AIM Score vs. Gene Expression
Full X range:
Auto X range:
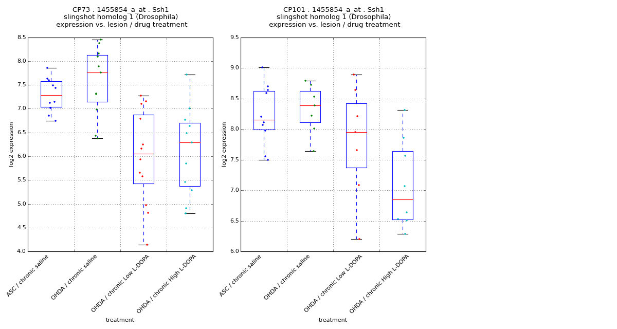
Group Comparisons: Boxplots
CP73
Model Comparison: AIM ~ expression + C(dose) vs AIM ~ C(dose)
| F-statistic | p-value | df difference |
| 6.858 | 0.016 | 1.0 |
Model:
AIM ~ expression + C(dose) + expression:C(dose)
OLS Regression Results
| Dep. Variable: | AIM | R-squared: | 0.774 |
| Model: | OLS | Adj. R-squared: | 0.738 |
| Method: | Least Squares | F-statistic: | 21.68 |
| Date: | Sun, 09 Nov 2025 | Prob (F-statistic): | 2.37e-06 |
| Time: | 20:12:55 | Log-Likelihood: | -96.007 |
| No. Observations: | 23 | AIC: | 200.0 |
| Df Residuals: | 19 | BIC: | 204.6 |
| Df Model: | 3 | | |
| coef | std err | t | P>|t| | [95.0% Conf. Int.] |
| Intercept | 25.4846 | 31.423 | 0.811 | 0.427 | -40.284 91.253 |
| C(dose)[T.1] | -29.7962 | 48.098 | -0.619 | 0.543 | -130.467 70.875 |
| expression | 4.7988 | 5.183 | 0.926 | 0.366 | -6.049 15.647 |
| expression:C(dose)[T.1] | 13.5113 | 7.853 | 1.721 | 0.102 | -2.925 29.947 |
| Omnibus: | 0.347 | Durbin-Watson: | 1.377 |
| Prob(Omnibus): | 0.841 | Jarque-Bera (JB): | 0.507 |
| Skew: | 0.161 | Prob(JB): | 0.776 |
| Kurtosis: | 2.348 | Cond. No. | 105. |
Model:
AIM ~ expression + C(dose)
OLS Regression Results
| Dep. Variable: | AIM | R-squared: | 0.739 |
| Model: | OLS | Adj. R-squared: | 0.713 |
| Method: | Least Squares | F-statistic: | 28.27 |
| Date: | Sun, 09 Nov 2025 | Prob (F-statistic): | 1.49e-06 |
| Time: | 20:12:55 | Log-Likelihood: | -97.672 |
| No. Observations: | 23 | AIC: | 201.3 |
| Df Residuals: | 20 | BIC: | 204.8 |
| Df Model: | 2 | | |
| coef | std err | t | P>|t| | [95.0% Conf. Int.] |
| Intercept | -9.7456 | 24.976 | -0.390 | 0.701 | -61.845 42.354 |
| C(dose)[T.1] | 52.0185 | 7.585 | 6.858 | 0.000 | 36.197 67.840 |
| expression | 10.6846 | 4.080 | 2.619 | 0.016 | 2.174 19.195 |
| Omnibus: | 0.592 | Durbin-Watson: | 1.860 |
| Prob(Omnibus): | 0.744 | Jarque-Bera (JB): | 0.656 |
| Skew: | 0.180 | Prob(JB): | 0.720 |
| Kurtosis: | 2.255 | Cond. No. | 41.6 |
Model:
AIM ~ C(dose)
OLS Regression Results
| Dep. Variable: | AIM | R-squared: | 0.649 |
| Model: | OLS | Adj. R-squared: | 0.632 |
| Method: | Least Squares | F-statistic: | 38.84 |
| Date: | Sun, 09 Nov 2025 | Prob (F-statistic): | 3.51e-06 |
| Time: | 20:12:55 | Log-Likelihood: | -101.06 |
| No. Observations: | 23 | AIC: | 206.1 |
| Df Residuals: | 21 | BIC: | 208.4 |
| Df Model: | 1 | | |
| coef | std err | t | P>|t| | [95.0% Conf. Int.] |
| Intercept | 54.2083 | 5.919 | 9.159 | 0.000 | 41.900 66.517 |
| C(dose)[T.1] | 53.3371 | 8.558 | 6.232 | 0.000 | 35.539 71.135 |
| Omnibus: | 0.322 | Durbin-Watson: | 1.888 |
| Prob(Omnibus): | 0.851 | Jarque-Bera (JB): | 0.485 |
| Skew: | 0.060 | Prob(JB): | 0.785 |
| Kurtosis: | 2.299 | Cond. No. | 2.57 |
Model:
AIM ~ expression
OLS Regression Results
| Dep. Variable: | AIM | R-squared: | 0.124 |
| Model: | OLS | Adj. R-squared: | 0.082 |
| Method: | Least Squares | F-statistic: | 2.973 |
| Date: | Sun, 09 Nov 2025 | Prob (F-statistic): | 0.0993 |
| Time: | 20:12:55 | Log-Likelihood: | -111.58 |
| No. Observations: | 23 | AIC: | 227.2 |
| Df Residuals: | 21 | BIC: | 229.4 |
| Df Model: | 1 | | |
| coef | std err | t | P>|t| | [95.0% Conf. Int.] |
| Intercept | 3.9029 | 44.483 | 0.088 | 0.931 | -88.605 96.411 |
| expression | 12.5424 | 7.274 | 1.724 | 0.099 | -2.584 27.669 |
| Omnibus: | 6.034 | Durbin-Watson: | 2.466 |
| Prob(Omnibus): | 0.049 | Jarque-Bera (JB): | 1.741 |
| Skew: | 0.009 | Prob(JB): | 0.419 |
| Kurtosis: | 1.652 | Cond. No. | 41.3 |
CP101
Model Comparison: AIM ~ expression + C(dose) vs AIM ~ C(dose)
| F-statistic | p-value | df difference |
| 0.328 | 0.577 | 1.0 |
Model:
AIM ~ expression + C(dose) + expression:C(dose)
OLS Regression Results
| Dep. Variable: | AIM | R-squared: | 0.508 |
| Model: | OLS | Adj. R-squared: | 0.373 |
| Method: | Least Squares | F-statistic: | 3.780 |
| Date: | Sun, 09 Nov 2025 | Prob (F-statistic): | 0.0437 |
| Time: | 20:12:55 | Log-Likelihood: | -69.986 |
| No. Observations: | 15 | AIC: | 148.0 |
| Df Residuals: | 11 | BIC: | 150.8 |
| Df Model: | 3 | | |
| coef | std err | t | P>|t| | [95.0% Conf. Int.] |
| Intercept | 178.8441 | 103.614 | 1.726 | 0.112 | -49.210 406.898 |
| C(dose)[T.1] | -103.6084 | 150.665 | -0.688 | 0.506 | -435.220 228.003 |
| expression | -14.2740 | 13.195 | -1.082 | 0.302 | -43.315 14.767 |
| expression:C(dose)[T.1] | 20.1069 | 20.236 | 0.994 | 0.342 | -24.431 64.645 |
| Omnibus: | 1.772 | Durbin-Watson: | 0.813 |
| Prob(Omnibus): | 0.412 | Jarque-Bera (JB): | 1.269 |
| Skew: | -0.674 | Prob(JB): | 0.530 |
| Kurtosis: | 2.540 | Cond. No. | 190. |
Model:
AIM ~ expression + C(dose)
OLS Regression Results
| Dep. Variable: | AIM | R-squared: | 0.463 |
| Model: | OLS | Adj. R-squared: | 0.374 |
| Method: | Least Squares | F-statistic: | 5.182 |
| Date: | Sun, 09 Nov 2025 | Prob (F-statistic): | 0.0239 |
| Time: | 20:12:55 | Log-Likelihood: | -70.631 |
| No. Observations: | 15 | AIC: | 147.3 |
| Df Residuals: | 12 | BIC: | 149.4 |
| Df Model: | 2 | | |
| coef | std err | t | P>|t| | [95.0% Conf. Int.] |
| Intercept | 112.1152 | 78.863 | 1.422 | 0.181 | -59.714 283.944 |
| C(dose)[T.1] | 45.1333 | 17.073 | 2.643 | 0.021 | 7.933 82.333 |
| expression | -5.7250 | 9.999 | -0.573 | 0.577 | -27.510 16.060 |
| Omnibus: | 3.767 | Durbin-Watson: | 0.735 |
| Prob(Omnibus): | 0.152 | Jarque-Bera (JB): | 2.349 |
| Skew: | -0.968 | Prob(JB): | 0.309 |
| Kurtosis: | 2.909 | Cond. No. | 78.0 |
Model:
AIM ~ C(dose)
OLS Regression Results
| Dep. Variable: | AIM | R-squared: | 0.449 |
| Model: | OLS | Adj. R-squared: | 0.406 |
| Method: | Least Squares | F-statistic: | 10.58 |
| Date: | Sun, 09 Nov 2025 | Prob (F-statistic): | 0.00629 |
| Time: | 20:12:55 | Log-Likelihood: | -70.833 |
| No. Observations: | 15 | AIC: | 145.7 |
| Df Residuals: | 13 | BIC: | 147.1 |
| Df Model: | 1 | | |
| coef | std err | t | P>|t| | [95.0% Conf. Int.] |
| Intercept | 67.4286 | 11.044 | 6.106 | 0.000 | 43.570 91.287 |
| C(dose)[T.1] | 49.1964 | 15.122 | 3.253 | 0.006 | 16.527 81.866 |
| Omnibus: | 2.713 | Durbin-Watson: | 0.810 |
| Prob(Omnibus): | 0.258 | Jarque-Bera (JB): | 1.868 |
| Skew: | -0.843 | Prob(JB): | 0.393 |
| Kurtosis: | 2.619 | Cond. No. | 2.70 |
Model:
AIM ~ expression
OLS Regression Results
| Dep. Variable: | AIM | R-squared: | 0.151 |
| Model: | OLS | Adj. R-squared: | 0.086 |
| Method: | Least Squares | F-statistic: | 2.312 |
| Date: | Sun, 09 Nov 2025 | Prob (F-statistic): | 0.152 |
| Time: | 20:12:55 | Log-Likelihood: | -74.073 |
| No. Observations: | 15 | AIC: | 152.1 |
| Df Residuals: | 13 | BIC: | 153.6 |
| Df Model: | 1 | | |
| coef | std err | t | P>|t| | [95.0% Conf. Int.] |
| Intercept | 217.7742 | 82.163 | 2.651 | 0.020 | 40.272 395.277 |
| expression | -16.7104 | 10.991 | -1.520 | 0.152 | -40.454 7.034 |
| Omnibus: | 1.100 | Durbin-Watson: | 1.613 |
| Prob(Omnibus): | 0.577 | Jarque-Bera (JB): | 0.760 |
| Skew: | 0.136 | Prob(JB): | 0.684 |
| Kurtosis: | 1.932 | Cond. No. | 66.8 |