AIM Score vs. Gene Expression
Full X range:
Auto X range:
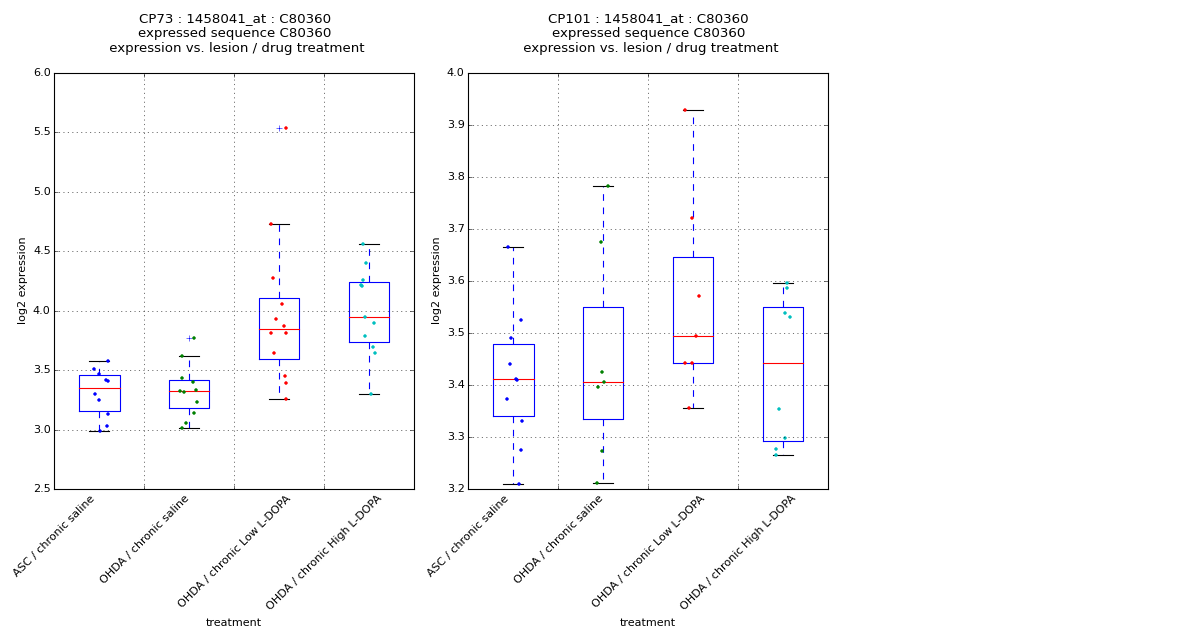
Group Comparisons: Boxplots
CP73
Model Comparison: AIM ~ expression + C(dose) vs AIM ~ C(dose)
| F-statistic | p-value | df difference |
| 5.711 | 0.027 | 1.0 |
Model:
AIM ~ expression + C(dose) + expression:C(dose)
OLS Regression Results
| Dep. Variable: | AIM | R-squared: | 0.772 |
| Model: | OLS | Adj. R-squared: | 0.737 |
| Method: | Least Squares | F-statistic: | 21.50 |
| Date: | Wed, 17 Dec 2025 | Prob (F-statistic): | 2.51e-06 |
| Time: | 11:42:50 | Log-Likelihood: | -96.080 |
| No. Observations: | 23 | AIC: | 200.2 |
| Df Residuals: | 19 | BIC: | 204.7 |
| Df Model: | 3 | | |
| coef | std err | t | P>|t| | [95.0% Conf. Int.] |
| Intercept | 95.8479 | 33.261 | 2.882 | 0.010 | 26.231 165.464 |
| C(dose)[T.1] | 184.3051 | 67.512 | 2.730 | 0.013 | 43.000 325.610 |
| expression | -10.4625 | 8.262 | -1.266 | 0.221 | -27.755 6.830 |
| expression:C(dose)[T.1] | -32.7841 | 16.829 | -1.948 | 0.066 | -68.008 2.439 |
| Omnibus: | 0.705 | Durbin-Watson: | 1.306 |
| Prob(Omnibus): | 0.703 | Jarque-Bera (JB): | 0.677 |
| Skew: | 0.087 | Prob(JB): | 0.713 |
| Kurtosis: | 2.178 | Cond. No. | 93.2 |
Model:
AIM ~ expression + C(dose)
OLS Regression Results
| Dep. Variable: | AIM | R-squared: | 0.727 |
| Model: | OLS | Adj. R-squared: | 0.700 |
| Method: | Least Squares | F-statistic: | 26.63 |
| Date: | Wed, 17 Dec 2025 | Prob (F-statistic): | 2.30e-06 |
| Time: | 11:42:50 | Log-Likelihood: | -98.174 |
| No. Observations: | 23 | AIC: | 202.3 |
| Df Residuals: | 20 | BIC: | 205.8 |
| Df Model: | 2 | | |
| coef | std err | t | P>|t| | [95.0% Conf. Int.] |
| Intercept | 127.2952 | 31.047 | 4.100 | 0.001 | 62.533 192.058 |
| C(dose)[T.1] | 53.5454 | 7.735 | 6.922 | 0.000 | 37.410 69.681 |
| expression | -18.3640 | 7.684 | -2.390 | 0.027 | -34.393 -2.335 |
| Omnibus: | 0.706 | Durbin-Watson: | 1.950 |
| Prob(Omnibus): | 0.703 | Jarque-Bera (JB): | 0.666 |
| Skew: | 0.015 | Prob(JB): | 0.717 |
| Kurtosis: | 2.167 | Cond. No. | 34.5 |
Model:
AIM ~ C(dose)
OLS Regression Results
| Dep. Variable: | AIM | R-squared: | 0.649 |
| Model: | OLS | Adj. R-squared: | 0.632 |
| Method: | Least Squares | F-statistic: | 38.84 |
| Date: | Wed, 17 Dec 2025 | Prob (F-statistic): | 3.51e-06 |
| Time: | 11:42:50 | Log-Likelihood: | -101.06 |
| No. Observations: | 23 | AIC: | 206.1 |
| Df Residuals: | 21 | BIC: | 208.4 |
| Df Model: | 1 | | |
| coef | std err | t | P>|t| | [95.0% Conf. Int.] |
| Intercept | 54.2083 | 5.919 | 9.159 | 0.000 | 41.900 66.517 |
| C(dose)[T.1] | 53.3371 | 8.558 | 6.232 | 0.000 | 35.539 71.135 |
| Omnibus: | 0.322 | Durbin-Watson: | 1.888 |
| Prob(Omnibus): | 0.851 | Jarque-Bera (JB): | 0.485 |
| Skew: | 0.060 | Prob(JB): | 0.785 |
| Kurtosis: | 2.299 | Cond. No. | 2.57 |
Model:
AIM ~ expression
OLS Regression Results
| Dep. Variable: | AIM | R-squared: | 0.073 |
| Model: | OLS | Adj. R-squared: | 0.029 |
| Method: | Least Squares | F-statistic: | 1.653 |
| Date: | Wed, 17 Dec 2025 | Prob (F-statistic): | 0.213 |
| Time: | 11:42:51 | Log-Likelihood: | -112.23 |
| No. Observations: | 23 | AIC: | 228.5 |
| Df Residuals: | 21 | BIC: | 230.7 |
| Df Model: | 1 | | |
| coef | std err | t | P>|t| | [95.0% Conf. Int.] |
| Intercept | 150.5149 | 55.507 | 2.712 | 0.013 | 35.081 265.949 |
| expression | -17.7646 | 13.818 | -1.286 | 0.213 | -46.501 10.972 |
| Omnibus: | 4.839 | Durbin-Watson: | 2.383 |
| Prob(Omnibus): | 0.089 | Jarque-Bera (JB): | 1.646 |
| Skew: | 0.144 | Prob(JB): | 0.439 |
| Kurtosis: | 1.721 | Cond. No. | 34.0 |
CP101
Model Comparison: AIM ~ expression + C(dose) vs AIM ~ C(dose)
| F-statistic | p-value | df difference |
| 0.194 | 0.668 | 1.0 |
Model:
AIM ~ expression + C(dose) + expression:C(dose)
OLS Regression Results
| Dep. Variable: | AIM | R-squared: | 0.462 |
| Model: | OLS | Adj. R-squared: | 0.315 |
| Method: | Least Squares | F-statistic: | 3.149 |
| Date: | Wed, 17 Dec 2025 | Prob (F-statistic): | 0.0687 |
| Time: | 11:42:51 | Log-Likelihood: | -70.651 |
| No. Observations: | 15 | AIC: | 149.3 |
| Df Residuals: | 11 | BIC: | 152.1 |
| Df Model: | 3 | | |
| coef | std err | t | P>|t| | [95.0% Conf. Int.] |
| Intercept | 33.9872 | 231.403 | 0.147 | 0.886 | -475.327 543.301 |
| C(dose)[T.1] | -57.6892 | 364.203 | -0.158 | 0.877 | -859.294 743.915 |
| expression | 9.3801 | 64.822 | 0.145 | 0.888 | -133.292 152.053 |
| expression:C(dose)[T.1] | 31.5271 | 104.466 | 0.302 | 0.768 | -198.400 261.455 |
| Omnibus: | 1.359 | Durbin-Watson: | 0.965 |
| Prob(Omnibus): | 0.507 | Jarque-Bera (JB): | 1.095 |
| Skew: | -0.582 | Prob(JB): | 0.578 |
| Kurtosis: | 2.370 | Cond. No. | 215. |
Model:
AIM ~ expression + C(dose)
OLS Regression Results
| Dep. Variable: | AIM | R-squared: | 0.458 |
| Model: | OLS | Adj. R-squared: | 0.367 |
| Method: | Least Squares | F-statistic: | 5.061 |
| Date: | Wed, 17 Dec 2025 | Prob (F-statistic): | 0.0255 |
| Time: | 11:42:51 | Log-Likelihood: | -70.713 |
| No. Observations: | 15 | AIC: | 147.4 |
| Df Residuals: | 12 | BIC: | 149.5 |
| Df Model: | 2 | | |
| coef | std err | t | P>|t| | [95.0% Conf. Int.] |
| Intercept | -9.2899 | 174.601 | -0.053 | 0.958 | -389.713 371.134 |
| C(dose)[T.1] | 52.0963 | 16.946 | 3.074 | 0.010 | 15.174 89.018 |
| expression | 21.5192 | 48.870 | 0.440 | 0.668 | -84.960 127.998 |
| Omnibus: | 1.890 | Durbin-Watson: | 0.930 |
| Prob(Omnibus): | 0.389 | Jarque-Bera (JB): | 1.394 |
| Skew: | -0.700 | Prob(JB): | 0.498 |
| Kurtosis: | 2.481 | Cond. No. | 85.6 |
Model:
AIM ~ C(dose)
OLS Regression Results
| Dep. Variable: | AIM | R-squared: | 0.449 |
| Model: | OLS | Adj. R-squared: | 0.406 |
| Method: | Least Squares | F-statistic: | 10.58 |
| Date: | Wed, 17 Dec 2025 | Prob (F-statistic): | 0.00629 |
| Time: | 11:42:51 | Log-Likelihood: | -70.833 |
| No. Observations: | 15 | AIC: | 145.7 |
| Df Residuals: | 13 | BIC: | 147.1 |
| Df Model: | 1 | | |
| coef | std err | t | P>|t| | [95.0% Conf. Int.] |
| Intercept | 67.4286 | 11.044 | 6.106 | 0.000 | 43.570 91.287 |
| C(dose)[T.1] | 49.1964 | 15.122 | 3.253 | 0.006 | 16.527 81.866 |
| Omnibus: | 2.713 | Durbin-Watson: | 0.810 |
| Prob(Omnibus): | 0.258 | Jarque-Bera (JB): | 1.868 |
| Skew: | -0.843 | Prob(JB): | 0.393 |
| Kurtosis: | 2.619 | Cond. No. | 2.70 |
Model:
AIM ~ expression
OLS Regression Results
| Dep. Variable: | AIM | R-squared: | 0.030 |
| Model: | OLS | Adj. R-squared: | -0.044 |
| Method: | Least Squares | F-statistic: | 0.4062 |
| Date: | Wed, 17 Dec 2025 | Prob (F-statistic): | 0.535 |
| Time: | 11:42:51 | Log-Likelihood: | -75.069 |
| No. Observations: | 15 | AIC: | 154.1 |
| Df Residuals: | 13 | BIC: | 155.6 |
| Df Model: | 1 | | |
| coef | std err | t | P>|t| | [95.0% Conf. Int.] |
| Intercept | 222.4518 | 202.305 | 1.100 | 0.291 | -214.602 659.505 |
| expression | -36.8668 | 57.842 | -0.637 | 0.535 | -161.827 88.094 |
| Omnibus: | 1.101 | Durbin-Watson: | 1.408 |
| Prob(Omnibus): | 0.577 | Jarque-Bera (JB): | 0.743 |
| Skew: | -0.076 | Prob(JB): | 0.690 |
| Kurtosis: | 1.920 | Cond. No. | 76.5 |