AIM Score vs. Gene Expression
Full X range:
Auto X range:
Group Comparisons: Boxplots
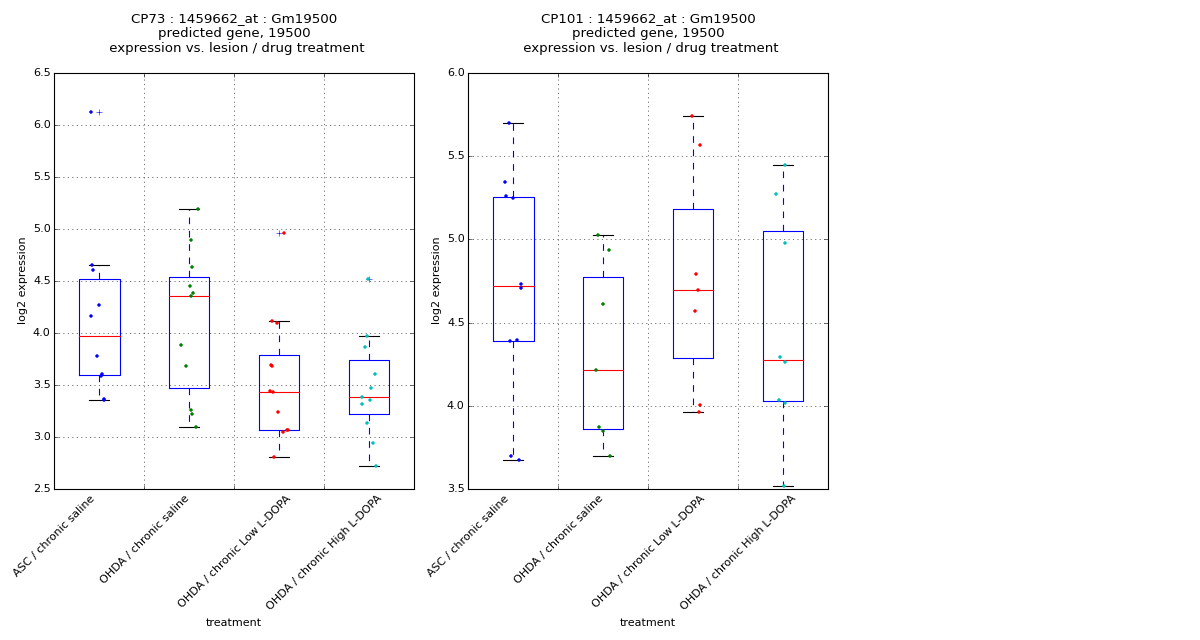
CP73
Model Comparison: AIM ~ expression + C(dose) vs AIM ~ C(dose)
| F-statistic | p-value | df difference |
| 0.235 | 0.633 | 1.0 |
Model:
AIM ~ expression + C(dose) + expression:C(dose)
OLS Regression Results
| Dep. Variable: | AIM | R-squared: | 0.711 |
| Model: | OLS | Adj. R-squared: | 0.666 |
| Method: | Least Squares | F-statistic: | 15.61 |
| Date: | Sun, 09 Nov 2025 | Prob (F-statistic): | 2.32e-05 |
| Time: | 19:44:18 | Log-Likelihood: | -98.817 |
| No. Observations: | 23 | AIC: | 205.6 |
| Df Residuals: | 19 | BIC: | 210.2 |
| Df Model: | 3 | | |
| coef | std err | t | P>|t| | [95.0% Conf. Int.] |
| Intercept | 81.9609 | 34.989 | 2.342 | 0.030 | 8.728 155.194 |
| C(dose)[T.1] | -54.1816 | 55.696 | -0.973 | 0.343 | -170.754 62.391 |
| expression | -7.8085 | 9.716 | -0.804 | 0.432 | -28.144 12.527 |
| expression:C(dose)[T.1] | 30.7269 | 15.702 | 1.957 | 0.065 | -2.137 63.591 |
| Omnibus: | 2.108 | Durbin-Watson: | 1.448 |
| Prob(Omnibus): | 0.349 | Jarque-Bera (JB): | 1.358 |
| Skew: | 0.333 | Prob(JB): | 0.507 |
| Kurtosis: | 2.013 | Cond. No. | 64.6 |
Model:
AIM ~ expression + C(dose)
OLS Regression Results
| Dep. Variable: | AIM | R-squared: | 0.653 |
| Model: | OLS | Adj. R-squared: | 0.618 |
| Method: | Least Squares | F-statistic: | 18.83 |
| Date: | Sun, 09 Nov 2025 | Prob (F-statistic): | 2.52e-05 |
| Time: | 19:44:19 | Log-Likelihood: | -100.93 |
| No. Observations: | 23 | AIC: | 207.9 |
| Df Residuals: | 20 | BIC: | 211.3 |
| Df Model: | 2 | | |
| coef | std err | t | P>|t| | [95.0% Conf. Int.] |
| Intercept | 40.1476 | 29.603 | 1.356 | 0.190 | -21.602 101.898 |
| C(dose)[T.1] | 53.6286 | 8.739 | 6.136 | 0.000 | 35.399 71.859 |
| expression | 3.9562 | 8.154 | 0.485 | 0.633 | -13.054 20.966 |
| Omnibus: | 0.307 | Durbin-Watson: | 2.009 |
| Prob(Omnibus): | 0.858 | Jarque-Bera (JB): | 0.479 |
| Skew: | 0.135 | Prob(JB): | 0.787 |
| Kurtosis: | 2.346 | Cond. No. | 26.3 |
Model:
AIM ~ C(dose)
OLS Regression Results
| Dep. Variable: | AIM | R-squared: | 0.649 |
| Model: | OLS | Adj. R-squared: | 0.632 |
| Method: | Least Squares | F-statistic: | 38.84 |
| Date: | Sun, 09 Nov 2025 | Prob (F-statistic): | 3.51e-06 |
| Time: | 19:44:19 | Log-Likelihood: | -101.06 |
| No. Observations: | 23 | AIC: | 206.1 |
| Df Residuals: | 21 | BIC: | 208.4 |
| Df Model: | 1 | | |
| coef | std err | t | P>|t| | [95.0% Conf. Int.] |
| Intercept | 54.2083 | 5.919 | 9.159 | 0.000 | 41.900 66.517 |
| C(dose)[T.1] | 53.3371 | 8.558 | 6.232 | 0.000 | 35.539 71.135 |
| Omnibus: | 0.322 | Durbin-Watson: | 1.888 |
| Prob(Omnibus): | 0.851 | Jarque-Bera (JB): | 0.485 |
| Skew: | 0.060 | Prob(JB): | 0.785 |
| Kurtosis: | 2.299 | Cond. No. | 2.57 |
Model:
AIM ~ expression
OLS Regression Results
| Dep. Variable: | AIM | R-squared: | 0.000 |
| Model: | OLS | Adj. R-squared: | -0.048 |
| Method: | Least Squares | F-statistic: | 0.001467 |
| Date: | Sun, 09 Nov 2025 | Prob (F-statistic): | 0.970 |
| Time: | 19:44:19 | Log-Likelihood: | -113.10 |
| No. Observations: | 23 | AIC: | 230.2 |
| Df Residuals: | 21 | BIC: | 232.5 |
| Df Model: | 1 | | |
| coef | std err | t | P>|t| | [95.0% Conf. Int.] |
| Intercept | 77.9009 | 47.979 | 1.624 | 0.119 | -21.878 177.679 |
| expression | 0.5162 | 13.480 | 0.038 | 0.970 | -27.516 28.549 |
| Omnibus: | 3.295 | Durbin-Watson: | 2.493 |
| Prob(Omnibus): | 0.193 | Jarque-Bera (JB): | 1.557 |
| Skew: | 0.282 | Prob(JB): | 0.459 |
| Kurtosis: | 1.857 | Cond. No. | 25.5 |
CP101
Model Comparison: AIM ~ expression + C(dose) vs AIM ~ C(dose)
| F-statistic | p-value | df difference |
| 0.167 | 0.690 | 1.0 |
Model:
AIM ~ expression + C(dose) + expression:C(dose)
OLS Regression Results
| Dep. Variable: | AIM | R-squared: | 0.603 |
| Model: | OLS | Adj. R-squared: | 0.495 |
| Method: | Least Squares | F-statistic: | 5.573 |
| Date: | Sun, 09 Nov 2025 | Prob (F-statistic): | 0.0142 |
| Time: | 19:44:19 | Log-Likelihood: | -68.368 |
| No. Observations: | 15 | AIC: | 144.7 |
| Df Residuals: | 11 | BIC: | 147.6 |
| Df Model: | 3 | | |
| coef | std err | t | P>|t| | [95.0% Conf. Int.] |
| Intercept | 155.2243 | 76.669 | 2.025 | 0.068 | -13.522 323.971 |
| C(dose)[T.1] | -153.9787 | 102.414 | -1.503 | 0.161 | -379.390 71.433 |
| expression | -18.4334 | 15.954 | -1.155 | 0.272 | -53.549 16.682 |
| expression:C(dose)[T.1] | 44.2030 | 21.909 | 2.018 | 0.069 | -4.018 92.424 |
| Omnibus: | 2.496 | Durbin-Watson: | 1.006 |
| Prob(Omnibus): | 0.287 | Jarque-Bera (JB): | 0.737 |
| Skew: | -0.435 | Prob(JB): | 0.692 |
| Kurtosis: | 3.650 | Cond. No. | 96.5 |
Model:
AIM ~ expression + C(dose)
OLS Regression Results
| Dep. Variable: | AIM | R-squared: | 0.456 |
| Model: | OLS | Adj. R-squared: | 0.366 |
| Method: | Least Squares | F-statistic: | 5.036 |
| Date: | Sun, 09 Nov 2025 | Prob (F-statistic): | 0.0258 |
| Time: | 19:44:19 | Log-Likelihood: | -70.729 |
| No. Observations: | 15 | AIC: | 147.5 |
| Df Residuals: | 12 | BIC: | 149.6 |
| Df Model: | 2 | | |
| coef | std err | t | P>|t| | [95.0% Conf. Int.] |
| Intercept | 43.5799 | 59.469 | 0.733 | 0.478 | -85.992 173.152 |
| C(dose)[T.1] | 50.6261 | 16.018 | 3.161 | 0.008 | 15.726 85.526 |
| expression | 5.0072 | 12.254 | 0.409 | 0.690 | -21.691 31.706 |
| Omnibus: | 3.152 | Durbin-Watson: | 0.934 |
| Prob(Omnibus): | 0.207 | Jarque-Bera (JB): | 1.970 |
| Skew: | -0.884 | Prob(JB): | 0.373 |
| Kurtosis: | 2.834 | Cond. No. | 37.4 |
Model:
AIM ~ C(dose)
OLS Regression Results
| Dep. Variable: | AIM | R-squared: | 0.449 |
| Model: | OLS | Adj. R-squared: | 0.406 |
| Method: | Least Squares | F-statistic: | 10.58 |
| Date: | Sun, 09 Nov 2025 | Prob (F-statistic): | 0.00629 |
| Time: | 19:44:19 | Log-Likelihood: | -70.833 |
| No. Observations: | 15 | AIC: | 145.7 |
| Df Residuals: | 13 | BIC: | 147.1 |
| Df Model: | 1 | | |
| coef | std err | t | P>|t| | [95.0% Conf. Int.] |
| Intercept | 67.4286 | 11.044 | 6.106 | 0.000 | 43.570 91.287 |
| C(dose)[T.1] | 49.1964 | 15.122 | 3.253 | 0.006 | 16.527 81.866 |
| Omnibus: | 2.713 | Durbin-Watson: | 0.810 |
| Prob(Omnibus): | 0.258 | Jarque-Bera (JB): | 1.868 |
| Skew: | -0.843 | Prob(JB): | 0.393 |
| Kurtosis: | 2.619 | Cond. No. | 2.70 |
Model:
AIM ~ expression
OLS Regression Results
| Dep. Variable: | AIM | R-squared: | 0.004 |
| Model: | OLS | Adj. R-squared: | -0.073 |
| Method: | Least Squares | F-statistic: | 0.04928 |
| Date: | Sun, 09 Nov 2025 | Prob (F-statistic): | 0.828 |
| Time: | 19:44:19 | Log-Likelihood: | -75.272 |
| No. Observations: | 15 | AIC: | 154.5 |
| Df Residuals: | 13 | BIC: | 156.0 |
| Df Model: | 1 | | |
| coef | std err | t | P>|t| | [95.0% Conf. Int.] |
| Intercept | 109.5838 | 72.418 | 1.513 | 0.154 | -46.865 266.032 |
| expression | -3.4523 | 15.552 | -0.222 | 0.828 | -37.050 30.146 |
| Omnibus: | 1.123 | Durbin-Watson: | 1.569 |
| Prob(Omnibus): | 0.570 | Jarque-Bera (JB): | 0.766 |
| Skew: | 0.136 | Prob(JB): | 0.682 |
| Kurtosis: | 1.926 | Cond. No. | 34.8 |