AIM Score vs. Gene Expression
Full X range:
Auto X range:
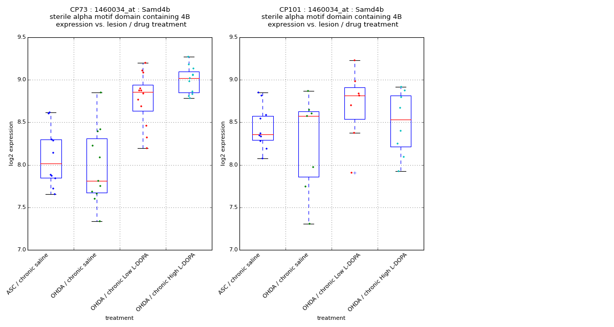
Group Comparisons: Boxplots
CP73
Model Comparison: AIM ~ expression + C(dose) vs AIM ~ C(dose)
| F-statistic | p-value | df difference |
| 1.767 | 0.199 | 1.0 |
Model:
AIM ~ expression + C(dose) + expression:C(dose)
OLS Regression Results
| Dep. Variable: | AIM | R-squared: | 0.756 |
| Model: | OLS | Adj. R-squared: | 0.717 |
| Method: | Least Squares | F-statistic: | 19.61 |
| Date: | Sun, 09 Nov 2025 | Prob (F-statistic): | 4.86e-06 |
| Time: | 23:20:01 | Log-Likelihood: | -96.890 |
| No. Observations: | 23 | AIC: | 201.8 |
| Df Residuals: | 19 | BIC: | 206.3 |
| Df Model: | 3 | | |
| coef | std err | t | P>|t| | [95.0% Conf. Int.] |
| Intercept | 91.4444 | 152.390 | 0.600 | 0.556 | -227.512 410.401 |
| C(dose)[T.1] | 926.4598 | 351.689 | 2.634 | 0.016 | 190.366 1662.553 |
| expression | -4.2437 | 17.357 | -0.244 | 0.809 | -40.573 32.086 |
| expression:C(dose)[T.1] | -96.9363 | 39.267 | -2.469 | 0.023 | -179.123 -14.749 |
| Omnibus: | 0.018 | Durbin-Watson: | 1.576 |
| Prob(Omnibus): | 0.991 | Jarque-Bera (JB): | 0.096 |
| Skew: | 0.007 | Prob(JB): | 0.953 |
| Kurtosis: | 2.683 | Cond. No. | 981. |
Model:
AIM ~ expression + C(dose)
OLS Regression Results
| Dep. Variable: | AIM | R-squared: | 0.678 |
| Model: | OLS | Adj. R-squared: | 0.645 |
| Method: | Least Squares | F-statistic: | 21.01 |
| Date: | Sun, 09 Nov 2025 | Prob (F-statistic): | 1.22e-05 |
| Time: | 23:20:01 | Log-Likelihood: | -100.09 |
| No. Observations: | 23 | AIC: | 206.2 |
| Df Residuals: | 20 | BIC: | 209.6 |
| Df Model: | 2 | | |
| coef | std err | t | P>|t| | [95.0% Conf. Int.] |
| Intercept | 257.6395 | 153.138 | 1.682 | 0.108 | -61.800 577.079 |
| C(dose)[T.1] | 58.5057 | 9.262 | 6.317 | 0.000 | 39.186 77.826 |
| expression | -23.1844 | 17.440 | -1.329 | 0.199 | -59.564 13.195 |
| Omnibus: | 1.208 | Durbin-Watson: | 1.806 |
| Prob(Omnibus): | 0.547 | Jarque-Bera (JB): | 0.917 |
| Skew: | -0.190 | Prob(JB): | 0.632 |
| Kurtosis: | 2.098 | Cond. No. | 329. |
Model:
AIM ~ C(dose)
OLS Regression Results
| Dep. Variable: | AIM | R-squared: | 0.649 |
| Model: | OLS | Adj. R-squared: | 0.632 |
| Method: | Least Squares | F-statistic: | 38.84 |
| Date: | Sun, 09 Nov 2025 | Prob (F-statistic): | 3.51e-06 |
| Time: | 23:20:01 | Log-Likelihood: | -101.06 |
| No. Observations: | 23 | AIC: | 206.1 |
| Df Residuals: | 21 | BIC: | 208.4 |
| Df Model: | 1 | | |
| coef | std err | t | P>|t| | [95.0% Conf. Int.] |
| Intercept | 54.2083 | 5.919 | 9.159 | 0.000 | 41.900 66.517 |
| C(dose)[T.1] | 53.3371 | 8.558 | 6.232 | 0.000 | 35.539 71.135 |
| Omnibus: | 0.322 | Durbin-Watson: | 1.888 |
| Prob(Omnibus): | 0.851 | Jarque-Bera (JB): | 0.485 |
| Skew: | 0.060 | Prob(JB): | 0.785 |
| Kurtosis: | 2.299 | Cond. No. | 2.57 |
Model:
AIM ~ expression
OLS Regression Results
| Dep. Variable: | AIM | R-squared: | 0.034 |
| Model: | OLS | Adj. R-squared: | -0.012 |
| Method: | Least Squares | F-statistic: | 0.7441 |
| Date: | Sun, 09 Nov 2025 | Prob (F-statistic): | 0.398 |
| Time: | 23:20:01 | Log-Likelihood: | -112.70 |
| No. Observations: | 23 | AIC: | 229.4 |
| Df Residuals: | 21 | BIC: | 231.7 |
| Df Model: | 1 | | |
| coef | std err | t | P>|t| | [95.0% Conf. Int.] |
| Intercept | -125.0886 | 237.535 | -0.527 | 0.604 | -619.069 368.892 |
| expression | 23.0609 | 26.734 | 0.863 | 0.398 | -32.536 78.658 |
| Omnibus: | 2.888 | Durbin-Watson: | 2.389 |
| Prob(Omnibus): | 0.236 | Jarque-Bera (JB): | 1.609 |
| Skew: | 0.363 | Prob(JB): | 0.447 |
| Kurtosis: | 1.927 | Cond. No. | 301. |
CP101
Model Comparison: AIM ~ expression + C(dose) vs AIM ~ C(dose)
| F-statistic | p-value | df difference |
| 0.516 | 0.486 | 1.0 |
Model:
AIM ~ expression + C(dose) + expression:C(dose)
OLS Regression Results
| Dep. Variable: | AIM | R-squared: | 0.527 |
| Model: | OLS | Adj. R-squared: | 0.398 |
| Method: | Least Squares | F-statistic: | 4.087 |
| Date: | Sun, 09 Nov 2025 | Prob (F-statistic): | 0.0355 |
| Time: | 23:20:01 | Log-Likelihood: | -69.684 |
| No. Observations: | 15 | AIC: | 147.4 |
| Df Residuals: | 11 | BIC: | 150.2 |
| Df Model: | 3 | | |
| coef | std err | t | P>|t| | [95.0% Conf. Int.] |
| Intercept | 383.3640 | 241.589 | 1.587 | 0.141 | -148.370 915.098 |
| C(dose)[T.1] | -348.8258 | 347.703 | -1.003 | 0.337 | -1114.116 416.464 |
| expression | -36.3490 | 27.766 | -1.309 | 0.217 | -97.461 24.763 |
| expression:C(dose)[T.1] | 46.0179 | 40.460 | 1.137 | 0.280 | -43.034 135.070 |
| Omnibus: | 4.064 | Durbin-Watson: | 1.154 |
| Prob(Omnibus): | 0.131 | Jarque-Bera (JB): | 2.148 |
| Skew: | -0.917 | Prob(JB): | 0.342 |
| Kurtosis: | 3.276 | Cond. No. | 523. |
Model:
AIM ~ expression + C(dose)
OLS Regression Results
| Dep. Variable: | AIM | R-squared: | 0.471 |
| Model: | OLS | Adj. R-squared: | 0.383 |
| Method: | Least Squares | F-statistic: | 5.352 |
| Date: | Sun, 09 Nov 2025 | Prob (F-statistic): | 0.0218 |
| Time: | 23:20:01 | Log-Likelihood: | -70.518 |
| No. Observations: | 15 | AIC: | 147.0 |
| Df Residuals: | 12 | BIC: | 149.2 |
| Df Model: | 2 | | |
| coef | std err | t | P>|t| | [95.0% Conf. Int.] |
| Intercept | 194.9994 | 178.027 | 1.095 | 0.295 | -192.889 582.888 |
| C(dose)[T.1] | 46.2327 | 15.955 | 2.898 | 0.013 | 11.469 80.996 |
| expression | -14.6773 | 20.441 | -0.718 | 0.486 | -59.215 29.861 |
| Omnibus: | 1.711 | Durbin-Watson: | 0.952 |
| Prob(Omnibus): | 0.425 | Jarque-Bera (JB): | 1.336 |
| Skew: | -0.658 | Prob(JB): | 0.513 |
| Kurtosis: | 2.363 | Cond. No. | 202. |
Model:
AIM ~ C(dose)
OLS Regression Results
| Dep. Variable: | AIM | R-squared: | 0.449 |
| Model: | OLS | Adj. R-squared: | 0.406 |
| Method: | Least Squares | F-statistic: | 10.58 |
| Date: | Sun, 09 Nov 2025 | Prob (F-statistic): | 0.00629 |
| Time: | 23:20:01 | Log-Likelihood: | -70.833 |
| No. Observations: | 15 | AIC: | 145.7 |
| Df Residuals: | 13 | BIC: | 147.1 |
| Df Model: | 1 | | |
| coef | std err | t | P>|t| | [95.0% Conf. Int.] |
| Intercept | 67.4286 | 11.044 | 6.106 | 0.000 | 43.570 91.287 |
| C(dose)[T.1] | 49.1964 | 15.122 | 3.253 | 0.006 | 16.527 81.866 |
| Omnibus: | 2.713 | Durbin-Watson: | 0.810 |
| Prob(Omnibus): | 0.258 | Jarque-Bera (JB): | 1.868 |
| Skew: | -0.843 | Prob(JB): | 0.393 |
| Kurtosis: | 2.619 | Cond. No. | 2.70 |
Model:
AIM ~ expression
OLS Regression Results
| Dep. Variable: | AIM | R-squared: | 0.102 |
| Model: | OLS | Adj. R-squared: | 0.033 |
| Method: | Least Squares | F-statistic: | 1.471 |
| Date: | Sun, 09 Nov 2025 | Prob (F-statistic): | 0.247 |
| Time: | 23:20:01 | Log-Likelihood: | -74.496 |
| No. Observations: | 15 | AIC: | 153.0 |
| Df Residuals: | 13 | BIC: | 154.4 |
| Df Model: | 1 | | |
| coef | std err | t | P>|t| | [95.0% Conf. Int.] |
| Intercept | 351.1945 | 212.526 | 1.652 | 0.122 | -107.940 810.329 |
| expression | -30.0008 | 24.733 | -1.213 | 0.247 | -83.433 23.431 |
| Omnibus: | 1.797 | Durbin-Watson: | 1.593 |
| Prob(Omnibus): | 0.407 | Jarque-Bera (JB): | 1.302 |
| Skew: | 0.524 | Prob(JB): | 0.522 |
| Kurtosis: | 2.008 | Cond. No. | 192. |