AIM Score vs. Gene Expression
Full X range:
Auto X range:
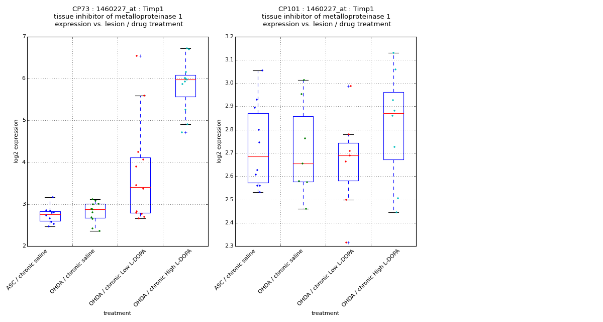
Group Comparisons: Boxplots
CP73
Model Comparison: AIM ~ expression + C(dose) vs AIM ~ C(dose)
| F-statistic | p-value | df difference |
| 0.538 | 0.472 | 1.0 |
Model:
AIM ~ expression + C(dose) + expression:C(dose)
OLS Regression Results
| Dep. Variable: | AIM | R-squared: | 0.661 |
| Model: | OLS | Adj. R-squared: | 0.608 |
| Method: | Least Squares | F-statistic: | 12.37 |
| Date: | Sun, 09 Nov 2025 | Prob (F-statistic): | 0.000103 |
| Time: | 19:46:53 | Log-Likelihood: | -100.65 |
| No. Observations: | 23 | AIC: | 209.3 |
| Df Residuals: | 19 | BIC: | 213.9 |
| Df Model: | 3 | | |
| coef | std err | t | P>|t| | [95.0% Conf. Int.] |
| Intercept | 45.3280 | 20.307 | 2.232 | 0.038 | 2.824 87.832 |
| C(dose)[T.1] | 20.3710 | 64.240 | 0.317 | 0.755 | -114.084 154.826 |
| expression | 2.3710 | 5.170 | 0.459 | 0.652 | -8.451 13.193 |
| expression:C(dose)[T.1] | 4.7985 | 11.600 | 0.414 | 0.684 | -19.481 29.078 |
| Omnibus: | 0.000 | Durbin-Watson: | 1.826 |
| Prob(Omnibus): | 1.000 | Jarque-Bera (JB): | 0.164 |
| Skew: | 0.004 | Prob(JB): | 0.921 |
| Kurtosis: | 2.587 | Cond. No. | 92.4 |
Model:
AIM ~ expression + C(dose)
OLS Regression Results
| Dep. Variable: | AIM | R-squared: | 0.658 |
| Model: | OLS | Adj. R-squared: | 0.624 |
| Method: | Least Squares | F-statistic: | 19.26 |
| Date: | Sun, 09 Nov 2025 | Prob (F-statistic): | 2.17e-05 |
| Time: | 19:46:53 | Log-Likelihood: | -100.76 |
| No. Observations: | 23 | AIC: | 207.5 |
| Df Residuals: | 20 | BIC: | 210.9 |
| Df Model: | 2 | | |
| coef | std err | t | P>|t| | [95.0% Conf. Int.] |
| Intercept | 41.7575 | 17.997 | 2.320 | 0.031 | 4.217 79.298 |
| C(dose)[T.1] | 46.3849 | 12.834 | 3.614 | 0.002 | 19.614 73.156 |
| expression | 3.3243 | 4.532 | 0.734 | 0.472 | -6.128 12.777 |
| Omnibus: | 0.037 | Durbin-Watson: | 1.774 |
| Prob(Omnibus): | 0.981 | Jarque-Bera (JB): | 0.192 |
| Skew: | 0.081 | Prob(JB): | 0.909 |
| Kurtosis: | 2.583 | Cond. No. | 23.8 |
Model:
AIM ~ C(dose)
OLS Regression Results
| Dep. Variable: | AIM | R-squared: | 0.649 |
| Model: | OLS | Adj. R-squared: | 0.632 |
| Method: | Least Squares | F-statistic: | 38.84 |
| Date: | Sun, 09 Nov 2025 | Prob (F-statistic): | 3.51e-06 |
| Time: | 19:46:53 | Log-Likelihood: | -101.06 |
| No. Observations: | 23 | AIC: | 206.1 |
| Df Residuals: | 21 | BIC: | 208.4 |
| Df Model: | 1 | | |
| coef | std err | t | P>|t| | [95.0% Conf. Int.] |
| Intercept | 54.2083 | 5.919 | 9.159 | 0.000 | 41.900 66.517 |
| C(dose)[T.1] | 53.3371 | 8.558 | 6.232 | 0.000 | 35.539 71.135 |
| Omnibus: | 0.322 | Durbin-Watson: | 1.888 |
| Prob(Omnibus): | 0.851 | Jarque-Bera (JB): | 0.485 |
| Skew: | 0.060 | Prob(JB): | 0.785 |
| Kurtosis: | 2.299 | Cond. No. | 2.57 |
Model:
AIM ~ expression
OLS Regression Results
| Dep. Variable: | AIM | R-squared: | 0.435 |
| Model: | OLS | Adj. R-squared: | 0.408 |
| Method: | Least Squares | F-statistic: | 16.17 |
| Date: | Sun, 09 Nov 2025 | Prob (F-statistic): | 0.000617 |
| Time: | 19:46:53 | Log-Likelihood: | -106.54 |
| No. Observations: | 23 | AIC: | 217.1 |
| Df Residuals: | 21 | BIC: | 219.3 |
| Df Model: | 1 | | |
| coef | std err | t | P>|t| | [95.0% Conf. Int.] |
| Intercept | 6.5474 | 18.987 | 0.345 | 0.734 | -32.938 46.033 |
| expression | 15.4186 | 3.834 | 4.021 | 0.001 | 7.445 23.392 |
| Omnibus: | 0.840 | Durbin-Watson: | 1.720 |
| Prob(Omnibus): | 0.657 | Jarque-Bera (JB): | 0.719 |
| Skew: | 0.000 | Prob(JB): | 0.698 |
| Kurtosis: | 2.134 | Cond. No. | 18.0 |
CP101
Model Comparison: AIM ~ expression + C(dose) vs AIM ~ C(dose)
| F-statistic | p-value | df difference |
| 0.543 | 0.476 | 1.0 |
Model:
AIM ~ expression + C(dose) + expression:C(dose)
OLS Regression Results
| Dep. Variable: | AIM | R-squared: | 0.589 |
| Model: | OLS | Adj. R-squared: | 0.477 |
| Method: | Least Squares | F-statistic: | 5.252 |
| Date: | Sun, 09 Nov 2025 | Prob (F-statistic): | 0.0171 |
| Time: | 19:46:53 | Log-Likelihood: | -68.633 |
| No. Observations: | 15 | AIC: | 145.3 |
| Df Residuals: | 11 | BIC: | 148.1 |
| Df Model: | 3 | | |
| coef | std err | t | P>|t| | [95.0% Conf. Int.] |
| Intercept | -55.4312 | 140.916 | -0.393 | 0.702 | -365.586 254.724 |
| C(dose)[T.1] | 378.5049 | 185.018 | 2.046 | 0.065 | -28.716 785.726 |
| expression | 46.1361 | 52.773 | 0.874 | 0.401 | -70.017 162.289 |
| expression:C(dose)[T.1] | -119.4260 | 67.710 | -1.764 | 0.105 | -268.456 29.604 |
| Omnibus: | 0.286 | Durbin-Watson: | 0.820 |
| Prob(Omnibus): | 0.867 | Jarque-Bera (JB): | 0.371 |
| Skew: | -0.263 | Prob(JB): | 0.831 |
| Kurtosis: | 2.437 | Cond. No. | 114. |
Model:
AIM ~ expression + C(dose)
OLS Regression Results
| Dep. Variable: | AIM | R-squared: | 0.473 |
| Model: | OLS | Adj. R-squared: | 0.385 |
| Method: | Least Squares | F-statistic: | 5.377 |
| Date: | Sun, 09 Nov 2025 | Prob (F-statistic): | 0.0215 |
| Time: | 19:46:54 | Log-Likelihood: | -70.501 |
| No. Observations: | 15 | AIC: | 147.0 |
| Df Residuals: | 12 | BIC: | 149.1 |
| Df Model: | 2 | | |
| coef | std err | t | P>|t| | [95.0% Conf. Int.] |
| Intercept | 137.7590 | 96.139 | 1.433 | 0.177 | -71.711 347.229 |
| C(dose)[T.1] | 53.2609 | 16.354 | 3.257 | 0.007 | 17.628 88.894 |
| expression | -26.4104 | 35.854 | -0.737 | 0.476 | -104.530 51.710 |
| Omnibus: | 1.874 | Durbin-Watson: | 0.933 |
| Prob(Omnibus): | 0.392 | Jarque-Bera (JB): | 1.306 |
| Skew: | -0.692 | Prob(JB): | 0.520 |
| Kurtosis: | 2.580 | Cond. No. | 39.8 |
Model:
AIM ~ C(dose)
OLS Regression Results
| Dep. Variable: | AIM | R-squared: | 0.449 |
| Model: | OLS | Adj. R-squared: | 0.406 |
| Method: | Least Squares | F-statistic: | 10.58 |
| Date: | Sun, 09 Nov 2025 | Prob (F-statistic): | 0.00629 |
| Time: | 19:46:54 | Log-Likelihood: | -70.833 |
| No. Observations: | 15 | AIC: | 145.7 |
| Df Residuals: | 13 | BIC: | 147.1 |
| Df Model: | 1 | | |
| coef | std err | t | P>|t| | [95.0% Conf. Int.] |
| Intercept | 67.4286 | 11.044 | 6.106 | 0.000 | 43.570 91.287 |
| C(dose)[T.1] | 49.1964 | 15.122 | 3.253 | 0.006 | 16.527 81.866 |
| Omnibus: | 2.713 | Durbin-Watson: | 0.810 |
| Prob(Omnibus): | 0.258 | Jarque-Bera (JB): | 1.868 |
| Skew: | -0.843 | Prob(JB): | 0.393 |
| Kurtosis: | 2.619 | Cond. No. | 2.70 |
Model:
AIM ~ expression
OLS Regression Results
| Dep. Variable: | AIM | R-squared: | 0.007 |
| Model: | OLS | Adj. R-squared: | -0.070 |
| Method: | Least Squares | F-statistic: | 0.08513 |
| Date: | Sun, 09 Nov 2025 | Prob (F-statistic): | 0.775 |
| Time: | 19:46:54 | Log-Likelihood: | -75.251 |
| No. Observations: | 15 | AIC: | 154.5 |
| Df Residuals: | 13 | BIC: | 155.9 |
| Df Model: | 1 | | |
| coef | std err | t | P>|t| | [95.0% Conf. Int.] |
| Intercept | 58.0198 | 122.597 | 0.473 | 0.644 | -206.834 322.874 |
| expression | 12.9858 | 44.508 | 0.292 | 0.775 | -83.168 109.140 |
| Omnibus: | 0.907 | Durbin-Watson: | 1.575 |
| Prob(Omnibus): | 0.635 | Jarque-Bera (JB): | 0.693 |
| Skew: | 0.106 | Prob(JB): | 0.707 |
| Kurtosis: | 1.968 | Cond. No. | 37.7 |