AIM Score vs. Gene Expression
Full X range:
Auto X range:
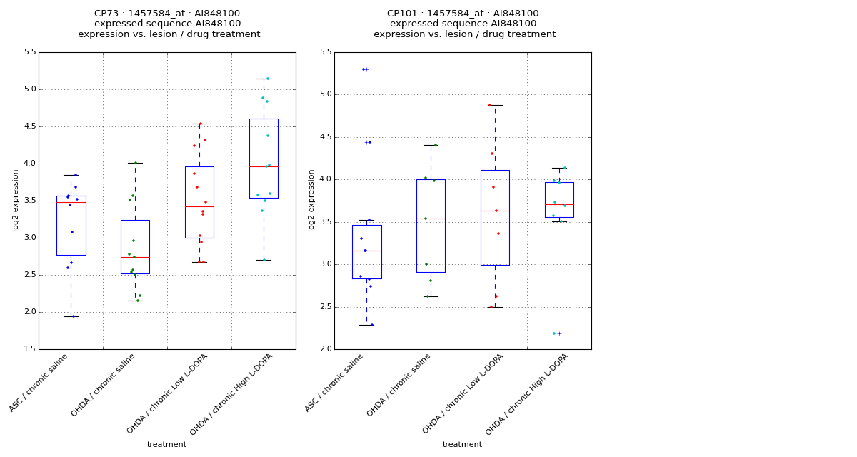
Group Comparisons: Boxplots
CP73
Model Comparison: AIM ~ expression + C(dose) vs AIM ~ C(dose)
| F-statistic | p-value | df difference |
| 0.044 | 0.836 | 1.0 |
Model:
AIM ~ expression + C(dose) + expression:C(dose)
OLS Regression Results
| Dep. Variable: | AIM | R-squared: | 0.653 |
| Model: | OLS | Adj. R-squared: | 0.599 |
| Method: | Least Squares | F-statistic: | 11.93 |
| Date: | Sun, 09 Nov 2025 | Prob (F-statistic): | 0.000128 |
| Time: | 19:41:59 | Log-Likelihood: | -100.92 |
| No. Observations: | 23 | AIC: | 209.8 |
| Df Residuals: | 19 | BIC: | 214.4 |
| Df Model: | 3 | | |
| coef | std err | t | P>|t| | [95.0% Conf. Int.] |
| Intercept | 60.9966 | 36.425 | 1.675 | 0.110 | -15.241 137.235 |
| C(dose)[T.1] | 30.5650 | 51.728 | 0.591 | 0.562 | -77.703 138.833 |
| expression | -1.9344 | 10.229 | -0.189 | 0.852 | -23.344 19.475 |
| expression:C(dose)[T.1] | 5.9392 | 13.664 | 0.435 | 0.669 | -22.660 34.538 |
| Omnibus: | 0.342 | Durbin-Watson: | 1.973 |
| Prob(Omnibus): | 0.843 | Jarque-Bera (JB): | 0.503 |
| Skew: | 0.133 | Prob(JB): | 0.778 |
| Kurtosis: | 2.326 | Cond. No. | 62.6 |
Model:
AIM ~ expression + C(dose)
OLS Regression Results
| Dep. Variable: | AIM | R-squared: | 0.650 |
| Model: | OLS | Adj. R-squared: | 0.615 |
| Method: | Least Squares | F-statistic: | 18.56 |
| Date: | Sun, 09 Nov 2025 | Prob (F-statistic): | 2.77e-05 |
| Time: | 19:41:59 | Log-Likelihood: | -101.04 |
| No. Observations: | 23 | AIC: | 208.1 |
| Df Residuals: | 20 | BIC: | 211.5 |
| Df Model: | 2 | | |
| coef | std err | t | P>|t| | [95.0% Conf. Int.] |
| Intercept | 49.3162 | 24.086 | 2.048 | 0.054 | -0.926 99.559 |
| C(dose)[T.1] | 52.6653 | 9.327 | 5.647 | 0.000 | 33.210 72.121 |
| expression | 1.3941 | 6.643 | 0.210 | 0.836 | -12.463 15.251 |
| Omnibus: | 0.229 | Durbin-Watson: | 1.944 |
| Prob(Omnibus): | 0.892 | Jarque-Bera (JB): | 0.426 |
| Skew: | 0.075 | Prob(JB): | 0.808 |
| Kurtosis: | 2.350 | Cond. No. | 22.6 |
Model:
AIM ~ C(dose)
OLS Regression Results
| Dep. Variable: | AIM | R-squared: | 0.649 |
| Model: | OLS | Adj. R-squared: | 0.632 |
| Method: | Least Squares | F-statistic: | 38.84 |
| Date: | Sun, 09 Nov 2025 | Prob (F-statistic): | 3.51e-06 |
| Time: | 19:41:59 | Log-Likelihood: | -101.06 |
| No. Observations: | 23 | AIC: | 206.1 |
| Df Residuals: | 21 | BIC: | 208.4 |
| Df Model: | 1 | | |
| coef | std err | t | P>|t| | [95.0% Conf. Int.] |
| Intercept | 54.2083 | 5.919 | 9.159 | 0.000 | 41.900 66.517 |
| C(dose)[T.1] | 53.3371 | 8.558 | 6.232 | 0.000 | 35.539 71.135 |
| Omnibus: | 0.322 | Durbin-Watson: | 1.888 |
| Prob(Omnibus): | 0.851 | Jarque-Bera (JB): | 0.485 |
| Skew: | 0.060 | Prob(JB): | 0.785 |
| Kurtosis: | 2.299 | Cond. No. | 2.57 |
Model:
AIM ~ expression
OLS Regression Results
| Dep. Variable: | AIM | R-squared: | 0.092 |
| Model: | OLS | Adj. R-squared: | 0.048 |
| Method: | Least Squares | F-statistic: | 2.117 |
| Date: | Sun, 09 Nov 2025 | Prob (F-statistic): | 0.160 |
| Time: | 19:41:59 | Log-Likelihood: | -112.00 |
| No. Observations: | 23 | AIC: | 228.0 |
| Df Residuals: | 21 | BIC: | 230.3 |
| Df Model: | 1 | | |
| coef | std err | t | P>|t| | [95.0% Conf. Int.] |
| Intercept | 26.3557 | 37.316 | 0.706 | 0.488 | -51.247 103.959 |
| expression | 14.2690 | 9.807 | 1.455 | 0.160 | -6.127 34.665 |
| Omnibus: | 0.633 | Durbin-Watson: | 2.577 |
| Prob(Omnibus): | 0.729 | Jarque-Bera (JB): | 0.706 |
| Skew: | 0.267 | Prob(JB): | 0.702 |
| Kurtosis: | 2.328 | Cond. No. | 22.0 |
CP101
Model Comparison: AIM ~ expression + C(dose) vs AIM ~ C(dose)
| F-statistic | p-value | df difference |
| 2.491 | 0.140 | 1.0 |
Model:
AIM ~ expression + C(dose) + expression:C(dose)
OLS Regression Results
| Dep. Variable: | AIM | R-squared: | 0.547 |
| Model: | OLS | Adj. R-squared: | 0.424 |
| Method: | Least Squares | F-statistic: | 4.434 |
| Date: | Sun, 09 Nov 2025 | Prob (F-statistic): | 0.0283 |
| Time: | 19:41:59 | Log-Likelihood: | -69.355 |
| No. Observations: | 15 | AIC: | 146.7 |
| Df Residuals: | 11 | BIC: | 149.5 |
| Df Model: | 3 | | |
| coef | std err | t | P>|t| | [95.0% Conf. Int.] |
| Intercept | 135.8950 | 50.426 | 2.695 | 0.021 | 24.907 246.883 |
| C(dose)[T.1] | 24.4157 | 82.298 | 0.297 | 0.772 | -156.720 205.552 |
| expression | -19.0149 | 13.675 | -1.390 | 0.192 | -49.113 11.083 |
| expression:C(dose)[T.1] | 6.8673 | 22.496 | 0.305 | 0.766 | -42.646 56.381 |
| Omnibus: | 0.917 | Durbin-Watson: | 1.293 |
| Prob(Omnibus): | 0.632 | Jarque-Bera (JB): | 0.576 |
| Skew: | -0.453 | Prob(JB): | 0.750 |
| Kurtosis: | 2.683 | Cond. No. | 54.6 |
Model:
AIM ~ expression + C(dose)
OLS Regression Results
| Dep. Variable: | AIM | R-squared: | 0.544 |
| Model: | OLS | Adj. R-squared: | 0.467 |
| Method: | Least Squares | F-statistic: | 7.144 |
| Date: | Sun, 09 Nov 2025 | Prob (F-statistic): | 0.00905 |
| Time: | 19:41:59 | Log-Likelihood: | -69.418 |
| No. Observations: | 15 | AIC: | 144.8 |
| Df Residuals: | 12 | BIC: | 147.0 |
| Df Model: | 2 | | |
| coef | std err | t | P>|t| | [95.0% Conf. Int.] |
| Intercept | 126.7579 | 39.019 | 3.249 | 0.007 | 41.743 211.773 |
| C(dose)[T.1] | 49.1235 | 14.323 | 3.430 | 0.005 | 17.916 80.331 |
| expression | -16.4773 | 10.440 | -1.578 | 0.140 | -39.224 6.269 |
| Omnibus: | 0.484 | Durbin-Watson: | 1.275 |
| Prob(Omnibus): | 0.785 | Jarque-Bera (JB): | 0.407 |
| Skew: | -0.339 | Prob(JB): | 0.816 |
| Kurtosis: | 2.561 | Cond. No. | 21.7 |
Model:
AIM ~ C(dose)
OLS Regression Results
| Dep. Variable: | AIM | R-squared: | 0.449 |
| Model: | OLS | Adj. R-squared: | 0.406 |
| Method: | Least Squares | F-statistic: | 10.58 |
| Date: | Sun, 09 Nov 2025 | Prob (F-statistic): | 0.00629 |
| Time: | 19:41:59 | Log-Likelihood: | -70.833 |
| No. Observations: | 15 | AIC: | 145.7 |
| Df Residuals: | 13 | BIC: | 147.1 |
| Df Model: | 1 | | |
| coef | std err | t | P>|t| | [95.0% Conf. Int.] |
| Intercept | 67.4286 | 11.044 | 6.106 | 0.000 | 43.570 91.287 |
| C(dose)[T.1] | 49.1964 | 15.122 | 3.253 | 0.006 | 16.527 81.866 |
| Omnibus: | 2.713 | Durbin-Watson: | 0.810 |
| Prob(Omnibus): | 0.258 | Jarque-Bera (JB): | 1.868 |
| Skew: | -0.843 | Prob(JB): | 0.393 |
| Kurtosis: | 2.619 | Cond. No. | 2.70 |
Model:
AIM ~ expression
OLS Regression Results
| Dep. Variable: | AIM | R-squared: | 0.096 |
| Model: | OLS | Adj. R-squared: | 0.027 |
| Method: | Least Squares | F-statistic: | 1.382 |
| Date: | Sun, 09 Nov 2025 | Prob (F-statistic): | 0.261 |
| Time: | 19:41:59 | Log-Likelihood: | -74.542 |
| No. Observations: | 15 | AIC: | 153.1 |
| Df Residuals: | 13 | BIC: | 154.5 |
| Df Model: | 1 | | |
| coef | std err | t | P>|t| | [95.0% Conf. Int.] |
| Intercept | 153.3728 | 51.700 | 2.967 | 0.011 | 41.683 265.063 |
| expression | -16.5928 | 14.115 | -1.176 | 0.261 | -47.086 13.900 |
| Omnibus: | 2.139 | Durbin-Watson: | 1.854 |
| Prob(Omnibus): | 0.343 | Jarque-Bera (JB): | 1.362 |
| Skew: | 0.493 | Prob(JB): | 0.506 |
| Kurtosis: | 1.902 | Cond. No. | 21.0 |