AIM Score vs. Gene Expression
Full X range:
Auto X range:
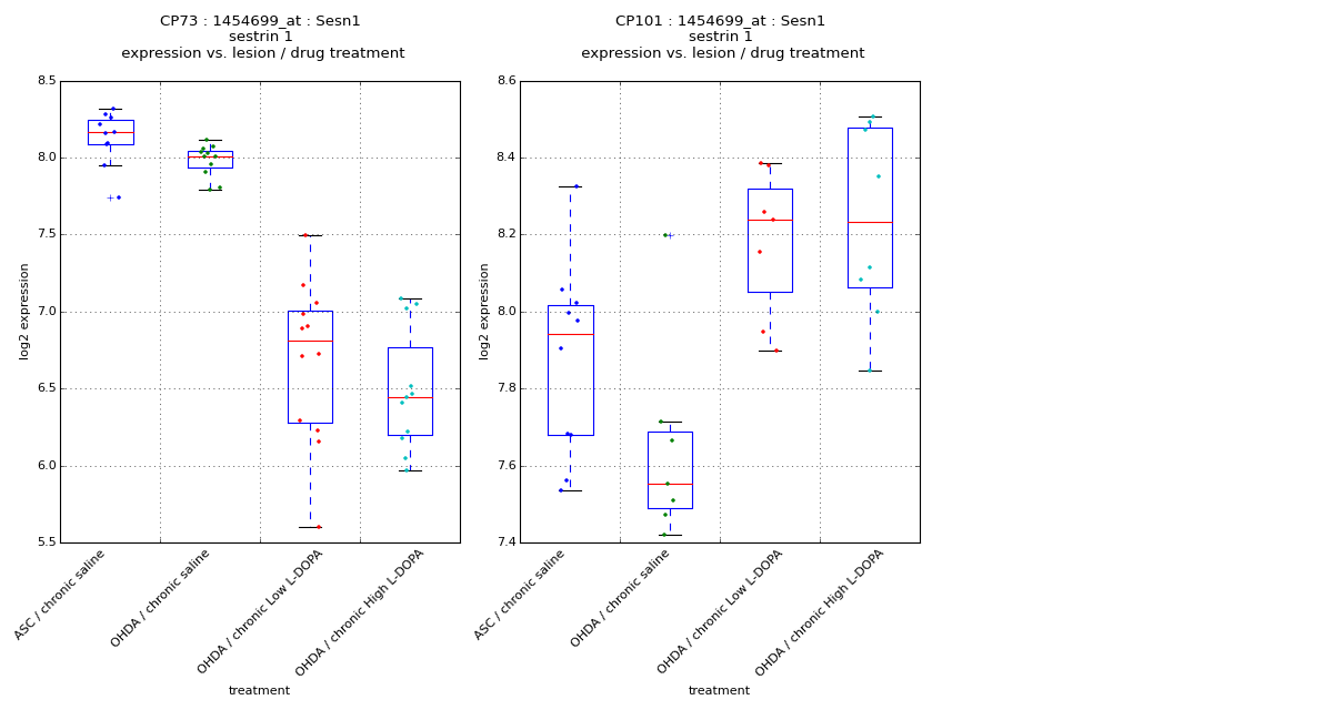
Group Comparisons: Boxplots
CP73
Model Comparison: AIM ~ expression + C(dose) vs AIM ~ C(dose)
| F-statistic | p-value | df difference |
| 1.674 | 0.210 | 1.0 |
Model:
AIM ~ expression + C(dose) + expression:C(dose)
OLS Regression Results
| Dep. Variable: | AIM | R-squared: | 0.719 |
| Model: | OLS | Adj. R-squared: | 0.675 |
| Method: | Least Squares | F-statistic: | 16.22 |
| Date: | Sun, 09 Nov 2025 | Prob (F-statistic): | 1.80e-05 |
| Time: | 19:53:53 | Log-Likelihood: | -98.499 |
| No. Observations: | 23 | AIC: | 205.0 |
| Df Residuals: | 19 | BIC: | 209.5 |
| Df Model: | 3 | | |
| coef | std err | t | P>|t| | [95.0% Conf. Int.] |
| Intercept | 61.2481 | 74.235 | 0.825 | 0.420 | -94.128 216.624 |
| C(dose)[T.1] | 262.0223 | 123.988 | 2.113 | 0.048 | 2.511 521.533 |
| expression | -1.0529 | 11.072 | -0.095 | 0.925 | -24.226 22.120 |
| expression:C(dose)[T.1] | -32.1746 | 18.861 | -1.706 | 0.104 | -71.652 7.303 |
| Omnibus: | 0.497 | Durbin-Watson: | 2.050 |
| Prob(Omnibus): | 0.780 | Jarque-Bera (JB): | 0.412 |
| Skew: | 0.292 | Prob(JB): | 0.814 |
| Kurtosis: | 2.704 | Cond. No. | 253. |
Model:
AIM ~ expression + C(dose)
OLS Regression Results
| Dep. Variable: | AIM | R-squared: | 0.676 |
| Model: | OLS | Adj. R-squared: | 0.644 |
| Method: | Least Squares | F-statistic: | 20.88 |
| Date: | Sun, 09 Nov 2025 | Prob (F-statistic): | 1.27e-05 |
| Time: | 19:53:53 | Log-Likelihood: | -100.14 |
| No. Observations: | 23 | AIC: | 206.3 |
| Df Residuals: | 20 | BIC: | 209.7 |
| Df Model: | 2 | | |
| coef | std err | t | P>|t| | [95.0% Conf. Int.] |
| Intercept | 135.3723 | 62.997 | 2.149 | 0.044 | 3.962 266.782 |
| C(dose)[T.1] | 50.9850 | 8.618 | 5.916 | 0.000 | 33.008 68.962 |
| expression | -12.1392 | 9.382 | -1.294 | 0.210 | -31.709 7.431 |
| Omnibus: | 0.365 | Durbin-Watson: | 1.789 |
| Prob(Omnibus): | 0.833 | Jarque-Bera (JB): | 0.496 |
| Skew: | 0.235 | Prob(JB): | 0.780 |
| Kurtosis: | 2.455 | Cond. No. | 101. |
Model:
AIM ~ C(dose)
OLS Regression Results
| Dep. Variable: | AIM | R-squared: | 0.649 |
| Model: | OLS | Adj. R-squared: | 0.632 |
| Method: | Least Squares | F-statistic: | 38.84 |
| Date: | Sun, 09 Nov 2025 | Prob (F-statistic): | 3.51e-06 |
| Time: | 19:53:53 | Log-Likelihood: | -101.06 |
| No. Observations: | 23 | AIC: | 206.1 |
| Df Residuals: | 21 | BIC: | 208.4 |
| Df Model: | 1 | | |
| coef | std err | t | P>|t| | [95.0% Conf. Int.] |
| Intercept | 54.2083 | 5.919 | 9.159 | 0.000 | 41.900 66.517 |
| C(dose)[T.1] | 53.3371 | 8.558 | 6.232 | 0.000 | 35.539 71.135 |
| Omnibus: | 0.322 | Durbin-Watson: | 1.888 |
| Prob(Omnibus): | 0.851 | Jarque-Bera (JB): | 0.485 |
| Skew: | 0.060 | Prob(JB): | 0.785 |
| Kurtosis: | 2.299 | Cond. No. | 2.57 |
Model:
AIM ~ expression
OLS Regression Results
| Dep. Variable: | AIM | R-squared: | 0.109 |
| Model: | OLS | Adj. R-squared: | 0.067 |
| Method: | Least Squares | F-statistic: | 2.582 |
| Date: | Sun, 09 Nov 2025 | Prob (F-statistic): | 0.123 |
| Time: | 19:53:53 | Log-Likelihood: | -111.77 |
| No. Observations: | 23 | AIC: | 227.5 |
| Df Residuals: | 21 | BIC: | 229.8 |
| Df Model: | 1 | | |
| coef | std err | t | P>|t| | [95.0% Conf. Int.] |
| Intercept | 236.9459 | 98.090 | 2.416 | 0.025 | 32.956 440.936 |
| expression | -23.8462 | 14.841 | -1.607 | 0.123 | -54.710 7.017 |
| Omnibus: | 2.051 | Durbin-Watson: | 2.625 |
| Prob(Omnibus): | 0.359 | Jarque-Bera (JB): | 1.078 |
| Skew: | 0.027 | Prob(JB): | 0.583 |
| Kurtosis: | 1.941 | Cond. No. | 97.4 |
CP101
Model Comparison: AIM ~ expression + C(dose) vs AIM ~ C(dose)
| F-statistic | p-value | df difference |
| 0.004 | 0.948 | 1.0 |
Model:
AIM ~ expression + C(dose) + expression:C(dose)
OLS Regression Results
| Dep. Variable: | AIM | R-squared: | 0.482 |
| Model: | OLS | Adj. R-squared: | 0.340 |
| Method: | Least Squares | F-statistic: | 3.406 |
| Date: | Sun, 09 Nov 2025 | Prob (F-statistic): | 0.0569 |
| Time: | 19:53:53 | Log-Likelihood: | -70.373 |
| No. Observations: | 15 | AIC: | 148.7 |
| Df Residuals: | 11 | BIC: | 151.6 |
| Df Model: | 3 | | |
| coef | std err | t | P>|t| | [95.0% Conf. Int.] |
| Intercept | -272.3089 | 529.981 | -0.514 | 0.618 | -1438.790 894.172 |
| C(dose)[T.1] | 590.3978 | 650.657 | 0.907 | 0.384 | -841.689 2022.485 |
| expression | 41.5271 | 64.765 | 0.641 | 0.535 | -101.021 184.075 |
| expression:C(dose)[T.1] | -65.9968 | 79.339 | -0.832 | 0.423 | -240.621 108.627 |
| Omnibus: | 4.977 | Durbin-Watson: | 0.829 |
| Prob(Omnibus): | 0.083 | Jarque-Bera (JB): | 2.946 |
| Skew: | -1.081 | Prob(JB): | 0.229 |
| Kurtosis: | 3.203 | Cond. No. | 976. |
Model:
AIM ~ expression + C(dose)
OLS Regression Results
| Dep. Variable: | AIM | R-squared: | 0.449 |
| Model: | OLS | Adj. R-squared: | 0.357 |
| Method: | Least Squares | F-statistic: | 4.889 |
| Date: | Sun, 09 Nov 2025 | Prob (F-statistic): | 0.0280 |
| Time: | 19:53:53 | Log-Likelihood: | -70.830 |
| No. Observations: | 15 | AIC: | 147.7 |
| Df Residuals: | 12 | BIC: | 149.8 |
| Df Model: | 2 | | |
| coef | std err | t | P>|t| | [95.0% Conf. Int.] |
| Intercept | 87.4816 | 302.312 | 0.289 | 0.777 | -571.200 746.164 |
| C(dose)[T.1] | 49.3241 | 15.854 | 3.111 | 0.009 | 14.782 83.867 |
| expression | -2.4511 | 36.926 | -0.066 | 0.948 | -82.905 78.003 |
| Omnibus: | 2.799 | Durbin-Watson: | 0.813 |
| Prob(Omnibus): | 0.247 | Jarque-Bera (JB): | 1.903 |
| Skew: | -0.855 | Prob(JB): | 0.386 |
| Kurtosis: | 2.649 | Cond. No. | 322. |
Model:
AIM ~ C(dose)
OLS Regression Results
| Dep. Variable: | AIM | R-squared: | 0.449 |
| Model: | OLS | Adj. R-squared: | 0.406 |
| Method: | Least Squares | F-statistic: | 10.58 |
| Date: | Sun, 09 Nov 2025 | Prob (F-statistic): | 0.00629 |
| Time: | 19:53:54 | Log-Likelihood: | -70.833 |
| No. Observations: | 15 | AIC: | 145.7 |
| Df Residuals: | 13 | BIC: | 147.1 |
| Df Model: | 1 | | |
| coef | std err | t | P>|t| | [95.0% Conf. Int.] |
| Intercept | 67.4286 | 11.044 | 6.106 | 0.000 | 43.570 91.287 |
| C(dose)[T.1] | 49.1964 | 15.122 | 3.253 | 0.006 | 16.527 81.866 |
| Omnibus: | 2.713 | Durbin-Watson: | 0.810 |
| Prob(Omnibus): | 0.258 | Jarque-Bera (JB): | 1.868 |
| Skew: | -0.843 | Prob(JB): | 0.393 |
| Kurtosis: | 2.619 | Cond. No. | 2.70 |
Model:
AIM ~ expression
OLS Regression Results
| Dep. Variable: | AIM | R-squared: | 0.005 |
| Model: | OLS | Adj. R-squared: | -0.072 |
| Method: | Least Squares | F-statistic: | 0.05888 |
| Date: | Sun, 09 Nov 2025 | Prob (F-statistic): | 0.812 |
| Time: | 19:53:54 | Log-Likelihood: | -75.266 |
| No. Observations: | 15 | AIC: | 154.5 |
| Df Residuals: | 13 | BIC: | 155.9 |
| Df Model: | 1 | | |
| coef | std err | t | P>|t| | [95.0% Conf. Int.] |
| Intercept | -0.6187 | 388.682 | -0.002 | 0.999 | -840.315 839.077 |
| expression | 11.4858 | 47.333 | 0.243 | 0.812 | -90.771 113.742 |
| Omnibus: | 0.492 | Durbin-Watson: | 1.617 |
| Prob(Omnibus): | 0.782 | Jarque-Bera (JB): | 0.547 |
| Skew: | 0.115 | Prob(JB): | 0.761 |
| Kurtosis: | 2.093 | Cond. No. | 319. |