM ~ expression + C(dose)
OLS Regression Results
| Dep. Variable: | AIM | R-squared: | 0.452 |
| Model: | OLS | Adj. R-squared: | 0.361 |
| Method: | Least Squares | F-statistic: | 4.957 |
| Date: | Mon, 27 Oct 2025 | Prob (F-statistic): | 0.0270 |
| Time: | 04:02:56 | Log-Likelihood: | -70.783 |
| No. Observations: | 15 | AIC: | 147.6 |
| Df Residuals: | 12 | BIC: | 149.7 |
| Df Model: | 2 | | |
| coef | std err | t | P>|t| | [95.0% Conf. Int.] |
| Intercept | 89.9060 | 80.483 | 1.117 | 0.286 | -85.451 265.263 |
| C(dose)[T.1] | 50.7538 | 16.630 | 3.052 | 0.010 | 14.519 86.988 |
| expression | -5.2655 | 18.662 | -0.282 | 0.783 | -45.926 35.395 |
| Omnibus: | 3.279 | Durbin-Watson: | 0.793 |
| Prob(Omnibus): | 0.194 | Jarque-Bera (JB): | 2.034 |
| Skew: | -0.899 | Prob(JB): | 0.362 |
| Kurtosis: | 2.862 | Cond. No. | 48.5 |
Model:
AIM ~ C(dose)
OLS Regression Results
| Dep. Variable: | AIM | R-squared: | 0.449 |
| Model: | OLS | Adj. R-squared: | 0.406 |
| Method: | Least Squares | F-statistic: | 10.58 |
| Date: | Mon, 27 Oct 2025 | Prob (F-statistic): | 0.00629 |
| Time: | 04:02:56 | Log-Likelihood: | -70.833 |
| No. Observations: | 15 | AIC: | 145.7 |
| Df Residuals: | 13 | BIC: | 147.1 |
| Df Model: | 1 | | |
| coef | std err | t | P>|t| | [95.0% Conf. Int.] |
| Intercept | 67.4286 | 11.044 | 6.106 | 0.000 | 43.570 91.287 |
| C(dose)[T.1] | 49.1964 | 15.122 | 3.253 | 0.006 | 16.527 81.866 |
| Omnibus: | 2.713 | Durbin-Watson: | 0.810 |
| Prob(Omnibus): | 0.258 | Jarque-Bera (JB): | 1.868 |
| Skew: | -0.843 | Prob(JB): | 0.393 |
| Kurtosis: | 2.619 | Cond. No. | 2.70 |
Model:
AIM ~ expression
OLS Regression Results
| Dep. Variable: | AIM | R-squared: | 0.027 |
| Model: | OLS | Adj. R-squared: | -0.047 |
| Method: | Least Squares | F-statistic: | 0.3660 |
| Date: | Mon, 27 Oct 2025 | Prob (F-statistic): | 0.556 |
| Time: | 04:02:56 | Log-Likelihood: | -75.092 |
| No. Observations: | 15 | AIC: | 154.2 |
| Df Residuals: | 13 | BIC: | 155.6 |
| Df Model: | 1 | | |
| coef | std err | t | P>|t| | [95.0% Conf. Int.] |
| Intercept | 33.3029 | 100.280 | 0.332 | 0.745 | -183.339 249.945 |
| expression | 13.6367 | 22.541 | 0.605 | 0.556 | -35.060 62.333 |
| Omnibus: | 0.058 | Durbin-Watson: | 1.457 |
| Prob(Omnibus): | 0.972 | Jarque-Bera (JB): | 0.212 |
| Skew: | -0.118 | Prob(JB): | 0.899 |
| Kurtosis: | 2.467 | Cond. No. | 46.7 |