AIM Score vs. Gene Expression
Full X range:
Auto X range:
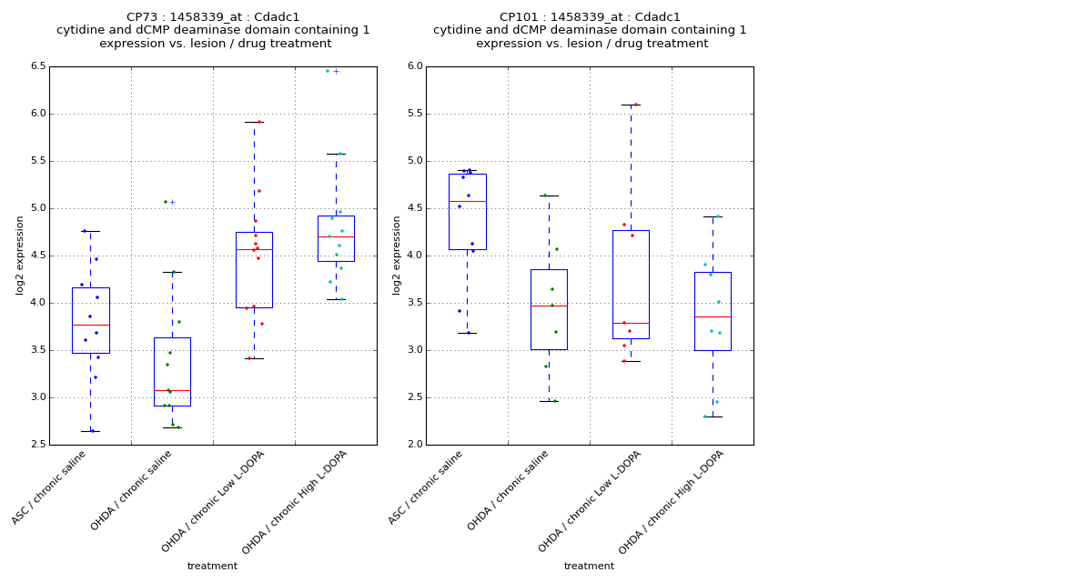
Group Comparisons: Boxplots
CP73
Model Comparison: AIM ~ expression + C(dose) vs AIM ~ C(dose)
| F-statistic | p-value | df difference |
| 0.024 | 0.878 | 1.0 |
Model:
AIM ~ expression + C(dose) + expression:C(dose)
OLS Regression Results
| Dep. Variable: | AIM | R-squared: | 0.656 |
| Model: | OLS | Adj. R-squared: | 0.601 |
| Method: | Least Squares | F-statistic: | 12.07 |
| Date: | Sun, 09 Nov 2025 | Prob (F-statistic): | 0.000119 |
| Time: | 19:49:22 | Log-Likelihood: | -100.84 |
| No. Observations: | 23 | AIC: | 209.7 |
| Df Residuals: | 19 | BIC: | 214.2 |
| Df Model: | 3 | | |
| coef | std err | t | P>|t| | [95.0% Conf. Int.] |
| Intercept | 41.3469 | 43.480 | 0.951 | 0.354 | -49.659 132.352 |
| C(dose)[T.1] | 91.7468 | 65.130 | 1.409 | 0.175 | -44.573 228.066 |
| expression | 2.8587 | 9.567 | 0.299 | 0.768 | -17.165 22.883 |
| expression:C(dose)[T.1] | -8.1543 | 13.812 | -0.590 | 0.562 | -37.063 20.755 |
| Omnibus: | 0.556 | Durbin-Watson: | 1.839 |
| Prob(Omnibus): | 0.757 | Jarque-Bera (JB): | 0.602 |
| Skew: | 0.021 | Prob(JB): | 0.740 |
| Kurtosis: | 2.208 | Cond. No. | 92.3 |
Model:
AIM ~ expression + C(dose)
OLS Regression Results
| Dep. Variable: | AIM | R-squared: | 0.649 |
| Model: | OLS | Adj. R-squared: | 0.614 |
| Method: | Least Squares | F-statistic: | 18.53 |
| Date: | Sun, 09 Nov 2025 | Prob (F-statistic): | 2.80e-05 |
| Time: | 19:49:22 | Log-Likelihood: | -101.05 |
| No. Observations: | 23 | AIC: | 208.1 |
| Df Residuals: | 20 | BIC: | 211.5 |
| Df Model: | 2 | | |
| coef | std err | t | P>|t| | [95.0% Conf. Int.] |
| Intercept | 58.9477 | 31.131 | 1.894 | 0.073 | -5.989 123.885 |
| C(dose)[T.1] | 53.6800 | 9.039 | 5.939 | 0.000 | 34.826 72.534 |
| expression | -1.0534 | 6.787 | -0.155 | 0.878 | -15.211 13.104 |
| Omnibus: | 0.353 | Durbin-Watson: | 1.875 |
| Prob(Omnibus): | 0.838 | Jarque-Bera (JB): | 0.502 |
| Skew: | 0.049 | Prob(JB): | 0.778 |
| Kurtosis: | 2.283 | Cond. No. | 35.1 |
Model:
AIM ~ C(dose)
OLS Regression Results
| Dep. Variable: | AIM | R-squared: | 0.649 |
| Model: | OLS | Adj. R-squared: | 0.632 |
| Method: | Least Squares | F-statistic: | 38.84 |
| Date: | Sun, 09 Nov 2025 | Prob (F-statistic): | 3.51e-06 |
| Time: | 19:49:22 | Log-Likelihood: | -101.06 |
| No. Observations: | 23 | AIC: | 206.1 |
| Df Residuals: | 21 | BIC: | 208.4 |
| Df Model: | 1 | | |
| coef | std err | t | P>|t| | [95.0% Conf. Int.] |
| Intercept | 54.2083 | 5.919 | 9.159 | 0.000 | 41.900 66.517 |
| C(dose)[T.1] | 53.3371 | 8.558 | 6.232 | 0.000 | 35.539 71.135 |
| Omnibus: | 0.322 | Durbin-Watson: | 1.888 |
| Prob(Omnibus): | 0.851 | Jarque-Bera (JB): | 0.485 |
| Skew: | 0.060 | Prob(JB): | 0.785 |
| Kurtosis: | 2.299 | Cond. No. | 2.57 |
Model:
AIM ~ expression
OLS Regression Results
| Dep. Variable: | AIM | R-squared: | 0.031 |
| Model: | OLS | Adj. R-squared: | -0.015 |
| Method: | Least Squares | F-statistic: | 0.6791 |
| Date: | Sun, 09 Nov 2025 | Prob (F-statistic): | 0.419 |
| Time: | 19:49:22 | Log-Likelihood: | -112.74 |
| No. Observations: | 23 | AIC: | 229.5 |
| Df Residuals: | 21 | BIC: | 231.7 |
| Df Model: | 1 | | |
| coef | std err | t | P>|t| | [95.0% Conf. Int.] |
| Intercept | 38.7638 | 50.202 | 0.772 | 0.449 | -65.637 143.164 |
| expression | 8.7984 | 10.677 | 0.824 | 0.419 | -13.405 31.002 |
| Omnibus: | 1.908 | Durbin-Watson: | 2.528 |
| Prob(Omnibus): | 0.385 | Jarque-Bera (JB): | 1.361 |
| Skew: | 0.373 | Prob(JB): | 0.506 |
| Kurtosis: | 2.071 | Cond. No. | 34.7 |
CP101
Model Comparison: AIM ~ expression + C(dose) vs AIM ~ C(dose)
| F-statistic | p-value | df difference |
| 1.694 | 0.218 | 1.0 |
Model:
AIM ~ expression + C(dose) + expression:C(dose)
OLS Regression Results
| Dep. Variable: | AIM | R-squared: | 0.525 |
| Model: | OLS | Adj. R-squared: | 0.395 |
| Method: | Least Squares | F-statistic: | 4.053 |
| Date: | Sun, 09 Nov 2025 | Prob (F-statistic): | 0.0363 |
| Time: | 19:49:22 | Log-Likelihood: | -69.717 |
| No. Observations: | 15 | AIC: | 147.4 |
| Df Residuals: | 11 | BIC: | 150.3 |
| Df Model: | 3 | | |
| coef | std err | t | P>|t| | [95.0% Conf. Int.] |
| Intercept | 126.1212 | 48.212 | 2.616 | 0.024 | 20.008 232.234 |
| C(dose)[T.1] | 13.6627 | 71.575 | 0.191 | 0.852 | -143.874 171.199 |
| expression | -15.4753 | 12.368 | -1.251 | 0.237 | -42.696 11.745 |
| expression:C(dose)[T.1] | 8.5536 | 19.831 | 0.431 | 0.675 | -35.093 52.200 |
| Omnibus: | 1.691 | Durbin-Watson: | 1.044 |
| Prob(Omnibus): | 0.429 | Jarque-Bera (JB): | 1.290 |
| Skew: | -0.659 | Prob(JB): | 0.525 |
| Kurtosis: | 2.428 | Cond. No. | 46.5 |
Model:
AIM ~ expression + C(dose)
OLS Regression Results
| Dep. Variable: | AIM | R-squared: | 0.517 |
| Model: | OLS | Adj. R-squared: | 0.436 |
| Method: | Least Squares | F-statistic: | 6.421 |
| Date: | Sun, 09 Nov 2025 | Prob (F-statistic): | 0.0127 |
| Time: | 19:49:22 | Log-Likelihood: | -69.843 |
| No. Observations: | 15 | AIC: | 145.7 |
| Df Residuals: | 12 | BIC: | 147.8 |
| Df Model: | 2 | | |
| coef | std err | t | P>|t| | [95.0% Conf. Int.] |
| Intercept | 113.5033 | 37.000 | 3.068 | 0.010 | 32.887 194.119 |
| C(dose)[T.1] | 43.7681 | 15.313 | 2.858 | 0.014 | 10.404 77.132 |
| expression | -12.1484 | 9.334 | -1.302 | 0.218 | -32.485 8.189 |
| Omnibus: | 1.518 | Durbin-Watson: | 1.100 |
| Prob(Omnibus): | 0.468 | Jarque-Bera (JB): | 1.234 |
| Skew: | -0.592 | Prob(JB): | 0.540 |
| Kurtosis: | 2.245 | Cond. No. | 20.1 |
Model:
AIM ~ C(dose)
OLS Regression Results
| Dep. Variable: | AIM | R-squared: | 0.449 |
| Model: | OLS | Adj. R-squared: | 0.406 |
| Method: | Least Squares | F-statistic: | 10.58 |
| Date: | Sun, 09 Nov 2025 | Prob (F-statistic): | 0.00629 |
| Time: | 19:49:22 | Log-Likelihood: | -70.833 |
| No. Observations: | 15 | AIC: | 145.7 |
| Df Residuals: | 13 | BIC: | 147.1 |
| Df Model: | 1 | | |
| coef | std err | t | P>|t| | [95.0% Conf. Int.] |
| Intercept | 67.4286 | 11.044 | 6.106 | 0.000 | 43.570 91.287 |
| C(dose)[T.1] | 49.1964 | 15.122 | 3.253 | 0.006 | 16.527 81.866 |
| Omnibus: | 2.713 | Durbin-Watson: | 0.810 |
| Prob(Omnibus): | 0.258 | Jarque-Bera (JB): | 1.868 |
| Skew: | -0.843 | Prob(JB): | 0.393 |
| Kurtosis: | 2.619 | Cond. No. | 2.70 |
Model:
AIM ~ expression
OLS Regression Results
| Dep. Variable: | AIM | R-squared: | 0.188 |
| Model: | OLS | Adj. R-squared: | 0.126 |
| Method: | Least Squares | F-statistic: | 3.012 |
| Date: | Sun, 09 Nov 2025 | Prob (F-statistic): | 0.106 |
| Time: | 19:49:22 | Log-Likelihood: | -73.737 |
| No. Observations: | 15 | AIC: | 151.5 |
| Df Residuals: | 13 | BIC: | 152.9 |
| Df Model: | 1 | | |
| coef | std err | t | P>|t| | [95.0% Conf. Int.] |
| Intercept | 162.6740 | 40.802 | 3.987 | 0.002 | 74.526 250.822 |
| expression | -19.4149 | 11.187 | -1.736 | 0.106 | -43.583 4.753 |
| Omnibus: | 2.773 | Durbin-Watson: | 2.028 |
| Prob(Omnibus): | 0.250 | Jarque-Bera (JB): | 1.383 |
| Skew: | 0.410 | Prob(JB): | 0.501 |
| Kurtosis: | 1.759 | Cond. No. | 17.4 |