AIM Score vs. Gene Expression
Full X range:
Auto X range:
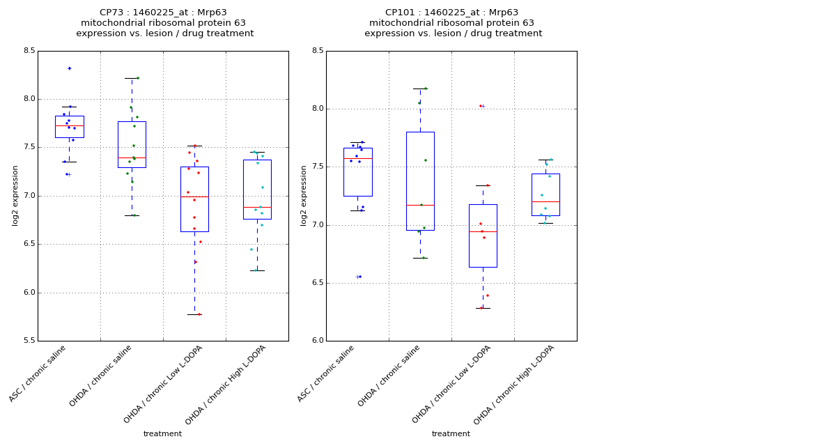
Group Comparisons: Boxplots
CP73
Model Comparison: AIM ~ expression + C(dose) vs AIM ~ C(dose)
| F-statistic | p-value | df difference |
| 0.022 | 0.883 | 1.0 |
Model:
AIM ~ expression + C(dose) + expression:C(dose)
OLS Regression Results
| Dep. Variable: | AIM | R-squared: | 0.681 |
| Model: | OLS | Adj. R-squared: | 0.630 |
| Method: | Least Squares | F-statistic: | 13.49 |
| Date: | Sun, 09 Nov 2025 | Prob (F-statistic): | 5.96e-05 |
| Time: | 19:49:30 | Log-Likelihood: | -99.981 |
| No. Observations: | 23 | AIC: | 208.0 |
| Df Residuals: | 19 | BIC: | 212.5 |
| Df Model: | 3 | | |
| coef | std err | t | P>|t| | [95.0% Conf. Int.] |
| Intercept | 131.8382 | 82.341 | 1.601 | 0.126 | -40.503 304.180 |
| C(dose)[T.1] | -132.0350 | 136.594 | -0.967 | 0.346 | -417.930 153.860 |
| expression | -11.2388 | 11.890 | -0.945 | 0.356 | -36.124 13.647 |
| expression:C(dose)[T.1] | 26.7026 | 19.628 | 1.360 | 0.190 | -14.379 67.784 |
| Omnibus: | 1.457 | Durbin-Watson: | 2.012 |
| Prob(Omnibus): | 0.483 | Jarque-Bera (JB): | 1.210 |
| Skew: | 0.383 | Prob(JB): | 0.546 |
| Kurtosis: | 2.178 | Cond. No. | 277. |
Model:
AIM ~ expression + C(dose)
OLS Regression Results
| Dep. Variable: | AIM | R-squared: | 0.649 |
| Model: | OLS | Adj. R-squared: | 0.614 |
| Method: | Least Squares | F-statistic: | 18.53 |
| Date: | Sun, 09 Nov 2025 | Prob (F-statistic): | 2.80e-05 |
| Time: | 19:49:30 | Log-Likelihood: | -101.05 |
| No. Observations: | 23 | AIC: | 208.1 |
| Df Residuals: | 20 | BIC: | 211.5 |
| Df Model: | 2 | | |
| coef | std err | t | P>|t| | [95.0% Conf. Int.] |
| Intercept | 64.1584 | 66.994 | 0.958 | 0.350 | -75.589 203.906 |
| C(dose)[T.1] | 53.4236 | 8.784 | 6.082 | 0.000 | 35.100 71.747 |
| expression | -1.4405 | 9.659 | -0.149 | 0.883 | -21.589 18.708 |
| Omnibus: | 0.210 | Durbin-Watson: | 1.864 |
| Prob(Omnibus): | 0.900 | Jarque-Bera (JB): | 0.413 |
| Skew: | 0.033 | Prob(JB): | 0.813 |
| Kurtosis: | 2.347 | Cond. No. | 109. |
Model:
AIM ~ C(dose)
OLS Regression Results
| Dep. Variable: | AIM | R-squared: | 0.649 |
| Model: | OLS | Adj. R-squared: | 0.632 |
| Method: | Least Squares | F-statistic: | 38.84 |
| Date: | Sun, 09 Nov 2025 | Prob (F-statistic): | 3.51e-06 |
| Time: | 19:49:30 | Log-Likelihood: | -101.06 |
| No. Observations: | 23 | AIC: | 206.1 |
| Df Residuals: | 21 | BIC: | 208.4 |
| Df Model: | 1 | | |
| coef | std err | t | P>|t| | [95.0% Conf. Int.] |
| Intercept | 54.2083 | 5.919 | 9.159 | 0.000 | 41.900 66.517 |
| C(dose)[T.1] | 53.3371 | 8.558 | 6.232 | 0.000 | 35.539 71.135 |
| Omnibus: | 0.322 | Durbin-Watson: | 1.888 |
| Prob(Omnibus): | 0.851 | Jarque-Bera (JB): | 0.485 |
| Skew: | 0.060 | Prob(JB): | 0.785 |
| Kurtosis: | 2.299 | Cond. No. | 2.57 |
Model:
AIM ~ expression
OLS Regression Results
| Dep. Variable: | AIM | R-squared: | 0.001 |
| Model: | OLS | Adj. R-squared: | -0.046 |
| Method: | Least Squares | F-statistic: | 0.02360 |
| Date: | Sun, 09 Nov 2025 | Prob (F-statistic): | 0.879 |
| Time: | 19:49:30 | Log-Likelihood: | -113.09 |
| No. Observations: | 23 | AIC: | 230.2 |
| Df Residuals: | 21 | BIC: | 232.5 |
| Df Model: | 1 | | |
| coef | std err | t | P>|t| | [95.0% Conf. Int.] |
| Intercept | 62.8007 | 110.362 | 0.569 | 0.575 | -166.709 292.311 |
| expression | 2.4389 | 15.877 | 0.154 | 0.879 | -30.580 35.458 |
| Omnibus: | 2.880 | Durbin-Watson: | 2.513 |
| Prob(Omnibus): | 0.237 | Jarque-Bera (JB): | 1.450 |
| Skew: | 0.268 | Prob(JB): | 0.484 |
| Kurtosis: | 1.893 | Cond. No. | 109. |
CP101
Model Comparison: AIM ~ expression + C(dose) vs AIM ~ C(dose)
| F-statistic | p-value | df difference |
| 2.085 | 0.174 | 1.0 |
Model:
AIM ~ expression + C(dose) + expression:C(dose)
OLS Regression Results
| Dep. Variable: | AIM | R-squared: | 0.554 |
| Model: | OLS | Adj. R-squared: | 0.432 |
| Method: | Least Squares | F-statistic: | 4.550 |
| Date: | Sun, 09 Nov 2025 | Prob (F-statistic): | 0.0263 |
| Time: | 19:49:30 | Log-Likelihood: | -69.248 |
| No. Observations: | 15 | AIC: | 146.5 |
| Df Residuals: | 11 | BIC: | 149.3 |
| Df Model: | 3 | | |
| coef | std err | t | P>|t| | [95.0% Conf. Int.] |
| Intercept | 211.8635 | 139.447 | 1.519 | 0.157 | -95.057 518.784 |
| C(dose)[T.1] | 352.7207 | 390.618 | 0.903 | 0.386 | -507.024 1212.466 |
| expression | -20.6843 | 19.910 | -1.039 | 0.321 | -64.506 23.137 |
| expression:C(dose)[T.1] | -41.0249 | 54.046 | -0.759 | 0.464 | -159.980 77.930 |
| Omnibus: | 0.938 | Durbin-Watson: | 0.898 |
| Prob(Omnibus): | 0.626 | Jarque-Bera (JB): | 0.734 |
| Skew: | -0.191 | Prob(JB): | 0.693 |
| Kurtosis: | 1.986 | Cond. No. | 455. |
Model:
AIM ~ expression + C(dose)
OLS Regression Results
| Dep. Variable: | AIM | R-squared: | 0.530 |
| Model: | OLS | Adj. R-squared: | 0.452 |
| Method: | Least Squares | F-statistic: | 6.776 |
| Date: | Sun, 09 Nov 2025 | Prob (F-statistic): | 0.0107 |
| Time: | 19:49:30 | Log-Likelihood: | -69.631 |
| No. Observations: | 15 | AIC: | 145.3 |
| Df Residuals: | 12 | BIC: | 147.4 |
| Df Model: | 2 | | |
| coef | std err | t | P>|t| | [95.0% Conf. Int.] |
| Intercept | 250.7403 | 127.390 | 1.968 | 0.073 | -26.819 528.299 |
| C(dose)[T.1] | 56.4518 | 15.372 | 3.672 | 0.003 | 22.958 89.945 |
| expression | -26.2519 | 18.180 | -1.444 | 0.174 | -65.863 13.359 |
| Omnibus: | 1.163 | Durbin-Watson: | 0.776 |
| Prob(Omnibus): | 0.559 | Jarque-Bera (JB): | 0.995 |
| Skew: | -0.476 | Prob(JB): | 0.608 |
| Kurtosis: | 2.172 | Cond. No. | 128. |
Model:
AIM ~ C(dose)
OLS Regression Results
| Dep. Variable: | AIM | R-squared: | 0.449 |
| Model: | OLS | Adj. R-squared: | 0.406 |
| Method: | Least Squares | F-statistic: | 10.58 |
| Date: | Sun, 09 Nov 2025 | Prob (F-statistic): | 0.00629 |
| Time: | 19:49:30 | Log-Likelihood: | -70.833 |
| No. Observations: | 15 | AIC: | 145.7 |
| Df Residuals: | 13 | BIC: | 147.1 |
| Df Model: | 1 | | |
| coef | std err | t | P>|t| | [95.0% Conf. Int.] |
| Intercept | 67.4286 | 11.044 | 6.106 | 0.000 | 43.570 91.287 |
| C(dose)[T.1] | 49.1964 | 15.122 | 3.253 | 0.006 | 16.527 81.866 |
| Omnibus: | 2.713 | Durbin-Watson: | 0.810 |
| Prob(Omnibus): | 0.258 | Jarque-Bera (JB): | 1.868 |
| Skew: | -0.843 | Prob(JB): | 0.393 |
| Kurtosis: | 2.619 | Cond. No. | 2.70 |
Model:
AIM ~ expression
OLS Regression Results
| Dep. Variable: | AIM | R-squared: | 0.003 |
| Model: | OLS | Adj. R-squared: | -0.074 |
| Method: | Least Squares | F-statistic: | 0.03391 |
| Date: | Sun, 09 Nov 2025 | Prob (F-statistic): | 0.857 |
| Time: | 19:49:30 | Log-Likelihood: | -75.281 |
| No. Observations: | 15 | AIC: | 154.6 |
| Df Residuals: | 13 | BIC: | 156.0 |
| Df Model: | 1 | | |
| coef | std err | t | P>|t| | [95.0% Conf. Int.] |
| Intercept | 125.2546 | 171.830 | 0.729 | 0.479 | -245.961 496.470 |
| expression | -4.4302 | 24.057 | -0.184 | 0.857 | -56.402 47.541 |
| Omnibus: | 1.182 | Durbin-Watson: | 1.610 |
| Prob(Omnibus): | 0.554 | Jarque-Bera (JB): | 0.778 |
| Skew: | 0.123 | Prob(JB): | 0.678 |
| Kurtosis: | 1.912 | Cond. No. | 123. |