AIM Score vs. Gene Expression
Full X range:
Auto X range:
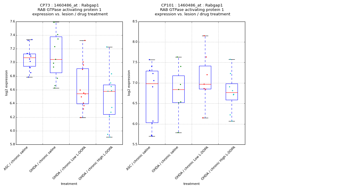
Group Comparisons: Boxplots
CP73
Model Comparison: AIM ~ expression + C(dose) vs AIM ~ C(dose)
| F-statistic | p-value | df difference |
| 0.000 | 0.995 | 1.0 |
Model:
AIM ~ expression + C(dose) + expression:C(dose)
OLS Regression Results
| Dep. Variable: | AIM | R-squared: | 0.661 |
| Model: | OLS | Adj. R-squared: | 0.608 |
| Method: | Least Squares | F-statistic: | 12.36 |
| Date: | Tue, 17 Mar 2026 | Prob (F-statistic): | 0.000103 |
| Time: | 09:50:23 | Log-Likelihood: | -100.66 |
| No. Observations: | 23 | AIC: | 209.3 |
| Df Residuals: | 19 | BIC: | 213.9 |
| Df Model: | 3 | | |
| coef | std err | t | P>|t| | [95.0% Conf. Int.] |
| Intercept | -23.5468 | 126.174 | -0.187 | 0.854 | -287.632 240.538 |
| C(dose)[T.1] | 192.1650 | 168.308 | 1.142 | 0.268 | -160.108 544.438 |
| expression | 11.7135 | 18.985 | 0.617 | 0.545 | -28.023 51.450 |
| expression:C(dose)[T.1] | -21.1425 | 25.597 | -0.826 | 0.419 | -74.718 32.433 |
| Omnibus: | 0.892 | Durbin-Watson: | 1.908 |
| Prob(Omnibus): | 0.640 | Jarque-Bera (JB): | 0.778 |
| Skew: | -0.153 | Prob(JB): | 0.678 |
| Kurtosis: | 2.152 | Cond. No. | 340. |
Model:
AIM ~ expression + C(dose)
OLS Regression Results
| Dep. Variable: | AIM | R-squared: | 0.649 |
| Model: | OLS | Adj. R-squared: | 0.614 |
| Method: | Least Squares | F-statistic: | 18.49 |
| Date: | Tue, 17 Mar 2026 | Prob (F-statistic): | 2.83e-05 |
| Time: | 09:50:23 | Log-Likelihood: | -101.06 |
| No. Observations: | 23 | AIC: | 208.1 |
| Df Residuals: | 20 | BIC: | 211.5 |
| Df Model: | 2 | | |
| coef | std err | t | P>|t| | [95.0% Conf. Int.] |
| Intercept | 53.6582 | 84.075 | 0.638 | 0.531 | -121.720 229.036 |
| C(dose)[T.1] | 53.3505 | 9.002 | 5.926 | 0.000 | 34.572 72.129 |
| expression | 0.0829 | 12.633 | 0.007 | 0.995 | -26.268 26.434 |
| Omnibus: | 0.324 | Durbin-Watson: | 1.887 |
| Prob(Omnibus): | 0.850 | Jarque-Bera (JB): | 0.486 |
| Skew: | 0.059 | Prob(JB): | 0.784 |
| Kurtosis: | 2.297 | Cond. No. | 129. |
Model:
AIM ~ C(dose)
OLS Regression Results
| Dep. Variable: | AIM | R-squared: | 0.649 |
| Model: | OLS | Adj. R-squared: | 0.632 |
| Method: | Least Squares | F-statistic: | 38.84 |
| Date: | Tue, 17 Mar 2026 | Prob (F-statistic): | 3.51e-06 |
| Time: | 09:50:23 | Log-Likelihood: | -101.06 |
| No. Observations: | 23 | AIC: | 206.1 |
| Df Residuals: | 21 | BIC: | 208.4 |
| Df Model: | 1 | | |
| coef | std err | t | P>|t| | [95.0% Conf. Int.] |
| Intercept | 54.2083 | 5.919 | 9.159 | 0.000 | 41.900 66.517 |
| C(dose)[T.1] | 53.3371 | 8.558 | 6.232 | 0.000 | 35.539 71.135 |
| Omnibus: | 0.322 | Durbin-Watson: | 1.888 |
| Prob(Omnibus): | 0.851 | Jarque-Bera (JB): | 0.485 |
| Skew: | 0.060 | Prob(JB): | 0.785 |
| Kurtosis: | 2.299 | Cond. No. | 2.57 |
Model:
AIM ~ expression
OLS Regression Results
| Dep. Variable: | AIM | R-squared: | 0.033 |
| Model: | OLS | Adj. R-squared: | -0.013 |
| Method: | Least Squares | F-statistic: | 0.7120 |
| Date: | Tue, 17 Mar 2026 | Prob (F-statistic): | 0.408 |
| Time: | 09:50:23 | Log-Likelihood: | -112.72 |
| No. Observations: | 23 | AIC: | 229.4 |
| Df Residuals: | 21 | BIC: | 231.7 |
| Df Model: | 1 | | |
| coef | std err | t | P>|t| | [95.0% Conf. Int.] |
| Intercept | 190.0964 | 131.006 | 1.451 | 0.162 | -82.345 462.537 |
| expression | -16.8232 | 19.938 | -0.844 | 0.408 | -58.286 24.639 |
| Omnibus: | 5.726 | Durbin-Watson: | 2.413 |
| Prob(Omnibus): | 0.057 | Jarque-Bera (JB): | 1.885 |
| Skew: | 0.242 | Prob(JB): | 0.390 |
| Kurtosis: | 1.684 | Cond. No. | 124. |
CP101
Model Comparison: AIM ~ expression + C(dose) vs AIM ~ C(dose)
| F-statistic | p-value | df difference |
| 1.554 | 0.236 | 1.0 |
Model:
AIM ~ expression + C(dose) + expression:C(dose)
OLS Regression Results
| Dep. Variable: | AIM | R-squared: | 0.578 |
| Model: | OLS | Adj. R-squared: | 0.464 |
| Method: | Least Squares | F-statistic: | 5.032 |
| Date: | Tue, 17 Mar 2026 | Prob (F-statistic): | 0.0195 |
| Time: | 09:50:23 | Log-Likelihood: | -68.821 |
| No. Observations: | 15 | AIC: | 145.6 |
| Df Residuals: | 11 | BIC: | 148.5 |
| Df Model: | 3 | | |
| coef | std err | t | P>|t| | [95.0% Conf. Int.] |
| Intercept | 85.8314 | 127.270 | 0.674 | 0.514 | -194.287 365.950 |
| C(dose)[T.1] | 297.3888 | 193.453 | 1.537 | 0.152 | -128.397 723.175 |
| expression | -2.5861 | 17.824 | -0.145 | 0.887 | -41.817 36.644 |
| expression:C(dose)[T.1] | -36.7304 | 27.879 | -1.317 | 0.214 | -98.093 24.632 |
| Omnibus: | 0.055 | Durbin-Watson: | 1.047 |
| Prob(Omnibus): | 0.973 | Jarque-Bera (JB): | 0.284 |
| Skew: | -0.027 | Prob(JB): | 0.868 |
| Kurtosis: | 2.328 | Cond. No. | 244. |
Model:
AIM ~ expression + C(dose)
OLS Regression Results
| Dep. Variable: | AIM | R-squared: | 0.512 |
| Model: | OLS | Adj. R-squared: | 0.431 |
| Method: | Least Squares | F-statistic: | 6.294 |
| Date: | Tue, 17 Mar 2026 | Prob (F-statistic): | 0.0135 |
| Time: | 09:50:23 | Log-Likelihood: | -69.920 |
| No. Observations: | 15 | AIC: | 145.8 |
| Df Residuals: | 12 | BIC: | 148.0 |
| Df Model: | 2 | | |
| coef | std err | t | P>|t| | [95.0% Conf. Int.] |
| Intercept | 192.6652 | 101.054 | 1.907 | 0.081 | -27.513 412.843 |
| C(dose)[T.1] | 43.2964 | 15.548 | 2.785 | 0.017 | 9.420 77.173 |
| expression | -17.5994 | 14.119 | -1.246 | 0.236 | -48.363 13.164 |
| Omnibus: | 1.466 | Durbin-Watson: | 1.219 |
| Prob(Omnibus): | 0.480 | Jarque-Bera (JB): | 1.193 |
| Skew: | -0.553 | Prob(JB): | 0.551 |
| Kurtosis: | 2.173 | Cond. No. | 97.5 |
Model:
AIM ~ C(dose)
OLS Regression Results
| Dep. Variable: | AIM | R-squared: | 0.449 |
| Model: | OLS | Adj. R-squared: | 0.406 |
| Method: | Least Squares | F-statistic: | 10.58 |
| Date: | Tue, 17 Mar 2026 | Prob (F-statistic): | 0.00629 |
| Time: | 09:50:23 | Log-Likelihood: | -70.833 |
| No. Observations: | 15 | AIC: | 145.7 |
| Df Residuals: | 13 | BIC: | 147.1 |
| Df Model: | 1 | | |
| coef | std err | t | P>|t| | [95.0% Conf. Int.] |
| Intercept | 67.4286 | 11.044 | 6.106 | 0.000 | 43.570 91.287 |
| C(dose)[T.1] | 49.1964 | 15.122 | 3.253 | 0.006 | 16.527 81.866 |
| Omnibus: | 2.713 | Durbin-Watson: | 0.810 |
| Prob(Omnibus): | 0.258 | Jarque-Bera (JB): | 1.868 |
| Skew: | -0.843 | Prob(JB): | 0.393 |
| Kurtosis: | 2.619 | Cond. No. | 2.70 |
Model:
AIM ~ expression
OLS Regression Results
| Dep. Variable: | AIM | R-squared: | 0.197 |
| Model: | OLS | Adj. R-squared: | 0.135 |
| Method: | Least Squares | F-statistic: | 3.181 |
| Date: | Tue, 17 Mar 2026 | Prob (F-statistic): | 0.0978 |
| Time: | 09:50:23 | Log-Likelihood: | -73.658 |
| No. Observations: | 15 | AIC: | 151.3 |
| Df Residuals: | 13 | BIC: | 152.7 |
| Df Model: | 1 | | |
| coef | std err | t | P>|t| | [95.0% Conf. Int.] |
| Intercept | 298.7942 | 115.371 | 2.590 | 0.022 | 49.550 548.039 |
| expression | -29.5693 | 16.579 | -1.784 | 0.098 | -65.386 6.247 |
| Omnibus: | 0.319 | Durbin-Watson: | 1.630 |
| Prob(Omnibus): | 0.853 | Jarque-Bera (JB): | 0.074 |
| Skew: | -0.146 | Prob(JB): | 0.964 |
| Kurtosis: | 2.819 | Cond. No. | 90.0 |