AIM Score vs. Gene Expression
Full X range:
Auto X range:
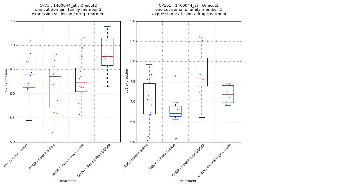
Group Comparisons: Boxplots
CP73
Model Comparison: AIM ~ expression + C(dose) vs AIM ~ C(dose)
| F-statistic | p-value | df difference |
| 1.171 | 0.292 | 1.0 |
Model:
AIM ~ expression + C(dose) + expression:C(dose)
OLS Regression Results
| Dep. Variable: | AIM | R-squared: | 0.670 |
| Model: | OLS | Adj. R-squared: | 0.618 |
| Method: | Least Squares | F-statistic: | 12.87 |
| Date: | Thu, 07 May 2026 | Prob (F-statistic): | 8.00e-05 |
| Time: | 13:49:16 | Log-Likelihood: | -100.35 |
| No. Observations: | 23 | AIC: | 208.7 |
| Df Residuals: | 19 | BIC: | 213.2 |
| Df Model: | 3 | | |
| coef | std err | t | P>|t| | [95.0% Conf. Int.] |
| Intercept | 135.2425 | 78.186 | 1.730 | 0.100 | -28.402 298.887 |
| C(dose)[T.1] | 14.6920 | 136.973 | 0.107 | 0.916 | -271.996 301.380 |
| expression | -12.9124 | 12.421 | -1.040 | 0.312 | -38.911 13.086 |
| expression:C(dose)[T.1] | 6.6870 | 20.646 | 0.324 | 0.750 | -36.525 49.899 |
| Omnibus: | 1.509 | Durbin-Watson: | 1.933 |
| Prob(Omnibus): | 0.470 | Jarque-Bera (JB): | 0.937 |
| Skew: | -0.031 | Prob(JB): | 0.626 |
| Kurtosis: | 2.013 | Cond. No. | 259. |
Model:
AIM ~ expression + C(dose)
OLS Regression Results
| Dep. Variable: | AIM | R-squared: | 0.668 |
| Model: | OLS | Adj. R-squared: | 0.635 |
| Method: | Least Squares | F-statistic: | 20.16 |
| Date: | Thu, 07 May 2026 | Prob (F-statistic): | 1.60e-05 |
| Time: | 13:49:16 | Log-Likelihood: | -100.41 |
| No. Observations: | 23 | AIC: | 206.8 |
| Df Residuals: | 20 | BIC: | 210.2 |
| Df Model: | 2 | | |
| coef | std err | t | P>|t| | [95.0% Conf. Int.] |
| Intercept | 120.0520 | 61.142 | 1.964 | 0.064 | -7.487 247.591 |
| C(dose)[T.1] | 58.9332 | 9.970 | 5.911 | 0.000 | 38.135 79.731 |
| expression | -10.4919 | 9.697 | -1.082 | 0.292 | -30.720 9.736 |
| Omnibus: | 1.207 | Durbin-Watson: | 1.941 |
| Prob(Omnibus): | 0.547 | Jarque-Bera (JB): | 0.845 |
| Skew: | 0.003 | Prob(JB): | 0.656 |
| Kurtosis: | 2.061 | Cond. No. | 96.9 |
Model:
AIM ~ C(dose)
OLS Regression Results
| Dep. Variable: | AIM | R-squared: | 0.649 |
| Model: | OLS | Adj. R-squared: | 0.632 |
| Method: | Least Squares | F-statistic: | 38.84 |
| Date: | Thu, 07 May 2026 | Prob (F-statistic): | 3.51e-06 |
| Time: | 13:49:16 | Log-Likelihood: | -101.06 |
| No. Observations: | 23 | AIC: | 206.1 |
| Df Residuals: | 21 | BIC: | 208.4 |
| Df Model: | 1 | | |
| coef | std err | t | P>|t| | [95.0% Conf. Int.] |
| Intercept | 54.2083 | 5.919 | 9.159 | 0.000 | 41.900 66.517 |
| C(dose)[T.1] | 53.3371 | 8.558 | 6.232 | 0.000 | 35.539 71.135 |
| Omnibus: | 0.322 | Durbin-Watson: | 1.888 |
| Prob(Omnibus): | 0.851 | Jarque-Bera (JB): | 0.485 |
| Skew: | 0.060 | Prob(JB): | 0.785 |
| Kurtosis: | 2.299 | Cond. No. | 2.57 |
Model:
AIM ~ expression
OLS Regression Results
| Dep. Variable: | AIM | R-squared: | 0.089 |
| Model: | OLS | Adj. R-squared: | 0.046 |
| Method: | Least Squares | F-statistic: | 2.059 |
| Date: | Thu, 07 May 2026 | Prob (F-statistic): | 0.166 |
| Time: | 13:49:16 | Log-Likelihood: | -112.03 |
| No. Observations: | 23 | AIC: | 228.1 |
| Df Residuals: | 21 | BIC: | 230.3 |
| Df Model: | 1 | | |
| coef | std err | t | P>|t| | [95.0% Conf. Int.] |
| Intercept | -45.9512 | 87.842 | -0.523 | 0.606 | -228.628 136.726 |
| expression | 19.2425 | 13.409 | 1.435 | 0.166 | -8.643 47.128 |
| Omnibus: | 1.346 | Durbin-Watson: | 2.179 |
| Prob(Omnibus): | 0.510 | Jarque-Bera (JB): | 0.933 |
| Skew: | 0.146 | Prob(JB): | 0.627 |
| Kurtosis: | 2.058 | Cond. No. | 85.5 |
CP101
Model Comparison: AIM ~ expression + C(dose) vs AIM ~ C(dose)
| F-statistic | p-value | df difference |
| 1.152 | 0.304 | 1.0 |
Model:
AIM ~ expression + C(dose) + expression:C(dose)
OLS Regression Results
| Dep. Variable: | AIM | R-squared: | 0.517 |
| Model: | OLS | Adj. R-squared: | 0.385 |
| Method: | Least Squares | F-statistic: | 3.919 |
| Date: | Thu, 07 May 2026 | Prob (F-statistic): | 0.0398 |
| Time: | 13:49:16 | Log-Likelihood: | -69.848 |
| No. Observations: | 15 | AIC: | 147.7 |
| Df Residuals: | 11 | BIC: | 150.5 |
| Df Model: | 3 | | |
| coef | std err | t | P>|t| | [95.0% Conf. Int.] |
| Intercept | 229.7122 | 134.395 | 1.709 | 0.115 | -66.088 525.513 |
| C(dose)[T.1] | -209.1272 | 374.933 | -0.558 | 0.588 | -1034.349 616.095 |
| expression | -21.1173 | 17.427 | -1.212 | 0.251 | -59.474 17.239 |
| expression:C(dose)[T.1] | 34.4803 | 51.705 | 0.667 | 0.519 | -79.321 148.282 |
| Omnibus: | 2.064 | Durbin-Watson: | 1.127 |
| Prob(Omnibus): | 0.356 | Jarque-Bera (JB): | 1.297 |
| Skew: | -0.708 | Prob(JB): | 0.523 |
| Kurtosis: | 2.731 | Cond. No. | 427. |
Model:
AIM ~ expression + C(dose)
OLS Regression Results
| Dep. Variable: | AIM | R-squared: | 0.497 |
| Model: | OLS | Adj. R-squared: | 0.413 |
| Method: | Least Squares | F-statistic: | 5.930 |
| Date: | Thu, 07 May 2026 | Prob (F-statistic): | 0.0162 |
| Time: | 13:49:16 | Log-Likelihood: | -70.145 |
| No. Observations: | 15 | AIC: | 146.3 |
| Df Residuals: | 12 | BIC: | 148.4 |
| Df Model: | 2 | | |
| coef | std err | t | P>|t| | [95.0% Conf. Int.] |
| Intercept | 199.6107 | 123.624 | 1.615 | 0.132 | -69.743 468.964 |
| C(dose)[T.1] | 40.6336 | 17.019 | 2.387 | 0.034 | 3.551 77.716 |
| expression | -17.2004 | 16.023 | -1.073 | 0.304 | -52.112 17.711 |
| Omnibus: | 3.062 | Durbin-Watson: | 0.937 |
| Prob(Omnibus): | 0.216 | Jarque-Bera (JB): | 1.891 |
| Skew: | -0.866 | Prob(JB): | 0.389 |
| Kurtosis: | 2.846 | Cond. No. | 125. |
Model:
AIM ~ C(dose)
OLS Regression Results
| Dep. Variable: | AIM | R-squared: | 0.449 |
| Model: | OLS | Adj. R-squared: | 0.406 |
| Method: | Least Squares | F-statistic: | 10.58 |
| Date: | Thu, 07 May 2026 | Prob (F-statistic): | 0.00629 |
| Time: | 13:49:16 | Log-Likelihood: | -70.833 |
| No. Observations: | 15 | AIC: | 145.7 |
| Df Residuals: | 13 | BIC: | 147.1 |
| Df Model: | 1 | | |
| coef | std err | t | P>|t| | [95.0% Conf. Int.] |
| Intercept | 67.4286 | 11.044 | 6.106 | 0.000 | 43.570 91.287 |
| C(dose)[T.1] | 49.1964 | 15.122 | 3.253 | 0.006 | 16.527 81.866 |
| Omnibus: | 2.713 | Durbin-Watson: | 0.810 |
| Prob(Omnibus): | 0.258 | Jarque-Bera (JB): | 1.868 |
| Skew: | -0.843 | Prob(JB): | 0.393 |
| Kurtosis: | 2.619 | Cond. No. | 2.70 |
Model:
AIM ~ expression
OLS Regression Results
| Dep. Variable: | AIM | R-squared: | 0.258 |
| Model: | OLS | Adj. R-squared: | 0.201 |
| Method: | Least Squares | F-statistic: | 4.524 |
| Date: | Thu, 07 May 2026 | Prob (F-statistic): | 0.0531 |
| Time: | 13:49:16 | Log-Likelihood: | -73.060 |
| No. Observations: | 15 | AIC: | 150.1 |
| Df Residuals: | 13 | BIC: | 151.5 |
| Df Model: | 1 | | |
| coef | std err | t | P>|t| | [95.0% Conf. Int.] |
| Intercept | 354.3085 | 122.849 | 2.884 | 0.013 | 88.908 619.709 |
| expression | -35.1301 | 16.516 | -2.127 | 0.053 | -70.811 0.550 |
| Omnibus: | 4.186 | Durbin-Watson: | 1.867 |
| Prob(Omnibus): | 0.123 | Jarque-Bera (JB): | 1.343 |
| Skew: | 0.163 | Prob(JB): | 0.511 |
| Kurtosis: | 1.571 | Cond. No. | 106. |