AIM Score vs. Gene Expression
Full X range:
Auto X range:
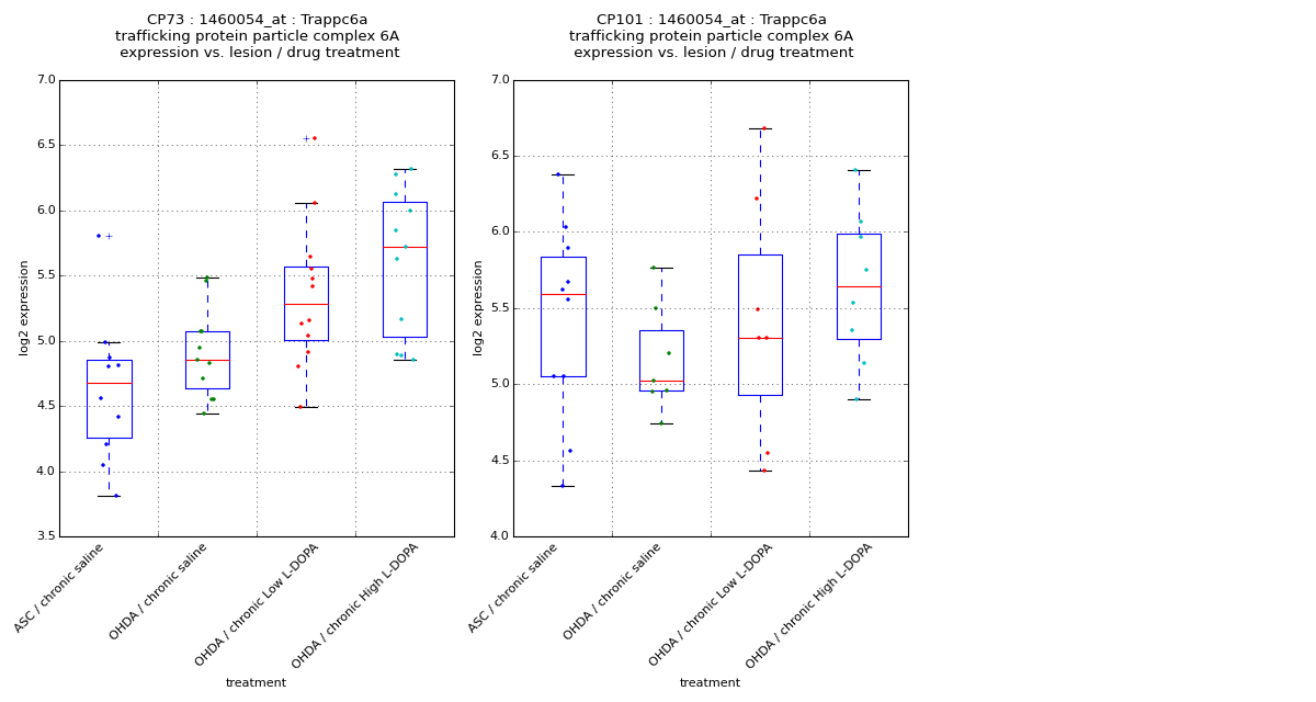
Group Comparisons: Boxplots
CP73
Model Comparison: AIM ~ expression + C(dose) vs AIM ~ C(dose)
| F-statistic | p-value | df difference |
| 0.933 | 0.346 | 1.0 |
Model:
AIM ~ expression + C(dose) + expression:C(dose)
OLS Regression Results
| Dep. Variable: | AIM | R-squared: | 0.671 |
| Model: | OLS | Adj. R-squared: | 0.619 |
| Method: | Least Squares | F-statistic: | 12.94 |
| Date: | Sun, 09 Nov 2025 | Prob (F-statistic): | 7.77e-05 |
| Time: | 19:56:00 | Log-Likelihood: | -100.31 |
| No. Observations: | 23 | AIC: | 208.6 |
| Df Residuals: | 19 | BIC: | 213.2 |
| Df Model: | 3 | | |
| coef | std err | t | P>|t| | [95.0% Conf. Int.] |
| Intercept | 120.8509 | 60.053 | 2.012 | 0.059 | -4.841 246.543 |
| C(dose)[T.1] | 0.4667 | 88.884 | 0.005 | 0.996 | -185.571 186.504 |
| expression | -12.4534 | 11.165 | -1.115 | 0.279 | -35.823 10.916 |
| expression:C(dose)[T.1] | 9.9983 | 16.120 | 0.620 | 0.542 | -23.742 43.738 |
| Omnibus: | 0.253 | Durbin-Watson: | 2.081 |
| Prob(Omnibus): | 0.881 | Jarque-Bera (JB): | 0.407 |
| Skew: | -0.195 | Prob(JB): | 0.816 |
| Kurtosis: | 2.479 | Cond. No. | 149. |
Model:
AIM ~ expression + C(dose)
OLS Regression Results
| Dep. Variable: | AIM | R-squared: | 0.665 |
| Model: | OLS | Adj. R-squared: | 0.631 |
| Method: | Least Squares | F-statistic: | 19.82 |
| Date: | Sun, 09 Nov 2025 | Prob (F-statistic): | 1.80e-05 |
| Time: | 19:56:00 | Log-Likelihood: | -100.54 |
| No. Observations: | 23 | AIC: | 207.1 |
| Df Residuals: | 20 | BIC: | 210.5 |
| Df Model: | 2 | | |
| coef | std err | t | P>|t| | [95.0% Conf. Int.] |
| Intercept | 95.1825 | 42.841 | 2.222 | 0.038 | 5.817 184.548 |
| C(dose)[T.1] | 55.3156 | 8.814 | 6.276 | 0.000 | 36.931 73.701 |
| expression | -7.6568 | 7.929 | -0.966 | 0.346 | -24.196 8.882 |
| Omnibus: | 0.481 | Durbin-Watson: | 1.958 |
| Prob(Omnibus): | 0.786 | Jarque-Bera (JB): | 0.502 |
| Skew: | -0.296 | Prob(JB): | 0.778 |
| Kurtosis: | 2.582 | Cond. No. | 57.1 |
Model:
AIM ~ C(dose)
OLS Regression Results
| Dep. Variable: | AIM | R-squared: | 0.649 |
| Model: | OLS | Adj. R-squared: | 0.632 |
| Method: | Least Squares | F-statistic: | 38.84 |
| Date: | Sun, 09 Nov 2025 | Prob (F-statistic): | 3.51e-06 |
| Time: | 19:56:00 | Log-Likelihood: | -101.06 |
| No. Observations: | 23 | AIC: | 206.1 |
| Df Residuals: | 21 | BIC: | 208.4 |
| Df Model: | 1 | | |
| coef | std err | t | P>|t| | [95.0% Conf. Int.] |
| Intercept | 54.2083 | 5.919 | 9.159 | 0.000 | 41.900 66.517 |
| C(dose)[T.1] | 53.3371 | 8.558 | 6.232 | 0.000 | 35.539 71.135 |
| Omnibus: | 0.322 | Durbin-Watson: | 1.888 |
| Prob(Omnibus): | 0.851 | Jarque-Bera (JB): | 0.485 |
| Skew: | 0.060 | Prob(JB): | 0.785 |
| Kurtosis: | 2.299 | Cond. No. | 2.57 |
Model:
AIM ~ expression
OLS Regression Results
| Dep. Variable: | AIM | R-squared: | 0.004 |
| Model: | OLS | Adj. R-squared: | -0.043 |
| Method: | Least Squares | F-statistic: | 0.09092 |
| Date: | Sun, 09 Nov 2025 | Prob (F-statistic): | 0.766 |
| Time: | 19:56:01 | Log-Likelihood: | -113.06 |
| No. Observations: | 23 | AIC: | 230.1 |
| Df Residuals: | 21 | BIC: | 232.4 |
| Df Model: | 1 | | |
| coef | std err | t | P>|t| | [95.0% Conf. Int.] |
| Intercept | 58.3092 | 71.365 | 0.817 | 0.423 | -90.102 206.721 |
| expression | 3.9102 | 12.968 | 0.302 | 0.766 | -23.059 30.879 |
| Omnibus: | 2.580 | Durbin-Watson: | 2.493 |
| Prob(Omnibus): | 0.275 | Jarque-Bera (JB): | 1.427 |
| Skew: | 0.299 | Prob(JB): | 0.490 |
| Kurtosis: | 1.936 | Cond. No. | 56.3 |
CP101
Model Comparison: AIM ~ expression + C(dose) vs AIM ~ C(dose)
| F-statistic | p-value | df difference |
| 0.926 | 0.355 | 1.0 |
Model:
AIM ~ expression + C(dose) + expression:C(dose)
OLS Regression Results
| Dep. Variable: | AIM | R-squared: | 0.488 |
| Model: | OLS | Adj. R-squared: | 0.349 |
| Method: | Least Squares | F-statistic: | 3.499 |
| Date: | Sun, 09 Nov 2025 | Prob (F-statistic): | 0.0532 |
| Time: | 19:56:01 | Log-Likelihood: | -70.275 |
| No. Observations: | 15 | AIC: | 148.5 |
| Df Residuals: | 11 | BIC: | 151.4 |
| Df Model: | 3 | | |
| coef | std err | t | P>|t| | [95.0% Conf. Int.] |
| Intercept | 1.9353 | 84.013 | 0.023 | 0.982 | -182.975 186.846 |
| C(dose)[T.1] | 52.6174 | 154.536 | 0.340 | 0.740 | -287.513 392.748 |
| expression | 12.0696 | 15.335 | 0.787 | 0.448 | -21.683 45.822 |
| expression:C(dose)[T.1] | -1.0613 | 27.579 | -0.038 | 0.970 | -61.762 59.640 |
| Omnibus: | 1.653 | Durbin-Watson: | 0.720 |
| Prob(Omnibus): | 0.438 | Jarque-Bera (JB): | 1.230 |
| Skew: | -0.506 | Prob(JB): | 0.541 |
| Kurtosis: | 2.028 | Cond. No. | 138. |
Model:
AIM ~ expression + C(dose)
OLS Regression Results
| Dep. Variable: | AIM | R-squared: | 0.488 |
| Model: | OLS | Adj. R-squared: | 0.403 |
| Method: | Least Squares | F-statistic: | 5.724 |
| Date: | Sun, 09 Nov 2025 | Prob (F-statistic): | 0.0180 |
| Time: | 19:56:01 | Log-Likelihood: | -70.276 |
| No. Observations: | 15 | AIC: | 146.6 |
| Df Residuals: | 12 | BIC: | 148.7 |
| Df Model: | 2 | | |
| coef | std err | t | P>|t| | [95.0% Conf. Int.] |
| Intercept | 3.7159 | 67.142 | 0.055 | 0.957 | -142.574 150.006 |
| C(dose)[T.1] | 46.7026 | 15.386 | 3.035 | 0.010 | 13.180 80.225 |
| expression | 11.7415 | 12.204 | 0.962 | 0.355 | -14.849 38.332 |
| Omnibus: | 1.693 | Durbin-Watson: | 0.721 |
| Prob(Omnibus): | 0.429 | Jarque-Bera (JB): | 1.232 |
| Skew: | -0.495 | Prob(JB): | 0.540 |
| Kurtosis: | 2.005 | Cond. No. | 51.3 |
Model:
AIM ~ C(dose)
OLS Regression Results
| Dep. Variable: | AIM | R-squared: | 0.449 |
| Model: | OLS | Adj. R-squared: | 0.406 |
| Method: | Least Squares | F-statistic: | 10.58 |
| Date: | Sun, 09 Nov 2025 | Prob (F-statistic): | 0.00629 |
| Time: | 19:56:01 | Log-Likelihood: | -70.833 |
| No. Observations: | 15 | AIC: | 145.7 |
| Df Residuals: | 13 | BIC: | 147.1 |
| Df Model: | 1 | | |
| coef | std err | t | P>|t| | [95.0% Conf. Int.] |
| Intercept | 67.4286 | 11.044 | 6.106 | 0.000 | 43.570 91.287 |
| C(dose)[T.1] | 49.1964 | 15.122 | 3.253 | 0.006 | 16.527 81.866 |
| Omnibus: | 2.713 | Durbin-Watson: | 0.810 |
| Prob(Omnibus): | 0.258 | Jarque-Bera (JB): | 1.868 |
| Skew: | -0.843 | Prob(JB): | 0.393 |
| Kurtosis: | 2.619 | Cond. No. | 2.70 |
Model:
AIM ~ expression
OLS Regression Results
| Dep. Variable: | AIM | R-squared: | 0.095 |
| Model: | OLS | Adj. R-squared: | 0.026 |
| Method: | Least Squares | F-statistic: | 1.369 |
| Date: | Sun, 09 Nov 2025 | Prob (F-statistic): | 0.263 |
| Time: | 19:56:01 | Log-Likelihood: | -74.549 |
| No. Observations: | 15 | AIC: | 153.1 |
| Df Residuals: | 13 | BIC: | 154.5 |
| Df Model: | 1 | | |
| coef | std err | t | P>|t| | [95.0% Conf. Int.] |
| Intercept | -5.9498 | 85.674 | -0.069 | 0.946 | -191.037 179.137 |
| expression | 17.9827 | 15.367 | 1.170 | 0.263 | -15.216 51.181 |
| Omnibus: | 2.096 | Durbin-Watson: | 1.389 |
| Prob(Omnibus): | 0.351 | Jarque-Bera (JB): | 1.136 |
| Skew: | 0.323 | Prob(JB): | 0.567 |
| Kurtosis: | 1.817 | Cond. No. | 51.0 |