AIM Score vs. Gene Expression
Full X range:
Auto X range:
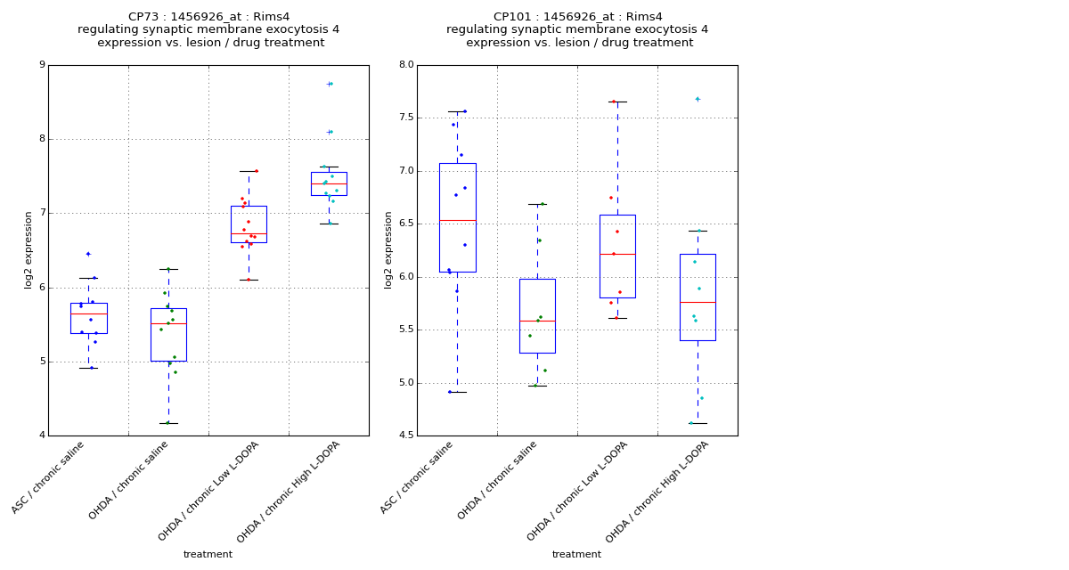
Group Comparisons: Boxplots
CP73
Model Comparison: AIM ~ expression + C(dose) vs AIM ~ C(dose)
| F-statistic | p-value | df difference |
| 0.457 | 0.507 | 1.0 |
Model:
AIM ~ expression + C(dose) + expression:C(dose)
OLS Regression Results
| Dep. Variable: | AIM | R-squared: | 0.685 |
| Model: | OLS | Adj. R-squared: | 0.635 |
| Method: | Least Squares | F-statistic: | 13.76 |
| Date: | Sun, 09 Nov 2025 | Prob (F-statistic): | 5.27e-05 |
| Time: | 19:55:09 | Log-Likelihood: | -99.829 |
| No. Observations: | 23 | AIC: | 207.7 |
| Df Residuals: | 19 | BIC: | 212.2 |
| Df Model: | 3 | | |
| coef | std err | t | P>|t| | [95.0% Conf. Int.] |
| Intercept | -11.3686 | 110.238 | -0.103 | 0.919 | -242.099 219.362 |
| C(dose)[T.1] | 246.3128 | 145.672 | 1.691 | 0.107 | -58.582 551.207 |
| expression | 9.6142 | 16.139 | 0.596 | 0.558 | -24.165 43.393 |
| expression:C(dose)[T.1] | -26.5823 | 20.510 | -1.296 | 0.210 | -69.510 16.345 |
| Omnibus: | 1.242 | Durbin-Watson: | 2.109 |
| Prob(Omnibus): | 0.537 | Jarque-Bera (JB): | 0.927 |
| Skew: | 0.188 | Prob(JB): | 0.629 |
| Kurtosis: | 2.091 | Cond. No. | 342. |
Model:
AIM ~ expression + C(dose)
OLS Regression Results
| Dep. Variable: | AIM | R-squared: | 0.657 |
| Model: | OLS | Adj. R-squared: | 0.623 |
| Method: | Least Squares | F-statistic: | 19.15 |
| Date: | Sun, 09 Nov 2025 | Prob (F-statistic): | 2.26e-05 |
| Time: | 19:55:09 | Log-Likelihood: | -100.80 |
| No. Observations: | 23 | AIC: | 207.6 |
| Df Residuals: | 20 | BIC: | 211.0 |
| Df Model: | 2 | | |
| coef | std err | t | P>|t| | [95.0% Conf. Int.] |
| Intercept | 100.8994 | 69.335 | 1.455 | 0.161 | -43.731 245.529 |
| C(dose)[T.1] | 58.0417 | 11.119 | 5.220 | 0.000 | 34.848 81.236 |
| expression | -6.8454 | 10.127 | -0.676 | 0.507 | -27.970 14.279 |
| Omnibus: | 1.072 | Durbin-Watson: | 1.809 |
| Prob(Omnibus): | 0.585 | Jarque-Bera (JB): | 0.810 |
| Skew: | 0.068 | Prob(JB): | 0.667 |
| Kurtosis: | 2.091 | Cond. No. | 118. |
Model:
AIM ~ C(dose)
OLS Regression Results
| Dep. Variable: | AIM | R-squared: | 0.649 |
| Model: | OLS | Adj. R-squared: | 0.632 |
| Method: | Least Squares | F-statistic: | 38.84 |
| Date: | Sun, 09 Nov 2025 | Prob (F-statistic): | 3.51e-06 |
| Time: | 19:55:09 | Log-Likelihood: | -101.06 |
| No. Observations: | 23 | AIC: | 206.1 |
| Df Residuals: | 21 | BIC: | 208.4 |
| Df Model: | 1 | | |
| coef | std err | t | P>|t| | [95.0% Conf. Int.] |
| Intercept | 54.2083 | 5.919 | 9.159 | 0.000 | 41.900 66.517 |
| C(dose)[T.1] | 53.3371 | 8.558 | 6.232 | 0.000 | 35.539 71.135 |
| Omnibus: | 0.322 | Durbin-Watson: | 1.888 |
| Prob(Omnibus): | 0.851 | Jarque-Bera (JB): | 0.485 |
| Skew: | 0.060 | Prob(JB): | 0.785 |
| Kurtosis: | 2.299 | Cond. No. | 2.57 |
Model:
AIM ~ expression
OLS Regression Results
| Dep. Variable: | AIM | R-squared: | 0.189 |
| Model: | OLS | Adj. R-squared: | 0.151 |
| Method: | Least Squares | F-statistic: | 4.908 |
| Date: | Sun, 09 Nov 2025 | Prob (F-statistic): | 0.0379 |
| Time: | 19:55:09 | Log-Likelihood: | -110.69 |
| No. Observations: | 23 | AIC: | 225.4 |
| Df Residuals: | 21 | BIC: | 227.6 |
| Df Model: | 1 | | |
| coef | std err | t | P>|t| | [95.0% Conf. Int.] |
| Intercept | -107.9176 | 84.945 | -1.270 | 0.218 | -284.571 68.736 |
| expression | 26.2444 | 11.846 | 2.215 | 0.038 | 1.608 50.880 |
| Omnibus: | 3.644 | Durbin-Watson: | 2.319 |
| Prob(Omnibus): | 0.162 | Jarque-Bera (JB): | 1.790 |
| Skew: | 0.372 | Prob(JB): | 0.409 |
| Kurtosis: | 1.854 | Cond. No. | 95.6 |
CP101
Model Comparison: AIM ~ expression + C(dose) vs AIM ~ C(dose)
| F-statistic | p-value | df difference |
| 1.012 | 0.334 | 1.0 |
Model:
AIM ~ expression + C(dose) + expression:C(dose)
OLS Regression Results
| Dep. Variable: | AIM | R-squared: | 0.496 |
| Model: | OLS | Adj. R-squared: | 0.358 |
| Method: | Least Squares | F-statistic: | 3.602 |
| Date: | Sun, 09 Nov 2025 | Prob (F-statistic): | 0.0495 |
| Time: | 19:55:09 | Log-Likelihood: | -70.167 |
| No. Observations: | 15 | AIC: | 148.3 |
| Df Residuals: | 11 | BIC: | 151.2 |
| Df Model: | 3 | | |
| coef | std err | t | P>|t| | [95.0% Conf. Int.] |
| Intercept | 33.6694 | 111.228 | 0.303 | 0.768 | -211.142 278.481 |
| C(dose)[T.1] | 15.2457 | 132.021 | 0.115 | 0.910 | -275.331 305.822 |
| expression | 5.3393 | 17.498 | 0.305 | 0.766 | -33.173 43.851 |
| expression:C(dose)[T.1] | 6.2306 | 21.225 | 0.294 | 0.775 | -40.484 52.945 |
| Omnibus: | 0.365 | Durbin-Watson: | 0.975 |
| Prob(Omnibus): | 0.833 | Jarque-Bera (JB): | 0.496 |
| Skew: | -0.219 | Prob(JB): | 0.780 |
| Kurtosis: | 2.224 | Cond. No. | 152. |
Model:
AIM ~ expression + C(dose)
OLS Regression Results
| Dep. Variable: | AIM | R-squared: | 0.492 |
| Model: | OLS | Adj. R-squared: | 0.407 |
| Method: | Least Squares | F-statistic: | 5.802 |
| Date: | Sun, 09 Nov 2025 | Prob (F-statistic): | 0.0173 |
| Time: | 19:55:09 | Log-Likelihood: | -70.226 |
| No. Observations: | 15 | AIC: | 146.5 |
| Df Residuals: | 12 | BIC: | 148.6 |
| Df Model: | 2 | | |
| coef | std err | t | P>|t| | [95.0% Conf. Int.] |
| Intercept | 6.8949 | 61.191 | 0.113 | 0.912 | -126.428 140.218 |
| C(dose)[T.1] | 53.7012 | 15.765 | 3.406 | 0.005 | 19.352 88.050 |
| expression | 9.5739 | 9.519 | 1.006 | 0.334 | -11.166 30.314 |
| Omnibus: | 0.455 | Durbin-Watson: | 0.913 |
| Prob(Omnibus): | 0.797 | Jarque-Bera (JB): | 0.552 |
| Skew: | -0.251 | Prob(JB): | 0.759 |
| Kurtosis: | 2.206 | Cond. No. | 51.4 |
Model:
AIM ~ C(dose)
OLS Regression Results
| Dep. Variable: | AIM | R-squared: | 0.449 |
| Model: | OLS | Adj. R-squared: | 0.406 |
| Method: | Least Squares | F-statistic: | 10.58 |
| Date: | Sun, 09 Nov 2025 | Prob (F-statistic): | 0.00629 |
| Time: | 19:55:10 | Log-Likelihood: | -70.833 |
| No. Observations: | 15 | AIC: | 145.7 |
| Df Residuals: | 13 | BIC: | 147.1 |
| Df Model: | 1 | | |
| coef | std err | t | P>|t| | [95.0% Conf. Int.] |
| Intercept | 67.4286 | 11.044 | 6.106 | 0.000 | 43.570 91.287 |
| C(dose)[T.1] | 49.1964 | 15.122 | 3.253 | 0.006 | 16.527 81.866 |
| Omnibus: | 2.713 | Durbin-Watson: | 0.810 |
| Prob(Omnibus): | 0.258 | Jarque-Bera (JB): | 1.868 |
| Skew: | -0.843 | Prob(JB): | 0.393 |
| Kurtosis: | 2.619 | Cond. No. | 2.70 |
Model:
AIM ~ expression
OLS Regression Results
| Dep. Variable: | AIM | R-squared: | 0.000 |
| Model: | OLS | Adj. R-squared: | -0.077 |
| Method: | Least Squares | F-statistic: | 0.0008656 |
| Date: | Sun, 09 Nov 2025 | Prob (F-statistic): | 0.977 |
| Time: | 19:55:10 | Log-Likelihood: | -75.300 |
| No. Observations: | 15 | AIC: | 154.6 |
| Df Residuals: | 13 | BIC: | 156.0 |
| Df Model: | 1 | | |
| coef | std err | t | P>|t| | [95.0% Conf. Int.] |
| Intercept | 91.4697 | 75.359 | 1.214 | 0.246 | -71.333 254.273 |
| expression | 0.3618 | 12.298 | 0.029 | 0.977 | -26.206 26.930 |
| Omnibus: | 0.575 | Durbin-Watson: | 1.625 |
| Prob(Omnibus): | 0.750 | Jarque-Bera (JB): | 0.571 |
| Skew: | 0.052 | Prob(JB): | 0.752 |
| Kurtosis: | 2.050 | Cond. No. | 46.6 |