AIM Score vs. Gene Expression
Full X range:
Auto X range:
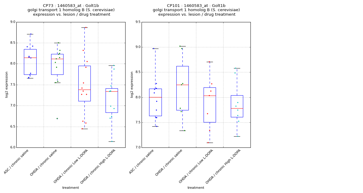
Group Comparisons: Boxplots
CP73
Model Comparison: AIM ~ expression + C(dose) vs AIM ~ C(dose)
| F-statistic | p-value | df difference |
| 2.056 | 0.167 | 1.0 |
Model:
AIM ~ expression + C(dose) + expression:C(dose)
OLS Regression Results
| Dep. Variable: | AIM | R-squared: | 0.682 |
| Model: | OLS | Adj. R-squared: | 0.632 |
| Method: | Least Squares | F-statistic: | 13.60 |
| Date: | Mon, 27 Oct 2025 | Prob (F-statistic): | 5.67e-05 |
| Time: | 06:08:48 | Log-Likelihood: | -99.918 |
| No. Observations: | 23 | AIC: | 207.8 |
| Df Residuals: | 19 | BIC: | 212.4 |
| Df Model: | 3 | | |
| coef | std err | t | P>|t| | [95.0% Conf. Int.] |
| Intercept | 120.4933 | 63.669 | 1.892 | 0.074 | -12.768 253.755 |
| C(dose)[T.1] | 69.4154 | 108.051 | 0.642 | 0.528 | -156.738 295.569 |
| expression | -8.8706 | 8.484 | -1.046 | 0.309 | -26.627 8.886 |
| expression:C(dose)[T.1] | -2.6206 | 14.818 | -0.177 | 0.861 | -33.635 28.394 |
| Omnibus: | 1.235 | Durbin-Watson: | 1.794 |
| Prob(Omnibus): | 0.539 | Jarque-Bera (JB): | 0.862 |
| Skew: | -0.065 | Prob(JB): | 0.650 |
| Kurtosis: | 2.060 | Cond. No. | 228. |
Model:
AIM ~ expression + C(dose)
OLS Regression Results
| Dep. Variable: | AIM | R-squared: | 0.682 |
| Model: | OLS | Adj. R-squared: | 0.650 |
| Method: | Least Squares | F-statistic: | 21.42 |
| Date: | Mon, 27 Oct 2025 | Prob (F-statistic): | 1.07e-05 |
| Time: | 06:08:48 | Log-Likelihood: | -99.937 |
| No. Observations: | 23 | AIC: | 205.9 |
| Df Residuals: | 20 | BIC: | 209.3 |
| Df Model: | 2 | | |
| coef | std err | t | P>|t| | [95.0% Conf. Int.] |
| Intercept | 126.9119 | 51.029 | 2.487 | 0.022 | 20.466 233.358 |
| C(dose)[T.1] | 50.3701 | 8.604 | 5.855 | 0.000 | 32.423 68.317 |
| expression | -9.7296 | 6.785 | -1.434 | 0.167 | -23.883 4.424 |
| Omnibus: | 1.248 | Durbin-Watson: | 1.815 |
| Prob(Omnibus): | 0.536 | Jarque-Bera (JB): | 0.877 |
| Skew: | -0.097 | Prob(JB): | 0.645 |
| Kurtosis: | 2.063 | Cond. No. | 91.9 |
Model:
AIM ~ C(dose)
OLS Regression Results
| Dep. Variable: | AIM | R-squared: | 0.649 |
| Model: | OLS | Adj. R-squared: | 0.632 |
| Method: | Least Squares | F-statistic: | 38.84 |
| Date: | Mon, 27 Oct 2025 | Prob (F-statistic): | 3.51e-06 |
| Time: | 06:08:48 | Log-Likelihood: | -101.06 |
| No. Observations: | 23 | AIC: | 206.1 |
| Df Residuals: | 21 | BIC: | 208.4 |
| Df Model: | 1 | | |
| coef | std err | t | P>|t| | [95.0% Conf. Int.] |
| Intercept | 54.2083 | 5.919 | 9.159 | 0.000 | 41.900 66.517 |
| C(dose)[T.1] | 53.3371 | 8.558 | 6.232 | 0.000 | 35.539 71.135 |
| Omnibus: | 0.322 | Durbin-Watson: | 1.888 |
| Prob(Omnibus): | 0.851 | Jarque-Bera (JB): | 0.485 |
| Skew: | 0.060 | Prob(JB): | 0.785 |
| Kurtosis: | 2.299 | Cond. No. | 2.57 |
Model:
AIM ~ expression
OLS Regression Results
| Dep. Variable: | AIM | R-squared: | 0.136 |
| Model: | OLS | Adj. R-squared: | 0.095 |
| Method: | Least Squares | F-statistic: | 3.317 |
| Date: | Mon, 27 Oct 2025 | Prob (F-statistic): | 0.0829 |
| Time: | 06:08:48 | Log-Likelihood: | -111.42 |
| No. Observations: | 23 | AIC: | 226.8 |
| Df Residuals: | 21 | BIC: | 229.1 |
| Df Model: | 1 | | |
| coef | std err | t | P>|t| | [95.0% Conf. Int.] |
| Intercept | 220.9965 | 77.864 | 2.838 | 0.010 | 59.070 382.923 |
| expression | -19.2830 | 10.588 | -1.821 | 0.083 | -41.302 2.736 |
| Omnibus: | 0.716 | Durbin-Watson: | 2.640 |
| Prob(Omnibus): | 0.699 | Jarque-Bera (JB): | 0.732 |
| Skew: | 0.212 | Prob(JB): | 0.694 |
| Kurtosis: | 2.236 | Cond. No. | 86.9 |
CP101
Model Comparison: AIM ~ expression + C(dose) vs AIM ~ C(dose)
| F-statistic | p-value | df difference |
| 0.147 | 0.708 | 1.0 |
Model:
AIM ~ expression + C(dose) + expression:C(dose)
OLS Regression Results
| Dep. Variable: | AIM | R-squared: | 0.474 |
| Model: | OLS | Adj. R-squared: | 0.331 |
| Method: | Least Squares | F-statistic: | 3.304 |
| Date: | Mon, 27 Oct 2025 | Prob (F-statistic): | 0.0613 |
| Time: | 06:08:48 | Log-Likelihood: | -70.482 |
| No. Observations: | 15 | AIC: | 149.0 |
| Df Residuals: | 11 | BIC: | 151.8 |
| Df Model: | 3 | | |
| coef | std err | t | P>|t| | [95.0% Conf. Int.] |
| Intercept | -57.1312 | 179.998 | -0.317 | 0.757 | -453.304 339.042 |
| C(dose)[T.1] | 216.7331 | 269.260 | 0.805 | 0.438 | -375.905 809.371 |
| expression | 15.7833 | 22.760 | 0.693 | 0.502 | -34.310 65.877 |
| expression:C(dose)[T.1] | -21.2490 | 34.127 | -0.623 | 0.546 | -96.363 53.865 |
| Omnibus: | 2.007 | Durbin-Watson: | 0.893 |
| Prob(Omnibus): | 0.367 | Jarque-Bera (JB): | 1.520 |
| Skew: | -0.721 | Prob(JB): | 0.468 |
| Kurtosis: | 2.407 | Cond. No. | 349. |
Model:
AIM ~ expression + C(dose)
OLS Regression Results
| Dep. Variable: | AIM | R-squared: | 0.455 |
| Model: | OLS | Adj. R-squared: | 0.365 |
| Method: | Least Squares | F-statistic: | 5.018 |
| Date: | Mon, 27 Oct 2025 | Prob (F-statistic): | 0.0261 |
| Time: | 06:08:48 | Log-Likelihood: | -70.742 |
| No. Observations: | 15 | AIC: | 147.5 |
| Df Residuals: | 12 | BIC: | 149.6 |
| Df Model: | 2 | | |
| coef | std err | t | P>|t| | [95.0% Conf. Int.] |
| Intercept | 17.4522 | 130.880 | 0.133 | 0.896 | -267.711 302.615 |
| C(dose)[T.1] | 49.3796 | 15.651 | 3.155 | 0.008 | 15.278 83.481 |
| expression | 6.3326 | 16.521 | 0.383 | 0.708 | -29.663 42.328 |
| Omnibus: | 4.353 | Durbin-Watson: | 0.766 |
| Prob(Omnibus): | 0.113 | Jarque-Bera (JB): | 2.608 |
| Skew: | -1.021 | Prob(JB): | 0.271 |
| Kurtosis: | 3.073 | Cond. No. | 135. |
Model:
AIM ~ C(dose)
OLS Regression Results
| Dep. Variable: | AIM | R-squared: | 0.449 |
| Model: | OLS | Adj. R-squared: | 0.406 |
| Method: | Least Squares | F-statistic: | 10.58 |
| Date: | Mon, 27 Oct 2025 | Prob (F-statistic): | 0.00629 |
| Time: | 06:08:48 | Log-Likelihood: | -70.833 |
| No. Observations: | 15 | AIC: | 145.7 |
| Df Residuals: | 13 | BIC: | 147.1 |
| Df Model: | 1 | | |
| coef | std err | t | P>|t| | [95.0% Conf. Int.] |
| Intercept | 67.4286 | 11.044 | 6.106 | 0.000 | 43.570 91.287 |
| C(dose)[T.1] | 49.1964 | 15.122 | 3.253 | 0.006 | 16.527 81.866 |
| Omnibus: | 2.713 | Durbin-Watson: | 0.810 |
| Prob(Omnibus): | 0.258 | Jarque-Bera (JB): | 1.868 |
| Skew: | -0.843 | Prob(JB): | 0.393 |
| Kurtosis: | 2.619 | Cond. No. | 2.70 |
Model:
AIM ~ expression
OLS Regression Results
| Dep. Variable: | AIM | R-squared: | 0.004 |
| Model: | OLS | Adj. R-squared: | -0.073 |
| Method: | Least Squares | F-statistic: | 0.04881 |
| Date: | Mon, 27 Oct 2025 | Prob (F-statistic): | 0.829 |
| Time: | 06:08:48 | Log-Likelihood: | -75.272 |
| No. Observations: | 15 | AIC: | 154.5 |
| Df Residuals: | 13 | BIC: | 156.0 |
| Df Model: | 1 | | |
| coef | std err | t | P>|t| | [95.0% Conf. Int.] |
| Intercept | 56.3236 | 169.326 | 0.333 | 0.745 | -309.483 422.130 |
| expression | 4.7411 | 21.459 | 0.221 | 0.829 | -41.618 51.101 |
| Omnibus: | 0.780 | Durbin-Watson: | 1.666 |
| Prob(Omnibus): | 0.677 | Jarque-Bera (JB): | 0.641 |
| Skew: | 0.034 | Prob(JB): | 0.726 |
| Kurtosis: | 1.989 | Cond. No. | 134. |