AIM Score vs. Gene Expression
Full X range:
Auto X range:
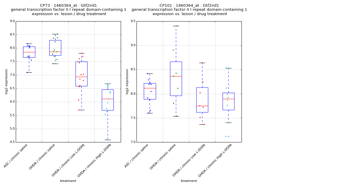
Group Comparisons: Boxplots
CP73
Model Comparison: AIM ~ expression + C(dose) vs AIM ~ C(dose)
| F-statistic | p-value | df difference |
| 0.108 | 0.746 | 1.0 |
Model:
AIM ~ expression + C(dose) + expression:C(dose)
OLS Regression Results
| Dep. Variable: | AIM | R-squared: | 0.713 |
| Model: | OLS | Adj. R-squared: | 0.668 |
| Method: | Least Squares | F-statistic: | 15.72 |
| Date: | Sun, 09 Nov 2025 | Prob (F-statistic): | 2.21e-05 |
| Time: | 19:45:00 | Log-Likelihood: | -98.755 |
| No. Observations: | 23 | AIC: | 205.5 |
| Df Residuals: | 19 | BIC: | 210.1 |
| Df Model: | 3 | | |
| coef | std err | t | P>|t| | [95.0% Conf. Int.] |
| Intercept | 155.9115 | 63.101 | 2.471 | 0.023 | 23.840 287.983 |
| C(dose)[T.1] | -124.8343 | 87.528 | -1.426 | 0.170 | -308.032 58.363 |
| expression | -14.6731 | 9.067 | -1.618 | 0.122 | -33.652 4.305 |
| expression:C(dose)[T.1] | 27.4034 | 13.536 | 2.024 | 0.057 | -0.929 55.736 |
| Omnibus: | 0.916 | Durbin-Watson: | 1.588 |
| Prob(Omnibus): | 0.633 | Jarque-Bera (JB): | 0.784 |
| Skew: | -0.146 | Prob(JB): | 0.676 |
| Kurtosis: | 2.144 | Cond. No. | 183. |
Model:
AIM ~ expression + C(dose)
OLS Regression Results
| Dep. Variable: | AIM | R-squared: | 0.651 |
| Model: | OLS | Adj. R-squared: | 0.616 |
| Method: | Least Squares | F-statistic: | 18.65 |
| Date: | Sun, 09 Nov 2025 | Prob (F-statistic): | 2.69e-05 |
| Time: | 19:45:00 | Log-Likelihood: | -101.00 |
| No. Observations: | 23 | AIC: | 208.0 |
| Df Residuals: | 20 | BIC: | 211.4 |
| Df Model: | 2 | | |
| coef | std err | t | P>|t| | [95.0% Conf. Int.] |
| Intercept | 70.6839 | 50.513 | 1.399 | 0.177 | -34.684 176.052 |
| C(dose)[T.1] | 51.1397 | 11.011 | 4.645 | 0.000 | 28.172 74.108 |
| expression | -2.3770 | 7.235 | -0.329 | 0.746 | -17.469 12.715 |
| Omnibus: | 0.161 | Durbin-Watson: | 1.821 |
| Prob(Omnibus): | 0.923 | Jarque-Bera (JB): | 0.376 |
| Skew: | 0.050 | Prob(JB): | 0.829 |
| Kurtosis: | 2.382 | Cond. No. | 78.2 |
Model:
AIM ~ C(dose)
OLS Regression Results
| Dep. Variable: | AIM | R-squared: | 0.649 |
| Model: | OLS | Adj. R-squared: | 0.632 |
| Method: | Least Squares | F-statistic: | 38.84 |
| Date: | Sun, 09 Nov 2025 | Prob (F-statistic): | 3.51e-06 |
| Time: | 19:45:00 | Log-Likelihood: | -101.06 |
| No. Observations: | 23 | AIC: | 206.1 |
| Df Residuals: | 21 | BIC: | 208.4 |
| Df Model: | 1 | | |
| coef | std err | t | P>|t| | [95.0% Conf. Int.] |
| Intercept | 54.2083 | 5.919 | 9.159 | 0.000 | 41.900 66.517 |
| C(dose)[T.1] | 53.3371 | 8.558 | 6.232 | 0.000 | 35.539 71.135 |
| Omnibus: | 0.322 | Durbin-Watson: | 1.888 |
| Prob(Omnibus): | 0.851 | Jarque-Bera (JB): | 0.485 |
| Skew: | 0.060 | Prob(JB): | 0.785 |
| Kurtosis: | 2.299 | Cond. No. | 2.57 |
Model:
AIM ~ expression
OLS Regression Results
| Dep. Variable: | AIM | R-squared: | 0.274 |
| Model: | OLS | Adj. R-squared: | 0.240 |
| Method: | Least Squares | F-statistic: | 7.944 |
| Date: | Sun, 09 Nov 2025 | Prob (F-statistic): | 0.0103 |
| Time: | 19:45:00 | Log-Likelihood: | -109.42 |
| No. Observations: | 23 | AIC: | 222.8 |
| Df Residuals: | 21 | BIC: | 225.1 |
| Df Model: | 1 | | |
| coef | std err | t | P>|t| | [95.0% Conf. Int.] |
| Intercept | 227.6088 | 52.832 | 4.308 | 0.000 | 117.739 337.478 |
| expression | -22.7907 | 8.086 | -2.818 | 0.010 | -39.607 -5.974 |
| Omnibus: | 2.211 | Durbin-Watson: | 1.672 |
| Prob(Omnibus): | 0.331 | Jarque-Bera (JB): | 1.854 |
| Skew: | 0.654 | Prob(JB): | 0.396 |
| Kurtosis: | 2.529 | Cond. No. | 57.5 |
CP101
Model Comparison: AIM ~ expression + C(dose) vs AIM ~ C(dose)
| F-statistic | p-value | df difference |
| 0.025 | 0.876 | 1.0 |
Model:
AIM ~ expression + C(dose) + expression:C(dose)
OLS Regression Results
| Dep. Variable: | AIM | R-squared: | 0.509 |
| Model: | OLS | Adj. R-squared: | 0.375 |
| Method: | Least Squares | F-statistic: | 3.801 |
| Date: | Sun, 09 Nov 2025 | Prob (F-statistic): | 0.0431 |
| Time: | 19:45:00 | Log-Likelihood: | -69.965 |
| No. Observations: | 15 | AIC: | 147.9 |
| Df Residuals: | 11 | BIC: | 150.8 |
| Df Model: | 3 | | |
| coef | std err | t | P>|t| | [95.0% Conf. Int.] |
| Intercept | 225.6680 | 219.173 | 1.030 | 0.325 | -256.728 708.064 |
| C(dose)[T.1] | -296.8614 | 301.322 | -0.985 | 0.346 | -960.068 366.345 |
| expression | -20.0484 | 27.731 | -0.723 | 0.485 | -81.085 40.988 |
| expression:C(dose)[T.1] | 44.0092 | 38.250 | 1.151 | 0.274 | -40.180 128.198 |
| Omnibus: | 5.686 | Durbin-Watson: | 1.175 |
| Prob(Omnibus): | 0.058 | Jarque-Bera (JB): | 3.115 |
| Skew: | -1.081 | Prob(JB): | 0.211 |
| Kurtosis: | 3.555 | Cond. No. | 419. |
Model:
AIM ~ expression + C(dose)
OLS Regression Results
| Dep. Variable: | AIM | R-squared: | 0.450 |
| Model: | OLS | Adj. R-squared: | 0.358 |
| Method: | Least Squares | F-statistic: | 4.908 |
| Date: | Sun, 09 Nov 2025 | Prob (F-statistic): | 0.0277 |
| Time: | 19:45:00 | Log-Likelihood: | -70.817 |
| No. Observations: | 15 | AIC: | 147.6 |
| Df Residuals: | 12 | BIC: | 149.8 |
| Df Model: | 2 | | |
| coef | std err | t | P>|t| | [95.0% Conf. Int.] |
| Intercept | 43.0910 | 153.206 | 0.281 | 0.783 | -290.716 376.898 |
| C(dose)[T.1] | 49.3638 | 15.758 | 3.133 | 0.009 | 15.030 83.698 |
| expression | 3.0835 | 19.356 | 0.159 | 0.876 | -39.090 45.257 |
| Omnibus: | 2.854 | Durbin-Watson: | 0.779 |
| Prob(Omnibus): | 0.240 | Jarque-Bera (JB): | 1.929 |
| Skew: | -0.862 | Prob(JB): | 0.381 |
| Kurtosis: | 2.665 | Cond. No. | 157. |
Model:
AIM ~ C(dose)
OLS Regression Results
| Dep. Variable: | AIM | R-squared: | 0.449 |
| Model: | OLS | Adj. R-squared: | 0.406 |
| Method: | Least Squares | F-statistic: | 10.58 |
| Date: | Sun, 09 Nov 2025 | Prob (F-statistic): | 0.00629 |
| Time: | 19:45:00 | Log-Likelihood: | -70.833 |
| No. Observations: | 15 | AIC: | 145.7 |
| Df Residuals: | 13 | BIC: | 147.1 |
| Df Model: | 1 | | |
| coef | std err | t | P>|t| | [95.0% Conf. Int.] |
| Intercept | 67.4286 | 11.044 | 6.106 | 0.000 | 43.570 91.287 |
| C(dose)[T.1] | 49.1964 | 15.122 | 3.253 | 0.006 | 16.527 81.866 |
| Omnibus: | 2.713 | Durbin-Watson: | 0.810 |
| Prob(Omnibus): | 0.258 | Jarque-Bera (JB): | 1.868 |
| Skew: | -0.843 | Prob(JB): | 0.393 |
| Kurtosis: | 2.619 | Cond. No. | 2.70 |
Model:
AIM ~ expression
OLS Regression Results
| Dep. Variable: | AIM | R-squared: | 0.000 |
| Model: | OLS | Adj. R-squared: | -0.077 |
| Method: | Least Squares | F-statistic: | 0.001469 |
| Date: | Sun, 09 Nov 2025 | Prob (F-statistic): | 0.970 |
| Time: | 19:45:00 | Log-Likelihood: | -75.299 |
| No. Observations: | 15 | AIC: | 154.6 |
| Df Residuals: | 13 | BIC: | 156.0 |
| Df Model: | 1 | | |
| coef | std err | t | P>|t| | [95.0% Conf. Int.] |
| Intercept | 101.2065 | 196.995 | 0.514 | 0.616 | -324.375 526.788 |
| expression | -0.9588 | 25.017 | -0.038 | 0.970 | -55.005 53.087 |
| Omnibus: | 0.593 | Durbin-Watson: | 1.622 |
| Prob(Omnibus): | 0.744 | Jarque-Bera (JB): | 0.578 |
| Skew: | 0.058 | Prob(JB): | 0.749 |
| Kurtosis: | 2.045 | Cond. No. | 155. |