AIM Score vs. Gene Expression
Full X range:
Auto X range:
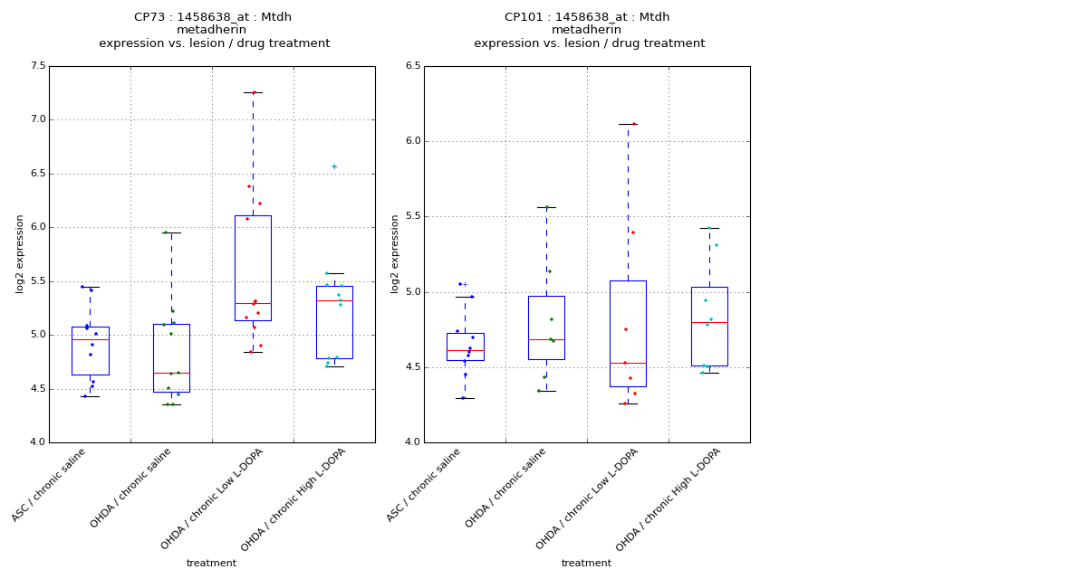
Group Comparisons: Boxplots
CP73
Model Comparison: AIM ~ expression + C(dose) vs AIM ~ C(dose)
| F-statistic | p-value | df difference |
| 0.023 | 0.881 | 1.0 |
Model:
AIM ~ expression + C(dose) + expression:C(dose)
OLS Regression Results
| Dep. Variable: | AIM | R-squared: | 0.651 |
| Model: | OLS | Adj. R-squared: | 0.596 |
| Method: | Least Squares | F-statistic: | 11.80 |
| Date: | Sun, 09 Nov 2025 | Prob (F-statistic): | 0.000136 |
| Time: | 19:50:07 | Log-Likelihood: | -101.01 |
| No. Observations: | 23 | AIC: | 210.0 |
| Df Residuals: | 19 | BIC: | 214.6 |
| Df Model: | 3 | | |
| coef | std err | t | P>|t| | [95.0% Conf. Int.] |
| Intercept | 40.5732 | 49.827 | 0.814 | 0.426 | -63.717 144.863 |
| C(dose)[T.1] | 75.9174 | 83.302 | 0.911 | 0.374 | -98.437 250.271 |
| expression | 2.4419 | 8.854 | 0.276 | 0.786 | -16.090 20.974 |
| expression:C(dose)[T.1] | -4.1373 | 15.394 | -0.269 | 0.791 | -36.358 28.083 |
| Omnibus: | 0.210 | Durbin-Watson: | 1.870 |
| Prob(Omnibus): | 0.900 | Jarque-Bera (JB): | 0.411 |
| Skew: | 0.086 | Prob(JB): | 0.814 |
| Kurtosis: | 2.368 | Cond. No. | 127. |
Model:
AIM ~ expression + C(dose)
OLS Regression Results
| Dep. Variable: | AIM | R-squared: | 0.649 |
| Model: | OLS | Adj. R-squared: | 0.614 |
| Method: | Least Squares | F-statistic: | 18.53 |
| Date: | Sun, 09 Nov 2025 | Prob (F-statistic): | 2.80e-05 |
| Time: | 19:50:08 | Log-Likelihood: | -101.05 |
| No. Observations: | 23 | AIC: | 208.1 |
| Df Residuals: | 20 | BIC: | 211.5 |
| Df Model: | 2 | | |
| coef | std err | t | P>|t| | [95.0% Conf. Int.] |
| Intercept | 48.2157 | 39.956 | 1.207 | 0.242 | -35.132 131.563 |
| C(dose)[T.1] | 53.6673 | 9.031 | 5.943 | 0.000 | 34.829 72.505 |
| expression | 1.0732 | 7.073 | 0.152 | 0.881 | -13.681 15.827 |
| Omnibus: | 0.356 | Durbin-Watson: | 1.890 |
| Prob(Omnibus): | 0.837 | Jarque-Bera (JB): | 0.506 |
| Skew: | 0.070 | Prob(JB): | 0.777 |
| Kurtosis: | 2.287 | Cond. No. | 51.9 |
Model:
AIM ~ C(dose)
OLS Regression Results
| Dep. Variable: | AIM | R-squared: | 0.649 |
| Model: | OLS | Adj. R-squared: | 0.632 |
| Method: | Least Squares | F-statistic: | 38.84 |
| Date: | Sun, 09 Nov 2025 | Prob (F-statistic): | 3.51e-06 |
| Time: | 19:50:08 | Log-Likelihood: | -101.06 |
| No. Observations: | 23 | AIC: | 206.1 |
| Df Residuals: | 21 | BIC: | 208.4 |
| Df Model: | 1 | | |
| coef | std err | t | P>|t| | [95.0% Conf. Int.] |
| Intercept | 54.2083 | 5.919 | 9.159 | 0.000 | 41.900 66.517 |
| C(dose)[T.1] | 53.3371 | 8.558 | 6.232 | 0.000 | 35.539 71.135 |
| Omnibus: | 0.322 | Durbin-Watson: | 1.888 |
| Prob(Omnibus): | 0.851 | Jarque-Bera (JB): | 0.485 |
| Skew: | 0.060 | Prob(JB): | 0.785 |
| Kurtosis: | 2.299 | Cond. No. | 2.57 |
Model:
AIM ~ expression
OLS Regression Results
| Dep. Variable: | AIM | R-squared: | 0.030 |
| Model: | OLS | Adj. R-squared: | -0.016 |
| Method: | Least Squares | F-statistic: | 0.6604 |
| Date: | Sun, 09 Nov 2025 | Prob (F-statistic): | 0.426 |
| Time: | 19:50:08 | Log-Likelihood: | -112.75 |
| No. Observations: | 23 | AIC: | 229.5 |
| Df Residuals: | 21 | BIC: | 231.8 |
| Df Model: | 1 | | |
| coef | std err | t | P>|t| | [95.0% Conf. Int.] |
| Intercept | 128.9393 | 60.986 | 2.114 | 0.047 | 2.112 255.767 |
| expression | -9.0538 | 11.141 | -0.813 | 0.426 | -32.223 14.116 |
| Omnibus: | 2.066 | Durbin-Watson: | 2.354 |
| Prob(Omnibus): | 0.356 | Jarque-Bera (JB): | 1.172 |
| Skew: | 0.194 | Prob(JB): | 0.557 |
| Kurtosis: | 1.964 | Cond. No. | 48.5 |
CP101
Model Comparison: AIM ~ expression + C(dose) vs AIM ~ C(dose)
| F-statistic | p-value | df difference |
| 0.207 | 0.657 | 1.0 |
Model:
AIM ~ expression + C(dose) + expression:C(dose)
OLS Regression Results
| Dep. Variable: | AIM | R-squared: | 0.505 |
| Model: | OLS | Adj. R-squared: | 0.370 |
| Method: | Least Squares | F-statistic: | 3.740 |
| Date: | Sun, 09 Nov 2025 | Prob (F-statistic): | 0.0449 |
| Time: | 19:50:08 | Log-Likelihood: | -70.027 |
| No. Observations: | 15 | AIC: | 148.1 |
| Df Residuals: | 11 | BIC: | 150.9 |
| Df Model: | 3 | | |
| coef | std err | t | P>|t| | [95.0% Conf. Int.] |
| Intercept | 57.5160 | 87.372 | 0.658 | 0.524 | -134.789 249.821 |
| C(dose)[T.1] | 226.6587 | 174.549 | 1.299 | 0.221 | -157.521 610.838 |
| expression | 2.0531 | 17.943 | 0.114 | 0.911 | -37.439 41.545 |
| expression:C(dose)[T.1] | -36.6395 | 35.918 | -1.020 | 0.330 | -115.694 42.415 |
| Omnibus: | 0.177 | Durbin-Watson: | 1.119 |
| Prob(Omnibus): | 0.915 | Jarque-Bera (JB): | 0.048 |
| Skew: | -0.065 | Prob(JB): | 0.976 |
| Kurtosis: | 2.754 | Cond. No. | 137. |
Model:
AIM ~ expression + C(dose)
OLS Regression Results
| Dep. Variable: | AIM | R-squared: | 0.458 |
| Model: | OLS | Adj. R-squared: | 0.368 |
| Method: | Least Squares | F-statistic: | 5.073 |
| Date: | Sun, 09 Nov 2025 | Prob (F-statistic): | 0.0253 |
| Time: | 19:50:08 | Log-Likelihood: | -70.704 |
| No. Observations: | 15 | AIC: | 147.4 |
| Df Residuals: | 12 | BIC: | 149.5 |
| Df Model: | 2 | | |
| coef | std err | t | P>|t| | [95.0% Conf. Int.] |
| Intercept | 101.6614 | 76.030 | 1.337 | 0.206 | -63.994 267.317 |
| C(dose)[T.1] | 49.3125 | 15.607 | 3.160 | 0.008 | 15.307 83.318 |
| expression | -7.0905 | 15.570 | -0.455 | 0.657 | -41.014 26.833 |
| Omnibus: | 2.426 | Durbin-Watson: | 0.813 |
| Prob(Omnibus): | 0.297 | Jarque-Bera (JB): | 1.718 |
| Skew: | -0.798 | Prob(JB): | 0.424 |
| Kurtosis: | 2.554 | Cond. No. | 49.7 |
Model:
AIM ~ C(dose)
OLS Regression Results
| Dep. Variable: | AIM | R-squared: | 0.449 |
| Model: | OLS | Adj. R-squared: | 0.406 |
| Method: | Least Squares | F-statistic: | 10.58 |
| Date: | Sun, 09 Nov 2025 | Prob (F-statistic): | 0.00629 |
| Time: | 19:50:08 | Log-Likelihood: | -70.833 |
| No. Observations: | 15 | AIC: | 145.7 |
| Df Residuals: | 13 | BIC: | 147.1 |
| Df Model: | 1 | | |
| coef | std err | t | P>|t| | [95.0% Conf. Int.] |
| Intercept | 67.4286 | 11.044 | 6.106 | 0.000 | 43.570 91.287 |
| C(dose)[T.1] | 49.1964 | 15.122 | 3.253 | 0.006 | 16.527 81.866 |
| Omnibus: | 2.713 | Durbin-Watson: | 0.810 |
| Prob(Omnibus): | 0.258 | Jarque-Bera (JB): | 1.868 |
| Skew: | -0.843 | Prob(JB): | 0.393 |
| Kurtosis: | 2.619 | Cond. No. | 2.70 |
Model:
AIM ~ expression
OLS Regression Results
| Dep. Variable: | AIM | R-squared: | 0.007 |
| Model: | OLS | Adj. R-squared: | -0.069 |
| Method: | Least Squares | F-statistic: | 0.09644 |
| Date: | Sun, 09 Nov 2025 | Prob (F-statistic): | 0.761 |
| Time: | 19:50:08 | Log-Likelihood: | -75.245 |
| No. Observations: | 15 | AIC: | 154.5 |
| Df Residuals: | 13 | BIC: | 155.9 |
| Df Model: | 1 | | |
| coef | std err | t | P>|t| | [95.0% Conf. Int.] |
| Intercept | 124.0747 | 98.437 | 1.260 | 0.230 | -88.585 336.734 |
| expression | -6.2869 | 20.244 | -0.311 | 0.761 | -50.021 37.448 |
| Omnibus: | 0.151 | Durbin-Watson: | 1.612 |
| Prob(Omnibus): | 0.927 | Jarque-Bera (JB): | 0.364 |
| Skew: | 0.015 | Prob(JB): | 0.833 |
| Kurtosis: | 2.237 | Cond. No. | 49.3 |