AIM Score vs. Gene Expression
Full X range:
Auto X range:
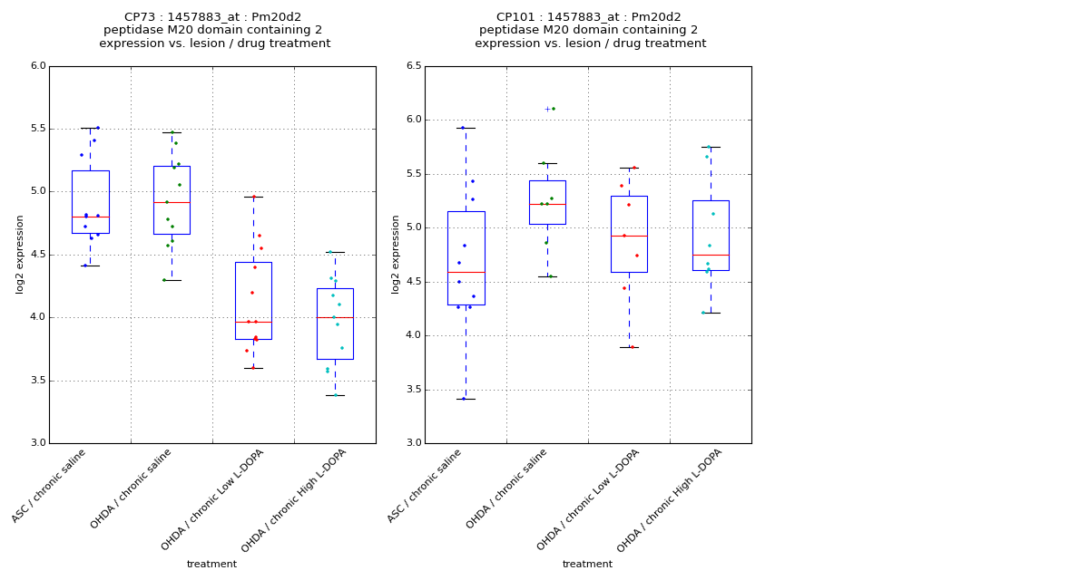
Group Comparisons: Boxplots
CP73
Model Comparison: AIM ~ expression + C(dose) vs AIM ~ C(dose)
| F-statistic | p-value | df difference |
| 0.694 | 0.415 | 1.0 |
Model:
AIM ~ expression + C(dose) + expression:C(dose)
OLS Regression Results
| Dep. Variable: | AIM | R-squared: | 0.661 |
| Model: | OLS | Adj. R-squared: | 0.607 |
| Method: | Least Squares | F-statistic: | 12.34 |
| Date: | Sun, 09 Nov 2025 | Prob (F-statistic): | 0.000104 |
| Time: | 19:44:25 | Log-Likelihood: | -100.67 |
| No. Observations: | 23 | AIC: | 209.3 |
| Df Residuals: | 19 | BIC: | 213.9 |
| Df Model: | 3 | | |
| coef | std err | t | P>|t| | [95.0% Conf. Int.] |
| Intercept | 13.6359 | 62.597 | 0.218 | 0.830 | -117.382 144.653 |
| C(dose)[T.1] | 57.7918 | 97.393 | 0.593 | 0.560 | -146.054 261.638 |
| expression | 9.8291 | 15.092 | 0.651 | 0.523 | -21.759 41.417 |
| expression:C(dose)[T.1] | -0.7267 | 24.058 | -0.030 | 0.976 | -51.080 49.626 |
| Omnibus: | 1.760 | Durbin-Watson: | 2.130 |
| Prob(Omnibus): | 0.415 | Jarque-Bera (JB): | 1.029 |
| Skew: | 0.104 | Prob(JB): | 0.598 |
| Kurtosis: | 1.985 | Cond. No. | 118. |
Model:
AIM ~ expression + C(dose)
OLS Regression Results
| Dep. Variable: | AIM | R-squared: | 0.661 |
| Model: | OLS | Adj. R-squared: | 0.627 |
| Method: | Least Squares | F-statistic: | 19.48 |
| Date: | Sun, 09 Nov 2025 | Prob (F-statistic): | 2.01e-05 |
| Time: | 19:44:25 | Log-Likelihood: | -100.67 |
| No. Observations: | 23 | AIC: | 207.3 |
| Df Residuals: | 20 | BIC: | 210.7 |
| Df Model: | 2 | | |
| coef | std err | t | P>|t| | [95.0% Conf. Int.] |
| Intercept | 14.8165 | 47.661 | 0.311 | 0.759 | -84.603 114.236 |
| C(dose)[T.1] | 54.8626 | 8.814 | 6.225 | 0.000 | 36.477 73.248 |
| expression | 9.5431 | 11.456 | 0.833 | 0.415 | -14.353 33.439 |
| Omnibus: | 1.822 | Durbin-Watson: | 2.128 |
| Prob(Omnibus): | 0.402 | Jarque-Bera (JB): | 1.047 |
| Skew: | 0.108 | Prob(JB): | 0.593 |
| Kurtosis: | 1.977 | Cond. No. | 48.0 |
Model:
AIM ~ C(dose)
OLS Regression Results
| Dep. Variable: | AIM | R-squared: | 0.649 |
| Model: | OLS | Adj. R-squared: | 0.632 |
| Method: | Least Squares | F-statistic: | 38.84 |
| Date: | Sun, 09 Nov 2025 | Prob (F-statistic): | 3.51e-06 |
| Time: | 19:44:25 | Log-Likelihood: | -101.06 |
| No. Observations: | 23 | AIC: | 206.1 |
| Df Residuals: | 21 | BIC: | 208.4 |
| Df Model: | 1 | | |
| coef | std err | t | P>|t| | [95.0% Conf. Int.] |
| Intercept | 54.2083 | 5.919 | 9.159 | 0.000 | 41.900 66.517 |
| C(dose)[T.1] | 53.3371 | 8.558 | 6.232 | 0.000 | 35.539 71.135 |
| Omnibus: | 0.322 | Durbin-Watson: | 1.888 |
| Prob(Omnibus): | 0.851 | Jarque-Bera (JB): | 0.485 |
| Skew: | 0.060 | Prob(JB): | 0.785 |
| Kurtosis: | 2.299 | Cond. No. | 2.57 |
Model:
AIM ~ expression
OLS Regression Results
| Dep. Variable: | AIM | R-squared: | 0.004 |
| Model: | OLS | Adj. R-squared: | -0.044 |
| Method: | Least Squares | F-statistic: | 0.07912 |
| Date: | Sun, 09 Nov 2025 | Prob (F-statistic): | 0.781 |
| Time: | 19:44:25 | Log-Likelihood: | -113.06 |
| No. Observations: | 23 | AIC: | 230.1 |
| Df Residuals: | 21 | BIC: | 232.4 |
| Df Model: | 1 | | |
| coef | std err | t | P>|t| | [95.0% Conf. Int.] |
| Intercept | 101.0756 | 76.271 | 1.325 | 0.199 | -57.539 259.691 |
| expression | -5.2719 | 18.742 | -0.281 | 0.781 | -44.248 33.704 |
| Omnibus: | 3.107 | Durbin-Watson: | 2.440 |
| Prob(Omnibus): | 0.212 | Jarque-Bera (JB): | 1.499 |
| Skew: | 0.269 | Prob(JB): | 0.473 |
| Kurtosis: | 1.871 | Cond. No. | 45.7 |
CP101
Model Comparison: AIM ~ expression + C(dose) vs AIM ~ C(dose)
| F-statistic | p-value | df difference |
| 10.842 | 0.006 | 1.0 |
Model:
AIM ~ expression + C(dose) + expression:C(dose)
OLS Regression Results
| Dep. Variable: | AIM | R-squared: | 0.752 |
| Model: | OLS | Adj. R-squared: | 0.684 |
| Method: | Least Squares | F-statistic: | 11.11 |
| Date: | Sun, 09 Nov 2025 | Prob (F-statistic): | 0.00118 |
| Time: | 19:44:25 | Log-Likelihood: | -64.847 |
| No. Observations: | 15 | AIC: | 137.7 |
| Df Residuals: | 11 | BIC: | 140.5 |
| Df Model: | 3 | | |
| coef | std err | t | P>|t| | [95.0% Conf. Int.] |
| Intercept | -37.8700 | 73.771 | -0.513 | 0.618 | -200.239 124.499 |
| C(dose)[T.1] | -93.3386 | 104.404 | -0.894 | 0.390 | -323.130 136.453 |
| expression | 21.5862 | 15.033 | 1.436 | 0.179 | -11.500 54.673 |
| expression:C(dose)[T.1] | 28.6903 | 21.172 | 1.355 | 0.203 | -17.909 75.290 |
| Omnibus: | 0.908 | Durbin-Watson: | 0.801 |
| Prob(Omnibus): | 0.635 | Jarque-Bera (JB): | 0.740 |
| Skew: | -0.225 | Prob(JB): | 0.691 |
| Kurtosis: | 2.010 | Cond. No. | 130. |
Model:
AIM ~ expression + C(dose)
OLS Regression Results
| Dep. Variable: | AIM | R-squared: | 0.710 |
| Model: | OLS | Adj. R-squared: | 0.662 |
| Method: | Least Squares | F-statistic: | 14.72 |
| Date: | Sun, 09 Nov 2025 | Prob (F-statistic): | 0.000590 |
| Time: | 19:44:25 | Log-Likelihood: | -66.005 |
| No. Observations: | 15 | AIC: | 138.0 |
| Df Residuals: | 12 | BIC: | 140.1 |
| Df Model: | 2 | | |
| coef | std err | t | P>|t| | [95.0% Conf. Int.] |
| Intercept | -108.4241 | 54.053 | -2.006 | 0.068 | -226.195 9.346 |
| C(dose)[T.1] | 47.3446 | 11.422 | 4.145 | 0.001 | 22.458 72.231 |
| expression | 36.0498 | 10.948 | 3.293 | 0.006 | 12.195 59.904 |
| Omnibus: | 1.209 | Durbin-Watson: | 0.822 |
| Prob(Omnibus): | 0.546 | Jarque-Bera (JB): | 0.768 |
| Skew: | -0.056 | Prob(JB): | 0.681 |
| Kurtosis: | 1.897 | Cond. No. | 49.0 |
Model:
AIM ~ C(dose)
OLS Regression Results
| Dep. Variable: | AIM | R-squared: | 0.449 |
| Model: | OLS | Adj. R-squared: | 0.406 |
| Method: | Least Squares | F-statistic: | 10.58 |
| Date: | Sun, 09 Nov 2025 | Prob (F-statistic): | 0.00629 |
| Time: | 19:44:25 | Log-Likelihood: | -70.833 |
| No. Observations: | 15 | AIC: | 145.7 |
| Df Residuals: | 13 | BIC: | 147.1 |
| Df Model: | 1 | | |
| coef | std err | t | P>|t| | [95.0% Conf. Int.] |
| Intercept | 67.4286 | 11.044 | 6.106 | 0.000 | 43.570 91.287 |
| C(dose)[T.1] | 49.1964 | 15.122 | 3.253 | 0.006 | 16.527 81.866 |
| Omnibus: | 2.713 | Durbin-Watson: | 0.810 |
| Prob(Omnibus): | 0.258 | Jarque-Bera (JB): | 1.868 |
| Skew: | -0.843 | Prob(JB): | 0.393 |
| Kurtosis: | 2.619 | Cond. No. | 2.70 |
Model:
AIM ~ expression
OLS Regression Results
| Dep. Variable: | AIM | R-squared: | 0.296 |
| Model: | OLS | Adj. R-squared: | 0.242 |
| Method: | Least Squares | F-statistic: | 5.461 |
| Date: | Sun, 09 Nov 2025 | Prob (F-statistic): | 0.0361 |
| Time: | 19:44:25 | Log-Likelihood: | -72.670 |
| No. Observations: | 15 | AIC: | 149.3 |
| Df Residuals: | 13 | BIC: | 150.8 |
| Df Model: | 1 | | |
| coef | std err | t | P>|t| | [95.0% Conf. Int.] |
| Intercept | -94.1346 | 80.818 | -1.165 | 0.265 | -268.732 80.463 |
| expression | 38.2843 | 16.383 | 2.337 | 0.036 | 2.890 73.678 |
| Omnibus: | 1.072 | Durbin-Watson: | 2.280 |
| Prob(Omnibus): | 0.585 | Jarque-Bera (JB): | 0.727 |
| Skew: | -0.013 | Prob(JB): | 0.695 |
| Kurtosis: | 1.921 | Cond. No. | 48.7 |