AIM Score vs. Gene Expression
Full X range:
Auto X range:
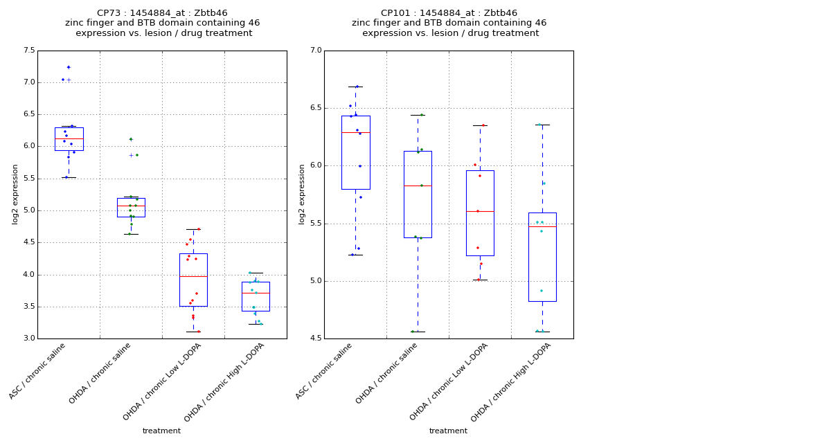
Group Comparisons: Boxplots
CP73
Model Comparison: AIM ~ expression + C(dose) vs AIM ~ C(dose)
| F-statistic | p-value | df difference |
| 1.744 | 0.202 | 1.0 |
Model:
AIM ~ expression + C(dose) + expression:C(dose)
OLS Regression Results
| Dep. Variable: | AIM | R-squared: | 0.677 |
| Model: | OLS | Adj. R-squared: | 0.626 |
| Method: | Least Squares | F-statistic: | 13.29 |
| Date: | Sun, 09 Nov 2025 | Prob (F-statistic): | 6.56e-05 |
| Time: | 19:44:51 | Log-Likelihood: | -100.10 |
| No. Observations: | 23 | AIC: | 208.2 |
| Df Residuals: | 19 | BIC: | 212.7 |
| Df Model: | 3 | | |
| coef | std err | t | P>|t| | [95.0% Conf. Int.] |
| Intercept | 105.2375 | 45.454 | 2.315 | 0.032 | 10.100 200.375 |
| C(dose)[T.1] | 55.3867 | 97.775 | 0.566 | 0.578 | -149.258 260.031 |
| expression | -12.9898 | 11.471 | -1.132 | 0.272 | -36.998 11.018 |
| expression:C(dose)[T.1] | -1.5942 | 26.351 | -0.060 | 0.952 | -56.747 53.559 |
| Omnibus: | 1.274 | Durbin-Watson: | 1.801 |
| Prob(Omnibus): | 0.529 | Jarque-Bera (JB): | 0.867 |
| Skew: | -0.026 | Prob(JB): | 0.648 |
| Kurtosis: | 2.050 | Cond. No. | 106. |
Model:
AIM ~ expression + C(dose)
OLS Regression Results
| Dep. Variable: | AIM | R-squared: | 0.677 |
| Model: | OLS | Adj. R-squared: | 0.645 |
| Method: | Least Squares | F-statistic: | 20.98 |
| Date: | Sun, 09 Nov 2025 | Prob (F-statistic): | 1.23e-05 |
| Time: | 19:44:51 | Log-Likelihood: | -100.10 |
| No. Observations: | 23 | AIC: | 206.2 |
| Df Residuals: | 20 | BIC: | 209.6 |
| Df Model: | 2 | | |
| coef | std err | t | P>|t| | [95.0% Conf. Int.] |
| Intercept | 106.4242 | 39.970 | 2.663 | 0.015 | 23.048 189.800 |
| C(dose)[T.1] | 49.4974 | 8.899 | 5.562 | 0.000 | 30.934 68.061 |
| expression | -13.2919 | 10.066 | -1.320 | 0.202 | -34.290 7.706 |
| Omnibus: | 1.191 | Durbin-Watson: | 1.810 |
| Prob(Omnibus): | 0.551 | Jarque-Bera (JB): | 0.842 |
| Skew: | -0.035 | Prob(JB): | 0.656 |
| Kurtosis: | 2.065 | Cond. No. | 39.1 |
Model:
AIM ~ C(dose)
OLS Regression Results
| Dep. Variable: | AIM | R-squared: | 0.649 |
| Model: | OLS | Adj. R-squared: | 0.632 |
| Method: | Least Squares | F-statistic: | 38.84 |
| Date: | Sun, 09 Nov 2025 | Prob (F-statistic): | 3.51e-06 |
| Time: | 19:44:51 | Log-Likelihood: | -101.06 |
| No. Observations: | 23 | AIC: | 206.1 |
| Df Residuals: | 21 | BIC: | 208.4 |
| Df Model: | 1 | | |
| coef | std err | t | P>|t| | [95.0% Conf. Int.] |
| Intercept | 54.2083 | 5.919 | 9.159 | 0.000 | 41.900 66.517 |
| C(dose)[T.1] | 53.3371 | 8.558 | 6.232 | 0.000 | 35.539 71.135 |
| Omnibus: | 0.322 | Durbin-Watson: | 1.888 |
| Prob(Omnibus): | 0.851 | Jarque-Bera (JB): | 0.485 |
| Skew: | 0.060 | Prob(JB): | 0.785 |
| Kurtosis: | 2.299 | Cond. No. | 2.57 |
Model:
AIM ~ expression
OLS Regression Results
| Dep. Variable: | AIM | R-squared: | 0.178 |
| Model: | OLS | Adj. R-squared: | 0.139 |
| Method: | Least Squares | F-statistic: | 4.545 |
| Date: | Sun, 09 Nov 2025 | Prob (F-statistic): | 0.0450 |
| Time: | 19:44:51 | Log-Likelihood: | -110.85 |
| No. Observations: | 23 | AIC: | 225.7 |
| Df Residuals: | 21 | BIC: | 228.0 |
| Df Model: | 1 | | |
| coef | std err | t | P>|t| | [95.0% Conf. Int.] |
| Intercept | 199.4363 | 56.538 | 3.527 | 0.002 | 81.858 317.015 |
| expression | -31.5860 | 14.817 | -2.132 | 0.045 | -62.399 -0.773 |
| Omnibus: | 0.421 | Durbin-Watson: | 2.316 |
| Prob(Omnibus): | 0.810 | Jarque-Bera (JB): | 0.556 |
| Skew: | 0.168 | Prob(JB): | 0.757 |
| Kurtosis: | 2.316 | Cond. No. | 35.2 |
CP101
Model Comparison: AIM ~ expression + C(dose) vs AIM ~ C(dose)
| F-statistic | p-value | df difference |
| 7.529 | 0.018 | 1.0 |
Model:
AIM ~ expression + C(dose) + expression:C(dose)
OLS Regression Results
| Dep. Variable: | AIM | R-squared: | 0.682 |
| Model: | OLS | Adj. R-squared: | 0.595 |
| Method: | Least Squares | F-statistic: | 7.869 |
| Date: | Sun, 09 Nov 2025 | Prob (F-statistic): | 0.00441 |
| Time: | 19:44:51 | Log-Likelihood: | -66.704 |
| No. Observations: | 15 | AIC: | 141.4 |
| Df Residuals: | 11 | BIC: | 144.2 |
| Df Model: | 3 | | |
| coef | std err | t | P>|t| | [95.0% Conf. Int.] |
| Intercept | 170.1222 | 112.074 | 1.518 | 0.157 | -76.551 416.795 |
| C(dose)[T.1] | 155.9029 | 136.736 | 1.140 | 0.278 | -145.051 456.857 |
| expression | -18.2811 | 19.885 | -0.919 | 0.378 | -62.047 25.485 |
| expression:C(dose)[T.1] | -20.9556 | 24.664 | -0.850 | 0.414 | -75.240 33.329 |
| Omnibus: | 0.208 | Durbin-Watson: | 1.789 |
| Prob(Omnibus): | 0.901 | Jarque-Bera (JB): | 0.285 |
| Skew: | 0.224 | Prob(JB): | 0.867 |
| Kurtosis: | 2.496 | Cond. No. | 177. |
Model:
AIM ~ expression + C(dose)
OLS Regression Results
| Dep. Variable: | AIM | R-squared: | 0.661 |
| Model: | OLS | Adj. R-squared: | 0.605 |
| Method: | Least Squares | F-statistic: | 11.71 |
| Date: | Sun, 09 Nov 2025 | Prob (F-statistic): | 0.00151 |
| Time: | 19:44:51 | Log-Likelihood: | -67.180 |
| No. Observations: | 15 | AIC: | 140.4 |
| Df Residuals: | 12 | BIC: | 142.5 |
| Df Model: | 2 | | |
| coef | std err | t | P>|t| | [95.0% Conf. Int.] |
| Intercept | 246.6410 | 65.930 | 3.741 | 0.003 | 102.991 390.291 |
| C(dose)[T.1] | 40.2438 | 12.762 | 3.153 | 0.008 | 12.438 68.050 |
| expression | -31.9028 | 11.627 | -2.744 | 0.018 | -57.235 -6.571 |
| Omnibus: | 0.553 | Durbin-Watson: | 1.867 |
| Prob(Omnibus): | 0.759 | Jarque-Bera (JB): | 0.601 |
| Skew: | 0.341 | Prob(JB): | 0.740 |
| Kurtosis: | 2.294 | Cond. No. | 61.1 |
Model:
AIM ~ C(dose)
OLS Regression Results
| Dep. Variable: | AIM | R-squared: | 0.449 |
| Model: | OLS | Adj. R-squared: | 0.406 |
| Method: | Least Squares | F-statistic: | 10.58 |
| Date: | Sun, 09 Nov 2025 | Prob (F-statistic): | 0.00629 |
| Time: | 19:44:51 | Log-Likelihood: | -70.833 |
| No. Observations: | 15 | AIC: | 145.7 |
| Df Residuals: | 13 | BIC: | 147.1 |
| Df Model: | 1 | | |
| coef | std err | t | P>|t| | [95.0% Conf. Int.] |
| Intercept | 67.4286 | 11.044 | 6.106 | 0.000 | 43.570 91.287 |
| C(dose)[T.1] | 49.1964 | 15.122 | 3.253 | 0.006 | 16.527 81.866 |
| Omnibus: | 2.713 | Durbin-Watson: | 0.810 |
| Prob(Omnibus): | 0.258 | Jarque-Bera (JB): | 1.868 |
| Skew: | -0.843 | Prob(JB): | 0.393 |
| Kurtosis: | 2.619 | Cond. No. | 2.70 |
Model:
AIM ~ expression
OLS Regression Results
| Dep. Variable: | AIM | R-squared: | 0.381 |
| Model: | OLS | Adj. R-squared: | 0.333 |
| Method: | Least Squares | F-statistic: | 7.989 |
| Date: | Sun, 09 Nov 2025 | Prob (F-statistic): | 0.0143 |
| Time: | 19:44:51 | Log-Likelihood: | -71.707 |
| No. Observations: | 15 | AIC: | 147.4 |
| Df Residuals: | 13 | BIC: | 148.8 |
| Df Model: | 1 | | |
| coef | std err | t | P>|t| | [95.0% Conf. Int.] |
| Intercept | 319.3547 | 80.249 | 3.980 | 0.002 | 145.988 492.721 |
| expression | -41.2759 | 14.604 | -2.826 | 0.014 | -72.825 -9.727 |
| Omnibus: | 0.395 | Durbin-Watson: | 2.003 |
| Prob(Omnibus): | 0.821 | Jarque-Bera (JB): | 0.271 |
| Skew: | 0.281 | Prob(JB): | 0.873 |
| Kurtosis: | 2.656 | Cond. No. | 57.0 |