AIM Score vs. Gene Expression
Full X range:
Auto X range:
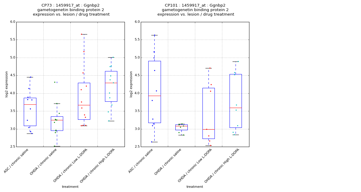
Group Comparisons: Boxplots
CP73
Model Comparison: AIM ~ expression + C(dose) vs AIM ~ C(dose)
| F-statistic | p-value | df difference |
| 0.007 | 0.936 | 1.0 |
Model:
AIM ~ expression + C(dose) + expression:C(dose)
OLS Regression Results
| Dep. Variable: | AIM | R-squared: | 0.655 |
| Model: | OLS | Adj. R-squared: | 0.600 |
| Method: | Least Squares | F-statistic: | 12.02 |
| Date: | Sun, 09 Nov 2025 | Prob (F-statistic): | 0.000122 |
| Time: | 19:52:00 | Log-Likelihood: | -100.87 |
| No. Observations: | 23 | AIC: | 209.7 |
| Df Residuals: | 19 | BIC: | 214.3 |
| Df Model: | 3 | | |
| coef | std err | t | P>|t| | [95.0% Conf. Int.] |
| Intercept | 43.1051 | 30.455 | 1.415 | 0.173 | -20.638 106.848 |
| C(dose)[T.1] | 85.5913 | 58.280 | 1.469 | 0.158 | -36.390 207.572 |
| expression | 2.8340 | 7.612 | 0.372 | 0.714 | -13.098 18.766 |
| expression:C(dose)[T.1] | -7.9005 | 14.044 | -0.563 | 0.580 | -37.295 21.494 |
| Omnibus: | 0.364 | Durbin-Watson: | 1.978 |
| Prob(Omnibus): | 0.834 | Jarque-Bera (JB): | 0.516 |
| Skew: | -0.121 | Prob(JB): | 0.773 |
| Kurtosis: | 2.308 | Cond. No. | 67.9 |
Model:
AIM ~ expression + C(dose)
OLS Regression Results
| Dep. Variable: | AIM | R-squared: | 0.649 |
| Model: | OLS | Adj. R-squared: | 0.614 |
| Method: | Least Squares | F-statistic: | 18.50 |
| Date: | Sun, 09 Nov 2025 | Prob (F-statistic): | 2.82e-05 |
| Time: | 19:52:00 | Log-Likelihood: | -101.06 |
| No. Observations: | 23 | AIC: | 208.1 |
| Df Residuals: | 20 | BIC: | 211.5 |
| Df Model: | 2 | | |
| coef | std err | t | P>|t| | [95.0% Conf. Int.] |
| Intercept | 52.1988 | 25.366 | 2.058 | 0.053 | -0.714 105.111 |
| C(dose)[T.1] | 53.2054 | 8.916 | 5.968 | 0.000 | 34.607 71.803 |
| expression | 0.5129 | 6.287 | 0.082 | 0.936 | -12.601 13.627 |
| Omnibus: | 0.391 | Durbin-Watson: | 1.913 |
| Prob(Omnibus): | 0.822 | Jarque-Bera (JB): | 0.523 |
| Skew: | 0.052 | Prob(JB): | 0.770 |
| Kurtosis: | 2.268 | Cond. No. | 25.3 |
Model:
AIM ~ C(dose)
OLS Regression Results
| Dep. Variable: | AIM | R-squared: | 0.649 |
| Model: | OLS | Adj. R-squared: | 0.632 |
| Method: | Least Squares | F-statistic: | 38.84 |
| Date: | Sun, 09 Nov 2025 | Prob (F-statistic): | 3.51e-06 |
| Time: | 19:52:00 | Log-Likelihood: | -101.06 |
| No. Observations: | 23 | AIC: | 206.1 |
| Df Residuals: | 21 | BIC: | 208.4 |
| Df Model: | 1 | | |
| coef | std err | t | P>|t| | [95.0% Conf. Int.] |
| Intercept | 54.2083 | 5.919 | 9.159 | 0.000 | 41.900 66.517 |
| C(dose)[T.1] | 53.3371 | 8.558 | 6.232 | 0.000 | 35.539 71.135 |
| Omnibus: | 0.322 | Durbin-Watson: | 1.888 |
| Prob(Omnibus): | 0.851 | Jarque-Bera (JB): | 0.485 |
| Skew: | 0.060 | Prob(JB): | 0.785 |
| Kurtosis: | 2.299 | Cond. No. | 2.57 |
Model:
AIM ~ expression
OLS Regression Results
| Dep. Variable: | AIM | R-squared: | 0.024 |
| Model: | OLS | Adj. R-squared: | -0.022 |
| Method: | Least Squares | F-statistic: | 0.5273 |
| Date: | Sun, 09 Nov 2025 | Prob (F-statistic): | 0.476 |
| Time: | 19:52:01 | Log-Likelihood: | -112.82 |
| No. Observations: | 23 | AIC: | 229.6 |
| Df Residuals: | 21 | BIC: | 231.9 |
| Df Model: | 1 | | |
| coef | std err | t | P>|t| | [95.0% Conf. Int.] |
| Intercept | 50.1955 | 41.275 | 1.216 | 0.237 | -35.641 136.032 |
| expression | 7.3061 | 10.061 | 0.726 | 0.476 | -13.618 28.230 |
| Omnibus: | 1.457 | Durbin-Watson: | 2.655 |
| Prob(Omnibus): | 0.483 | Jarque-Bera (JB): | 1.098 |
| Skew: | 0.291 | Prob(JB): | 0.578 |
| Kurtosis: | 2.101 | Cond. No. | 25.1 |
CP101
Model Comparison: AIM ~ expression + C(dose) vs AIM ~ C(dose)
| F-statistic | p-value | df difference |
| 0.210 | 0.655 | 1.0 |
Model:
AIM ~ expression + C(dose) + expression:C(dose)
OLS Regression Results
| Dep. Variable: | AIM | R-squared: | 0.479 |
| Model: | OLS | Adj. R-squared: | 0.337 |
| Method: | Least Squares | F-statistic: | 3.374 |
| Date: | Sun, 09 Nov 2025 | Prob (F-statistic): | 0.0582 |
| Time: | 19:52:01 | Log-Likelihood: | -70.407 |
| No. Observations: | 15 | AIC: | 148.8 |
| Df Residuals: | 11 | BIC: | 151.6 |
| Df Model: | 3 | | |
| coef | std err | t | P>|t| | [95.0% Conf. Int.] |
| Intercept | 28.8093 | 50.455 | 0.571 | 0.579 | -82.241 139.860 |
| C(dose)[T.1] | 96.2219 | 74.635 | 1.289 | 0.224 | -68.048 260.492 |
| expression | 11.2744 | 14.330 | 0.787 | 0.448 | -20.266 42.815 |
| expression:C(dose)[T.1] | -13.5163 | 20.298 | -0.666 | 0.519 | -58.193 31.160 |
| Omnibus: | 2.666 | Durbin-Watson: | 0.917 |
| Prob(Omnibus): | 0.264 | Jarque-Bera (JB): | 1.825 |
| Skew: | -0.834 | Prob(JB): | 0.401 |
| Kurtosis: | 2.628 | Cond. No. | 49.1 |
Model:
AIM ~ expression + C(dose)
OLS Regression Results
| Dep. Variable: | AIM | R-squared: | 0.458 |
| Model: | OLS | Adj. R-squared: | 0.368 |
| Method: | Least Squares | F-statistic: | 5.075 |
| Date: | Sun, 09 Nov 2025 | Prob (F-statistic): | 0.0253 |
| Time: | 19:52:01 | Log-Likelihood: | -70.703 |
| No. Observations: | 15 | AIC: | 147.4 |
| Df Residuals: | 12 | BIC: | 149.5 |
| Df Model: | 2 | | |
| coef | std err | t | P>|t| | [95.0% Conf. Int.] |
| Intercept | 51.8854 | 35.810 | 1.449 | 0.173 | -26.138 129.909 |
| C(dose)[T.1] | 47.7254 | 15.931 | 2.996 | 0.011 | 13.014 82.437 |
| expression | 4.5376 | 9.911 | 0.458 | 0.655 | -17.056 26.132 |
| Omnibus: | 2.292 | Durbin-Watson: | 0.882 |
| Prob(Omnibus): | 0.318 | Jarque-Bera (JB): | 1.522 |
| Skew: | -0.762 | Prob(JB): | 0.467 |
| Kurtosis: | 2.665 | Cond. No. | 18.3 |
Model:
AIM ~ C(dose)
OLS Regression Results
| Dep. Variable: | AIM | R-squared: | 0.449 |
| Model: | OLS | Adj. R-squared: | 0.406 |
| Method: | Least Squares | F-statistic: | 10.58 |
| Date: | Sun, 09 Nov 2025 | Prob (F-statistic): | 0.00629 |
| Time: | 19:52:01 | Log-Likelihood: | -70.833 |
| No. Observations: | 15 | AIC: | 145.7 |
| Df Residuals: | 13 | BIC: | 147.1 |
| Df Model: | 1 | | |
| coef | std err | t | P>|t| | [95.0% Conf. Int.] |
| Intercept | 67.4286 | 11.044 | 6.106 | 0.000 | 43.570 91.287 |
| C(dose)[T.1] | 49.1964 | 15.122 | 3.253 | 0.006 | 16.527 81.866 |
| Omnibus: | 2.713 | Durbin-Watson: | 0.810 |
| Prob(Omnibus): | 0.258 | Jarque-Bera (JB): | 1.868 |
| Skew: | -0.843 | Prob(JB): | 0.393 |
| Kurtosis: | 2.619 | Cond. No. | 2.70 |
Model:
AIM ~ expression
OLS Regression Results
| Dep. Variable: | AIM | R-squared: | 0.053 |
| Model: | OLS | Adj. R-squared: | -0.020 |
| Method: | Least Squares | F-statistic: | 0.7287 |
| Date: | Sun, 09 Nov 2025 | Prob (F-statistic): | 0.409 |
| Time: | 19:52:01 | Log-Likelihood: | -74.891 |
| No. Observations: | 15 | AIC: | 153.8 |
| Df Residuals: | 13 | BIC: | 155.2 |
| Df Model: | 1 | | |
| coef | std err | t | P>|t| | [95.0% Conf. Int.] |
| Intercept | 55.7938 | 45.456 | 1.227 | 0.241 | -42.408 153.995 |
| expression | 10.5253 | 12.330 | 0.854 | 0.409 | -16.112 37.163 |
| Omnibus: | 0.669 | Durbin-Watson: | 1.486 |
| Prob(Omnibus): | 0.716 | Jarque-Bera (JB): | 0.667 |
| Skew: | 0.270 | Prob(JB): | 0.716 |
| Kurtosis: | 2.120 | Cond. No. | 18.1 |