AIM Score vs. Gene Expression
Full X range:
Auto X range:
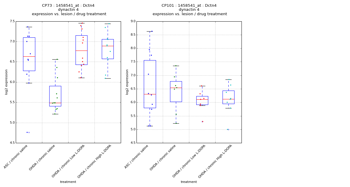
Group Comparisons: Boxplots
CP73
Model Comparison: AIM ~ expression + C(dose) vs AIM ~ C(dose)
| F-statistic | p-value | df difference |
| 0.176 | 0.679 | 1.0 |
Model:
AIM ~ expression + C(dose) + expression:C(dose)
OLS Regression Results
| Dep. Variable: | AIM | R-squared: | 0.652 |
| Model: | OLS | Adj. R-squared: | 0.597 |
| Method: | Least Squares | F-statistic: | 11.88 |
| Date: | Thu, 02 Apr 2026 | Prob (F-statistic): | 0.000131 |
| Time: | 18:43:49 | Log-Likelihood: | -100.96 |
| No. Observations: | 23 | AIC: | 209.9 |
| Df Residuals: | 19 | BIC: | 214.5 |
| Df Model: | 3 | | |
| coef | std err | t | P>|t| | [95.0% Conf. Int.] |
| Intercept | 88.9766 | 93.962 | 0.947 | 0.356 | -107.687 285.640 |
| C(dose)[T.1] | 39.7000 | 142.679 | 0.278 | 0.784 | -258.932 338.332 |
| expression | -5.1170 | 13.799 | -0.371 | 0.715 | -33.998 23.764 |
| expression:C(dose)[T.1] | 2.0128 | 20.935 | 0.096 | 0.924 | -41.805 45.831 |
| Omnibus: | 0.649 | Durbin-Watson: | 1.900 |
| Prob(Omnibus): | 0.723 | Jarque-Bera (JB): | 0.646 |
| Skew: | -0.052 | Prob(JB): | 0.724 |
| Kurtosis: | 2.185 | Cond. No. | 280. |
Model:
AIM ~ expression + C(dose)
OLS Regression Results
| Dep. Variable: | AIM | R-squared: | 0.652 |
| Model: | OLS | Adj. R-squared: | 0.617 |
| Method: | Least Squares | F-statistic: | 18.75 |
| Date: | Thu, 02 Apr 2026 | Prob (F-statistic): | 2.60e-05 |
| Time: | 18:43:49 | Log-Likelihood: | -100.96 |
| No. Observations: | 23 | AIC: | 207.9 |
| Df Residuals: | 20 | BIC: | 211.3 |
| Df Model: | 2 | | |
| coef | std err | t | P>|t| | [95.0% Conf. Int.] |
| Intercept | 83.0352 | 69.006 | 1.203 | 0.243 | -60.908 226.979 |
| C(dose)[T.1] | 53.3909 | 8.732 | 6.114 | 0.000 | 35.175 71.607 |
| expression | -4.2426 | 10.117 | -0.419 | 0.679 | -25.346 16.861 |
| Omnibus: | 0.600 | Durbin-Watson: | 1.890 |
| Prob(Omnibus): | 0.741 | Jarque-Bera (JB): | 0.623 |
| Skew: | -0.035 | Prob(JB): | 0.732 |
| Kurtosis: | 2.197 | Cond. No. | 110. |
Model:
AIM ~ C(dose)
OLS Regression Results
| Dep. Variable: | AIM | R-squared: | 0.649 |
| Model: | OLS | Adj. R-squared: | 0.632 |
| Method: | Least Squares | F-statistic: | 38.84 |
| Date: | Thu, 02 Apr 2026 | Prob (F-statistic): | 3.51e-06 |
| Time: | 18:43:49 | Log-Likelihood: | -101.06 |
| No. Observations: | 23 | AIC: | 206.1 |
| Df Residuals: | 21 | BIC: | 208.4 |
| Df Model: | 1 | | |
| coef | std err | t | P>|t| | [95.0% Conf. Int.] |
| Intercept | 54.2083 | 5.919 | 9.159 | 0.000 | 41.900 66.517 |
| C(dose)[T.1] | 53.3371 | 8.558 | 6.232 | 0.000 | 35.539 71.135 |
| Omnibus: | 0.322 | Durbin-Watson: | 1.888 |
| Prob(Omnibus): | 0.851 | Jarque-Bera (JB): | 0.485 |
| Skew: | 0.060 | Prob(JB): | 0.785 |
| Kurtosis: | 2.299 | Cond. No. | 2.57 |
Model:
AIM ~ expression
OLS Regression Results
| Dep. Variable: | AIM | R-squared: | 0.002 |
| Model: | OLS | Adj. R-squared: | -0.046 |
| Method: | Least Squares | F-statistic: | 0.03977 |
| Date: | Thu, 02 Apr 2026 | Prob (F-statistic): | 0.844 |
| Time: | 18:43:49 | Log-Likelihood: | -113.08 |
| No. Observations: | 23 | AIC: | 230.2 |
| Df Residuals: | 21 | BIC: | 232.4 |
| Df Model: | 1 | | |
| coef | std err | t | P>|t| | [95.0% Conf. Int.] |
| Intercept | 102.3951 | 113.947 | 0.899 | 0.379 | -134.572 339.362 |
| expression | -3.3346 | 16.722 | -0.199 | 0.844 | -38.109 31.440 |
| Omnibus: | 2.975 | Durbin-Watson: | 2.495 |
| Prob(Omnibus): | 0.226 | Jarque-Bera (JB): | 1.485 |
| Skew: | 0.278 | Prob(JB): | 0.476 |
| Kurtosis: | 1.886 | Cond. No. | 110. |
CP101
Model Comparison: AIM ~ expression + C(dose) vs AIM ~ C(dose)
| F-statistic | p-value | df difference |
| 0.304 | 0.592 | 1.0 |
Model:
AIM ~ expression + C(dose) + expression:C(dose)
OLS Regression Results
| Dep. Variable: | AIM | R-squared: | 0.561 |
| Model: | OLS | Adj. R-squared: | 0.442 |
| Method: | Least Squares | F-statistic: | 4.690 |
| Date: | Thu, 02 Apr 2026 | Prob (F-statistic): | 0.0241 |
| Time: | 18:43:49 | Log-Likelihood: | -69.122 |
| No. Observations: | 15 | AIC: | 146.2 |
| Df Residuals: | 11 | BIC: | 149.1 |
| Df Model: | 3 | | |
| coef | std err | t | P>|t| | [95.0% Conf. Int.] |
| Intercept | 234.2651 | 170.345 | 1.375 | 0.196 | -140.661 609.191 |
| C(dose)[T.1] | -274.8856 | 206.018 | -1.334 | 0.209 | -728.329 178.558 |
| expression | -27.6058 | 28.131 | -0.981 | 0.348 | -89.521 34.309 |
| expression:C(dose)[T.1] | 53.3323 | 33.882 | 1.574 | 0.144 | -21.243 127.907 |
| Omnibus: | 2.156 | Durbin-Watson: | 1.340 |
| Prob(Omnibus): | 0.340 | Jarque-Bera (JB): | 0.736 |
| Skew: | -0.514 | Prob(JB): | 0.692 |
| Kurtosis: | 3.349 | Cond. No. | 255. |
Model:
AIM ~ expression + C(dose)
OLS Regression Results
| Dep. Variable: | AIM | R-squared: | 0.462 |
| Model: | OLS | Adj. R-squared: | 0.373 |
| Method: | Least Squares | F-statistic: | 5.160 |
| Date: | Thu, 02 Apr 2026 | Prob (F-statistic): | 0.0241 |
| Time: | 18:43:49 | Log-Likelihood: | -70.646 |
| No. Observations: | 15 | AIC: | 147.3 |
| Df Residuals: | 12 | BIC: | 149.4 |
| Df Model: | 2 | | |
| coef | std err | t | P>|t| | [95.0% Conf. Int.] |
| Intercept | 12.0951 | 101.068 | 0.120 | 0.907 | -208.113 232.304 |
| C(dose)[T.1] | 48.5674 | 15.586 | 3.116 | 0.009 | 14.608 82.527 |
| expression | 9.1558 | 16.618 | 0.551 | 0.592 | -27.051 45.362 |
| Omnibus: | 3.379 | Durbin-Watson: | 0.921 |
| Prob(Omnibus): | 0.185 | Jarque-Bera (JB): | 2.096 |
| Skew: | -0.913 | Prob(JB): | 0.351 |
| Kurtosis: | 2.873 | Cond. No. | 81.9 |
Model:
AIM ~ C(dose)
OLS Regression Results
| Dep. Variable: | AIM | R-squared: | 0.449 |
| Model: | OLS | Adj. R-squared: | 0.406 |
| Method: | Least Squares | F-statistic: | 10.58 |
| Date: | Thu, 02 Apr 2026 | Prob (F-statistic): | 0.00629 |
| Time: | 18:43:49 | Log-Likelihood: | -70.833 |
| No. Observations: | 15 | AIC: | 145.7 |
| Df Residuals: | 13 | BIC: | 147.1 |
| Df Model: | 1 | | |
| coef | std err | t | P>|t| | [95.0% Conf. Int.] |
| Intercept | 67.4286 | 11.044 | 6.106 | 0.000 | 43.570 91.287 |
| C(dose)[T.1] | 49.1964 | 15.122 | 3.253 | 0.006 | 16.527 81.866 |
| Omnibus: | 2.713 | Durbin-Watson: | 0.810 |
| Prob(Omnibus): | 0.258 | Jarque-Bera (JB): | 1.868 |
| Skew: | -0.843 | Prob(JB): | 0.393 |
| Kurtosis: | 2.619 | Cond. No. | 2.70 |
Model:
AIM ~ expression
OLS Regression Results
| Dep. Variable: | AIM | R-squared: | 0.027 |
| Model: | OLS | Adj. R-squared: | -0.047 |
| Method: | Least Squares | F-statistic: | 0.3655 |
| Date: | Thu, 02 Apr 2026 | Prob (F-statistic): | 0.556 |
| Time: | 18:43:49 | Log-Likelihood: | -75.092 |
| No. Observations: | 15 | AIC: | 154.2 |
| Df Residuals: | 13 | BIC: | 155.6 |
| Df Model: | 1 | | |
| coef | std err | t | P>|t| | [95.0% Conf. Int.] |
| Intercept | 14.9375 | 130.603 | 0.114 | 0.911 | -267.213 297.088 |
| expression | 12.9485 | 21.417 | 0.605 | 0.556 | -33.320 59.217 |
| Omnibus: | 0.146 | Durbin-Watson: | 1.706 |
| Prob(Omnibus): | 0.929 | Jarque-Bera (JB): | 0.249 |
| Skew: | -0.188 | Prob(JB): | 0.883 |
| Kurtosis: | 2.492 | Cond. No. | 81.6 |