AIM Score vs. Gene Expression
Full X range:
Auto X range:
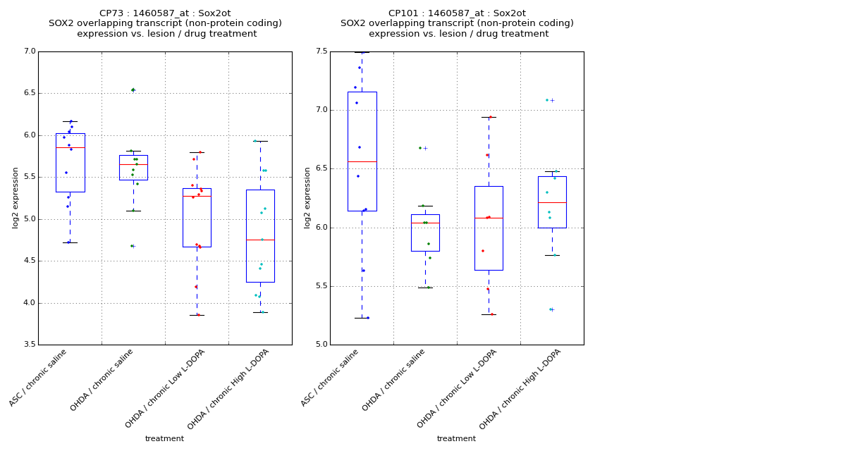
Group Comparisons: Boxplots
CP73
Model Comparison: AIM ~ expression + C(dose) vs AIM ~ C(dose)
| F-statistic | p-value | df difference |
| 0.534 | 0.474 | 1.0 |
Model:
AIM ~ expression + C(dose) + expression:C(dose)
OLS Regression Results
| Dep. Variable: | AIM | R-squared: | 0.661 |
| Model: | OLS | Adj. R-squared: | 0.607 |
| Method: | Least Squares | F-statistic: | 12.34 |
| Date: | Sun, 22 Mar 2026 | Prob (F-statistic): | 0.000104 |
| Time: | 23:53:04 | Log-Likelihood: | -100.67 |
| No. Observations: | 23 | AIC: | 209.3 |
| Df Residuals: | 19 | BIC: | 213.9 |
| Df Model: | 3 | | |
| coef | std err | t | P>|t| | [95.0% Conf. Int.] |
| Intercept | 64.7977 | 53.729 | 1.206 | 0.243 | -47.658 177.254 |
| C(dose)[T.1] | 79.3217 | 71.378 | 1.111 | 0.280 | -70.073 228.717 |
| expression | -2.1102 | 10.637 | -0.198 | 0.845 | -24.374 20.154 |
| expression:C(dose)[T.1] | -5.4864 | 14.375 | -0.382 | 0.707 | -35.574 24.601 |
| Omnibus: | 1.664 | Durbin-Watson: | 1.853 |
| Prob(Omnibus): | 0.435 | Jarque-Bera (JB): | 0.994 |
| Skew: | 0.083 | Prob(JB): | 0.608 |
| Kurtosis: | 1.995 | Cond. No. | 110. |
Model:
AIM ~ expression + C(dose)
OLS Regression Results
| Dep. Variable: | AIM | R-squared: | 0.658 |
| Model: | OLS | Adj. R-squared: | 0.624 |
| Method: | Least Squares | F-statistic: | 19.26 |
| Date: | Sun, 22 Mar 2026 | Prob (F-statistic): | 2.18e-05 |
| Time: | 23:53:04 | Log-Likelihood: | -100.76 |
| No. Observations: | 23 | AIC: | 207.5 |
| Df Residuals: | 20 | BIC: | 210.9 |
| Df Model: | 2 | | |
| coef | std err | t | P>|t| | [95.0% Conf. Int.] |
| Intercept | 79.8730 | 35.636 | 2.241 | 0.037 | 5.538 154.208 |
| C(dose)[T.1] | 52.2956 | 8.772 | 5.962 | 0.000 | 33.998 70.593 |
| expression | -5.1143 | 7.000 | -0.731 | 0.474 | -19.717 9.488 |
| Omnibus: | 1.858 | Durbin-Watson: | 1.842 |
| Prob(Omnibus): | 0.395 | Jarque-Bera (JB): | 1.028 |
| Skew: | 0.002 | Prob(JB): | 0.598 |
| Kurtosis: | 1.964 | Cond. No. | 42.7 |
Model:
AIM ~ C(dose)
OLS Regression Results
| Dep. Variable: | AIM | R-squared: | 0.649 |
| Model: | OLS | Adj. R-squared: | 0.632 |
| Method: | Least Squares | F-statistic: | 38.84 |
| Date: | Sun, 22 Mar 2026 | Prob (F-statistic): | 3.51e-06 |
| Time: | 23:53:04 | Log-Likelihood: | -101.06 |
| No. Observations: | 23 | AIC: | 206.1 |
| Df Residuals: | 21 | BIC: | 208.4 |
| Df Model: | 1 | | |
| coef | std err | t | P>|t| | [95.0% Conf. Int.] |
| Intercept | 54.2083 | 5.919 | 9.159 | 0.000 | 41.900 66.517 |
| C(dose)[T.1] | 53.3371 | 8.558 | 6.232 | 0.000 | 35.539 71.135 |
| Omnibus: | 0.322 | Durbin-Watson: | 1.888 |
| Prob(Omnibus): | 0.851 | Jarque-Bera (JB): | 0.485 |
| Skew: | 0.060 | Prob(JB): | 0.785 |
| Kurtosis: | 2.299 | Cond. No. | 2.57 |
Model:
AIM ~ expression
OLS Regression Results
| Dep. Variable: | AIM | R-squared: | 0.051 |
| Model: | OLS | Adj. R-squared: | 0.006 |
| Method: | Least Squares | F-statistic: | 1.122 |
| Date: | Sun, 22 Mar 2026 | Prob (F-statistic): | 0.302 |
| Time: | 23:53:04 | Log-Likelihood: | -112.51 |
| No. Observations: | 23 | AIC: | 229.0 |
| Df Residuals: | 21 | BIC: | 231.3 |
| Df Model: | 1 | | |
| coef | std err | t | P>|t| | [95.0% Conf. Int.] |
| Intercept | 138.2623 | 55.724 | 2.481 | 0.022 | 22.378 254.146 |
| expression | -11.8975 | 11.234 | -1.059 | 0.302 | -35.259 11.464 |
| Omnibus: | 1.741 | Durbin-Watson: | 2.602 |
| Prob(Omnibus): | 0.419 | Jarque-Bera (JB): | 1.122 |
| Skew: | 0.232 | Prob(JB): | 0.571 |
| Kurtosis: | 2.022 | Cond. No. | 40.9 |
CP101
Model Comparison: AIM ~ expression + C(dose) vs AIM ~ C(dose)
| F-statistic | p-value | df difference |
| 2.077 | 0.175 | 1.0 |
Model:
AIM ~ expression + C(dose) + expression:C(dose)
OLS Regression Results
| Dep. Variable: | AIM | R-squared: | 0.530 |
| Model: | OLS | Adj. R-squared: | 0.402 |
| Method: | Least Squares | F-statistic: | 4.138 |
| Date: | Sun, 22 Mar 2026 | Prob (F-statistic): | 0.0343 |
| Time: | 23:53:04 | Log-Likelihood: | -69.634 |
| No. Observations: | 15 | AIC: | 147.3 |
| Df Residuals: | 11 | BIC: | 150.1 |
| Df Model: | 3 | | |
| coef | std err | t | P>|t| | [95.0% Conf. Int.] |
| Intercept | 192.5495 | 121.930 | 1.579 | 0.143 | -75.816 460.915 |
| C(dose)[T.1] | 44.1823 | 179.036 | 0.247 | 0.810 | -349.874 438.239 |
| expression | -20.7265 | 20.114 | -1.030 | 0.325 | -64.998 23.545 |
| expression:C(dose)[T.1] | 1.3369 | 29.150 | 0.046 | 0.964 | -62.821 65.495 |
| Omnibus: | 2.155 | Durbin-Watson: | 1.071 |
| Prob(Omnibus): | 0.340 | Jarque-Bera (JB): | 1.605 |
| Skew: | -0.751 | Prob(JB): | 0.448 |
| Kurtosis: | 2.441 | Cond. No. | 196. |
Model:
AIM ~ expression + C(dose)
OLS Regression Results
| Dep. Variable: | AIM | R-squared: | 0.530 |
| Model: | OLS | Adj. R-squared: | 0.452 |
| Method: | Least Squares | F-statistic: | 6.769 |
| Date: | Sun, 22 Mar 2026 | Prob (F-statistic): | 0.0108 |
| Time: | 23:53:04 | Log-Likelihood: | -69.636 |
| No. Observations: | 15 | AIC: | 145.3 |
| Df Residuals: | 12 | BIC: | 147.4 |
| Df Model: | 2 | | |
| coef | std err | t | P>|t| | [95.0% Conf. Int.] |
| Intercept | 188.7066 | 84.818 | 2.225 | 0.046 | 3.904 373.509 |
| C(dose)[T.1] | 52.3635 | 14.697 | 3.563 | 0.004 | 20.341 84.386 |
| expression | -20.0899 | 13.940 | -1.441 | 0.175 | -50.462 10.282 |
| Omnibus: | 2.126 | Durbin-Watson: | 1.060 |
| Prob(Omnibus): | 0.345 | Jarque-Bera (JB): | 1.585 |
| Skew: | -0.745 | Prob(JB): | 0.453 |
| Kurtosis: | 2.440 | Cond. No. | 74.1 |
Model:
AIM ~ C(dose)
OLS Regression Results
| Dep. Variable: | AIM | R-squared: | 0.449 |
| Model: | OLS | Adj. R-squared: | 0.406 |
| Method: | Least Squares | F-statistic: | 10.58 |
| Date: | Sun, 22 Mar 2026 | Prob (F-statistic): | 0.00629 |
| Time: | 23:53:04 | Log-Likelihood: | -70.833 |
| No. Observations: | 15 | AIC: | 145.7 |
| Df Residuals: | 13 | BIC: | 147.1 |
| Df Model: | 1 | | |
| coef | std err | t | P>|t| | [95.0% Conf. Int.] |
| Intercept | 67.4286 | 11.044 | 6.106 | 0.000 | 43.570 91.287 |
| C(dose)[T.1] | 49.1964 | 15.122 | 3.253 | 0.006 | 16.527 81.866 |
| Omnibus: | 2.713 | Durbin-Watson: | 0.810 |
| Prob(Omnibus): | 0.258 | Jarque-Bera (JB): | 1.868 |
| Skew: | -0.843 | Prob(JB): | 0.393 |
| Kurtosis: | 2.619 | Cond. No. | 2.70 |
Model:
AIM ~ expression
OLS Regression Results
| Dep. Variable: | AIM | R-squared: | 0.033 |
| Model: | OLS | Adj. R-squared: | -0.041 |
| Method: | Least Squares | F-statistic: | 0.4444 |
| Date: | Sun, 22 Mar 2026 | Prob (F-statistic): | 0.517 |
| Time: | 23:53:04 | Log-Likelihood: | -75.048 |
| No. Observations: | 15 | AIC: | 154.1 |
| Df Residuals: | 13 | BIC: | 155.5 |
| Df Model: | 1 | | |
| coef | std err | t | P>|t| | [95.0% Conf. Int.] |
| Intercept | 171.1820 | 116.701 | 1.467 | 0.166 | -80.935 423.299 |
| expression | -12.6641 | 18.996 | -0.667 | 0.517 | -53.703 28.375 |
| Omnibus: | 1.734 | Durbin-Watson: | 1.930 |
| Prob(Omnibus): | 0.420 | Jarque-Bera (JB): | 0.918 |
| Skew: | 0.136 | Prob(JB): | 0.632 |
| Kurtosis: | 1.819 | Cond. No. | 73.6 |