AIM Score vs. Gene Expression
Full X range:
Auto X range:
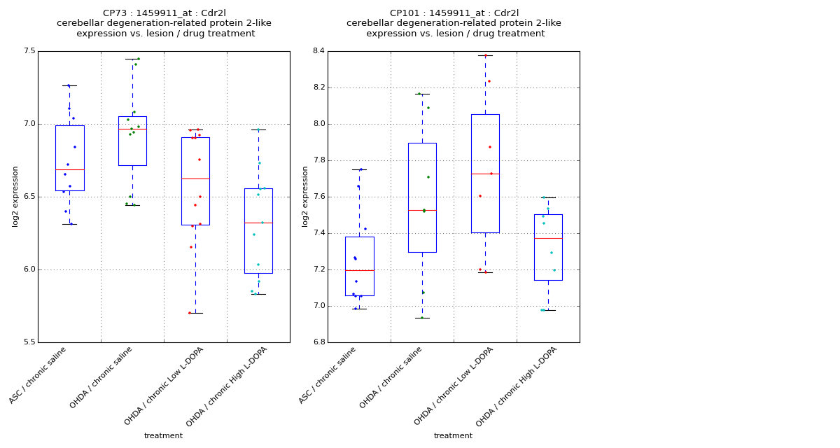
Group Comparisons: Boxplots
CP73
Model Comparison: AIM ~ expression + C(dose) vs AIM ~ C(dose)
| F-statistic | p-value | df difference |
| 0.801 | 0.382 | 1.0 |
Model:
AIM ~ expression + C(dose) + expression:C(dose)
OLS Regression Results
| Dep. Variable: | AIM | R-squared: | 0.663 |
| Model: | OLS | Adj. R-squared: | 0.609 |
| Method: | Least Squares | F-statistic: | 12.44 |
| Date: | Wed, 26 Nov 2025 | Prob (F-statistic): | 9.92e-05 |
| Time: | 03:06:04 | Log-Likelihood: | -100.61 |
| No. Observations: | 23 | AIC: | 209.2 |
| Df Residuals: | 19 | BIC: | 213.8 |
| Df Model: | 3 | | |
| coef | std err | t | P>|t| | [95.0% Conf. Int.] |
| Intercept | 122.0214 | 104.472 | 1.168 | 0.257 | -96.641 340.684 |
| C(dose)[T.1] | 50.3418 | 152.954 | 0.329 | 0.746 | -269.795 370.478 |
| expression | -10.3270 | 15.883 | -0.650 | 0.523 | -43.570 22.915 |
| expression:C(dose)[T.1] | 0.0695 | 23.744 | 0.003 | 0.998 | -49.628 49.767 |
| Omnibus: | 0.972 | Durbin-Watson: | 1.988 |
| Prob(Omnibus): | 0.615 | Jarque-Bera (JB): | 0.835 |
| Skew: | 0.197 | Prob(JB): | 0.659 |
| Kurtosis: | 2.154 | Cond. No. | 291. |
Model:
AIM ~ expression + C(dose)
OLS Regression Results
| Dep. Variable: | AIM | R-squared: | 0.663 |
| Model: | OLS | Adj. R-squared: | 0.629 |
| Method: | Least Squares | F-statistic: | 19.64 |
| Date: | Wed, 26 Nov 2025 | Prob (F-statistic): | 1.91e-05 |
| Time: | 03:06:04 | Log-Likelihood: | -100.61 |
| No. Observations: | 23 | AIC: | 207.2 |
| Df Residuals: | 20 | BIC: | 210.6 |
| Df Model: | 2 | | |
| coef | std err | t | P>|t| | [95.0% Conf. Int.] |
| Intercept | 121.8171 | 75.798 | 1.607 | 0.124 | -36.294 279.929 |
| C(dose)[T.1] | 50.7888 | 9.059 | 5.607 | 0.000 | 31.892 69.685 |
| expression | -10.2959 | 11.507 | -0.895 | 0.382 | -34.300 13.708 |
| Omnibus: | 0.977 | Durbin-Watson: | 1.987 |
| Prob(Omnibus): | 0.613 | Jarque-Bera (JB): | 0.838 |
| Skew: | 0.198 | Prob(JB): | 0.658 |
| Kurtosis: | 2.153 | Cond. No. | 117. |
Model:
AIM ~ C(dose)
OLS Regression Results
| Dep. Variable: | AIM | R-squared: | 0.649 |
| Model: | OLS | Adj. R-squared: | 0.632 |
| Method: | Least Squares | F-statistic: | 38.84 |
| Date: | Wed, 26 Nov 2025 | Prob (F-statistic): | 3.51e-06 |
| Time: | 03:06:04 | Log-Likelihood: | -101.06 |
| No. Observations: | 23 | AIC: | 206.1 |
| Df Residuals: | 21 | BIC: | 208.4 |
| Df Model: | 1 | | |
| coef | std err | t | P>|t| | [95.0% Conf. Int.] |
| Intercept | 54.2083 | 5.919 | 9.159 | 0.000 | 41.900 66.517 |
| C(dose)[T.1] | 53.3371 | 8.558 | 6.232 | 0.000 | 35.539 71.135 |
| Omnibus: | 0.322 | Durbin-Watson: | 1.888 |
| Prob(Omnibus): | 0.851 | Jarque-Bera (JB): | 0.485 |
| Skew: | 0.060 | Prob(JB): | 0.785 |
| Kurtosis: | 2.299 | Cond. No. | 2.57 |
Model:
AIM ~ expression
OLS Regression Results
| Dep. Variable: | AIM | R-squared: | 0.132 |
| Model: | OLS | Adj. R-squared: | 0.091 |
| Method: | Least Squares | F-statistic: | 3.200 |
| Date: | Wed, 26 Nov 2025 | Prob (F-statistic): | 0.0881 |
| Time: | 03:06:04 | Log-Likelihood: | -111.47 |
| No. Observations: | 23 | AIC: | 226.9 |
| Df Residuals: | 21 | BIC: | 229.2 |
| Df Model: | 1 | | |
| coef | std err | t | P>|t| | [95.0% Conf. Int.] |
| Intercept | 276.9069 | 110.442 | 2.507 | 0.020 | 47.231 506.583 |
| expression | -30.5805 | 17.096 | -1.789 | 0.088 | -66.133 4.972 |
| Omnibus: | 0.621 | Durbin-Watson: | 2.446 |
| Prob(Omnibus): | 0.733 | Jarque-Bera (JB): | 0.569 |
| Skew: | 0.337 | Prob(JB): | 0.752 |
| Kurtosis: | 2.625 | Cond. No. | 109. |
CP101
Model Comparison: AIM ~ expression + C(dose) vs AIM ~ C(dose)
| F-statistic | p-value | df difference |
| 0.135 | 0.720 | 1.0 |
Model:
AIM ~ expression + C(dose) + expression:C(dose)
OLS Regression Results
| Dep. Variable: | AIM | R-squared: | 0.509 |
| Model: | OLS | Adj. R-squared: | 0.376 |
| Method: | Least Squares | F-statistic: | 3.808 |
| Date: | Wed, 26 Nov 2025 | Prob (F-statistic): | 0.0429 |
| Time: | 03:06:04 | Log-Likelihood: | -69.958 |
| No. Observations: | 15 | AIC: | 147.9 |
| Df Residuals: | 11 | BIC: | 150.7 |
| Df Model: | 3 | | |
| coef | std err | t | P>|t| | [95.0% Conf. Int.] |
| Intercept | 245.9290 | 205.138 | 1.199 | 0.256 | -205.577 697.435 |
| C(dose)[T.1] | -391.0558 | 395.090 | -0.990 | 0.344 | -1260.643 478.532 |
| expression | -23.0572 | 26.458 | -0.871 | 0.402 | -81.290 35.176 |
| expression:C(dose)[T.1] | 58.8395 | 53.184 | 1.106 | 0.292 | -58.219 175.898 |
| Omnibus: | 0.440 | Durbin-Watson: | 1.361 |
| Prob(Omnibus): | 0.803 | Jarque-Bera (JB): | 0.542 |
| Skew: | -0.229 | Prob(JB): | 0.763 |
| Kurtosis: | 2.190 | Cond. No. | 468. |
Model:
AIM ~ expression + C(dose)
OLS Regression Results
| Dep. Variable: | AIM | R-squared: | 0.455 |
| Model: | OLS | Adj. R-squared: | 0.364 |
| Method: | Least Squares | F-statistic: | 5.007 |
| Date: | Wed, 26 Nov 2025 | Prob (F-statistic): | 0.0262 |
| Time: | 03:06:04 | Log-Likelihood: | -70.749 |
| No. Observations: | 15 | AIC: | 147.5 |
| Df Residuals: | 12 | BIC: | 149.6 |
| Df Model: | 2 | | |
| coef | std err | t | P>|t| | [95.0% Conf. Int.] |
| Intercept | 133.2002 | 179.696 | 0.741 | 0.473 | -258.325 524.725 |
| C(dose)[T.1] | 45.5729 | 18.509 | 2.462 | 0.030 | 5.244 85.902 |
| expression | -8.4958 | 23.165 | -0.367 | 0.720 | -58.967 41.976 |
| Omnibus: | 2.993 | Durbin-Watson: | 0.815 |
| Prob(Omnibus): | 0.224 | Jarque-Bera (JB): | 1.897 |
| Skew: | -0.865 | Prob(JB): | 0.387 |
| Kurtosis: | 2.793 | Cond. No. | 177. |
Model:
AIM ~ C(dose)
OLS Regression Results
| Dep. Variable: | AIM | R-squared: | 0.449 |
| Model: | OLS | Adj. R-squared: | 0.406 |
| Method: | Least Squares | F-statistic: | 10.58 |
| Date: | Wed, 26 Nov 2025 | Prob (F-statistic): | 0.00629 |
| Time: | 03:06:04 | Log-Likelihood: | -70.833 |
| No. Observations: | 15 | AIC: | 145.7 |
| Df Residuals: | 13 | BIC: | 147.1 |
| Df Model: | 1 | | |
| coef | std err | t | P>|t| | [95.0% Conf. Int.] |
| Intercept | 67.4286 | 11.044 | 6.106 | 0.000 | 43.570 91.287 |
| C(dose)[T.1] | 49.1964 | 15.122 | 3.253 | 0.006 | 16.527 81.866 |
| Omnibus: | 2.713 | Durbin-Watson: | 0.810 |
| Prob(Omnibus): | 0.258 | Jarque-Bera (JB): | 1.868 |
| Skew: | -0.843 | Prob(JB): | 0.393 |
| Kurtosis: | 2.619 | Cond. No. | 2.70 |
Model:
AIM ~ expression
OLS Regression Results
| Dep. Variable: | AIM | R-squared: | 0.180 |
| Model: | OLS | Adj. R-squared: | 0.116 |
| Method: | Least Squares | F-statistic: | 2.844 |
| Date: | Wed, 26 Nov 2025 | Prob (F-statistic): | 0.116 |
| Time: | 03:06:04 | Log-Likelihood: | -73.816 |
| No. Observations: | 15 | AIC: | 151.6 |
| Df Residuals: | 13 | BIC: | 153.0 |
| Df Model: | 1 | | |
| coef | std err | t | P>|t| | [95.0% Conf. Int.] |
| Intercept | 386.2630 | 173.744 | 2.223 | 0.045 | 10.912 761.614 |
| expression | -38.9393 | 23.090 | -1.686 | 0.116 | -88.822 10.943 |
| Omnibus: | 1.784 | Durbin-Watson: | 1.546 |
| Prob(Omnibus): | 0.410 | Jarque-Bera (JB): | 0.901 |
| Skew: | -0.027 | Prob(JB): | 0.637 |
| Kurtosis: | 1.801 | Cond. No. | 145. |