AIM Score vs. Gene Expression
Full X range:
Auto X range:
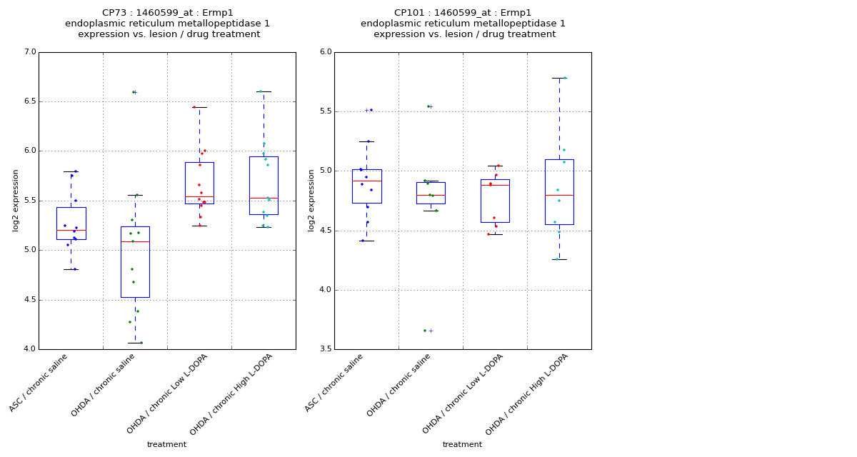
Group Comparisons: Boxplots
CP73
Model Comparison: AIM ~ expression + C(dose) vs AIM ~ C(dose)
| F-statistic | p-value | df difference |
| 0.387 | 0.541 | 1.0 |
Model:
AIM ~ expression + C(dose) + expression:C(dose)
OLS Regression Results
| Dep. Variable: | AIM | R-squared: | 0.664 |
| Model: | OLS | Adj. R-squared: | 0.611 |
| Method: | Least Squares | F-statistic: | 12.53 |
| Date: | Tue, 28 Oct 2025 | Prob (F-statistic): | 9.48e-05 |
| Time: | 08:59:31 | Log-Likelihood: | -100.56 |
| No. Observations: | 23 | AIC: | 209.1 |
| Df Residuals: | 19 | BIC: | 213.7 |
| Df Model: | 3 | | |
| coef | std err | t | P>|t| | [95.0% Conf. Int.] |
| Intercept | 39.5956 | 106.137 | 0.373 | 0.713 | -182.551 261.742 |
| C(dose)[T.1] | 149.4262 | 138.667 | 1.078 | 0.295 | -140.807 439.659 |
| expression | 2.5778 | 18.693 | 0.138 | 0.892 | -36.547 41.702 |
| expression:C(dose)[T.1] | -16.8783 | 24.362 | -0.693 | 0.497 | -67.868 34.112 |
| Omnibus: | 0.430 | Durbin-Watson: | 1.907 |
| Prob(Omnibus): | 0.806 | Jarque-Bera (JB): | 0.565 |
| Skew: | 0.210 | Prob(JB): | 0.754 |
| Kurtosis: | 2.357 | Cond. No. | 250. |
Model:
AIM ~ expression + C(dose)
OLS Regression Results
| Dep. Variable: | AIM | R-squared: | 0.656 |
| Model: | OLS | Adj. R-squared: | 0.621 |
| Method: | Least Squares | F-statistic: | 19.05 |
| Date: | Tue, 28 Oct 2025 | Prob (F-statistic): | 2.34e-05 |
| Time: | 08:59:31 | Log-Likelihood: | -100.84 |
| No. Observations: | 23 | AIC: | 207.7 |
| Df Residuals: | 20 | BIC: | 211.1 |
| Df Model: | 2 | | |
| coef | std err | t | P>|t| | [95.0% Conf. Int.] |
| Intercept | 95.9246 | 67.332 | 1.425 | 0.170 | -44.527 236.376 |
| C(dose)[T.1] | 53.5496 | 8.693 | 6.160 | 0.000 | 35.416 71.683 |
| expression | -7.3592 | 11.831 | -0.622 | 0.541 | -32.038 17.319 |
| Omnibus: | 0.681 | Durbin-Watson: | 1.923 |
| Prob(Omnibus): | 0.712 | Jarque-Bera (JB): | 0.741 |
| Skew: | 0.305 | Prob(JB): | 0.690 |
| Kurtosis: | 2.366 | Cond. No. | 91.4 |
Model:
AIM ~ C(dose)
OLS Regression Results
| Dep. Variable: | AIM | R-squared: | 0.649 |
| Model: | OLS | Adj. R-squared: | 0.632 |
| Method: | Least Squares | F-statistic: | 38.84 |
| Date: | Tue, 28 Oct 2025 | Prob (F-statistic): | 3.51e-06 |
| Time: | 08:59:31 | Log-Likelihood: | -101.06 |
| No. Observations: | 23 | AIC: | 206.1 |
| Df Residuals: | 21 | BIC: | 208.4 |
| Df Model: | 1 | | |
| coef | std err | t | P>|t| | [95.0% Conf. Int.] |
| Intercept | 54.2083 | 5.919 | 9.159 | 0.000 | 41.900 66.517 |
| C(dose)[T.1] | 53.3371 | 8.558 | 6.232 | 0.000 | 35.539 71.135 |
| Omnibus: | 0.322 | Durbin-Watson: | 1.888 |
| Prob(Omnibus): | 0.851 | Jarque-Bera (JB): | 0.485 |
| Skew: | 0.060 | Prob(JB): | 0.785 |
| Kurtosis: | 2.299 | Cond. No. | 2.57 |
Model:
AIM ~ expression
OLS Regression Results
| Dep. Variable: | AIM | R-squared: | 0.002 |
| Model: | OLS | Adj. R-squared: | -0.045 |
| Method: | Least Squares | F-statistic: | 0.05240 |
| Date: | Tue, 28 Oct 2025 | Prob (F-statistic): | 0.821 |
| Time: | 08:59:31 | Log-Likelihood: | -113.08 |
| No. Observations: | 23 | AIC: | 230.2 |
| Df Residuals: | 21 | BIC: | 232.4 |
| Df Model: | 1 | | |
| coef | std err | t | P>|t| | [95.0% Conf. Int.] |
| Intercept | 105.2614 | 111.819 | 0.941 | 0.357 | -127.279 337.802 |
| expression | -4.4953 | 19.637 | -0.229 | 0.821 | -45.333 36.343 |
| Omnibus: | 3.506 | Durbin-Watson: | 2.528 |
| Prob(Omnibus): | 0.173 | Jarque-Bera (JB): | 1.623 |
| Skew: | 0.297 | Prob(JB): | 0.444 |
| Kurtosis: | 1.843 | Cond. No. | 91.1 |
CP101
Model Comparison: AIM ~ expression + C(dose) vs AIM ~ C(dose)
| F-statistic | p-value | df difference |
| 0.509 | 0.489 | 1.0 |
Model:
AIM ~ expression + C(dose) + expression:C(dose)
OLS Regression Results
| Dep. Variable: | AIM | R-squared: | 0.472 |
| Model: | OLS | Adj. R-squared: | 0.328 |
| Method: | Least Squares | F-statistic: | 3.276 |
| Date: | Tue, 28 Oct 2025 | Prob (F-statistic): | 0.0626 |
| Time: | 08:59:31 | Log-Likelihood: | -70.512 |
| No. Observations: | 15 | AIC: | 149.0 |
| Df Residuals: | 11 | BIC: | 151.9 |
| Df Model: | 3 | | |
| coef | std err | t | P>|t| | [95.0% Conf. Int.] |
| Intercept | -33.6027 | 263.746 | -0.127 | 0.901 | -614.103 546.898 |
| C(dose)[T.1] | 80.9919 | 289.939 | 0.279 | 0.785 | -557.161 719.144 |
| expression | 21.1836 | 55.246 | 0.383 | 0.709 | -100.411 142.778 |
| expression:C(dose)[T.1] | -6.9567 | 60.493 | -0.115 | 0.911 | -140.100 126.187 |
| Omnibus: | 3.599 | Durbin-Watson: | 0.755 |
| Prob(Omnibus): | 0.165 | Jarque-Bera (JB): | 2.145 |
| Skew: | -0.926 | Prob(JB): | 0.342 |
| Kurtosis: | 2.974 | Cond. No. | 281. |
Model:
AIM ~ expression + C(dose)
OLS Regression Results
| Dep. Variable: | AIM | R-squared: | 0.471 |
| Model: | OLS | Adj. R-squared: | 0.383 |
| Method: | Least Squares | F-statistic: | 5.346 |
| Date: | Tue, 28 Oct 2025 | Prob (F-statistic): | 0.0219 |
| Time: | 08:59:31 | Log-Likelihood: | -70.521 |
| No. Observations: | 15 | AIC: | 147.0 |
| Df Residuals: | 12 | BIC: | 149.2 |
| Df Model: | 2 | | |
| coef | std err | t | P>|t| | [95.0% Conf. Int.] |
| Intercept | -5.9302 | 103.443 | -0.057 | 0.955 | -231.312 219.452 |
| C(dose)[T.1] | 47.7012 | 15.558 | 3.066 | 0.010 | 13.803 81.599 |
| expression | 15.3814 | 21.560 | 0.713 | 0.489 | -31.595 62.357 |
| Omnibus: | 3.876 | Durbin-Watson: | 0.758 |
| Prob(Omnibus): | 0.144 | Jarque-Bera (JB): | 2.307 |
| Skew: | -0.961 | Prob(JB): | 0.315 |
| Kurtosis: | 3.014 | Cond. No. | 68.2 |
Model:
AIM ~ C(dose)
OLS Regression Results
| Dep. Variable: | AIM | R-squared: | 0.449 |
| Model: | OLS | Adj. R-squared: | 0.406 |
| Method: | Least Squares | F-statistic: | 10.58 |
| Date: | Tue, 28 Oct 2025 | Prob (F-statistic): | 0.00629 |
| Time: | 08:59:31 | Log-Likelihood: | -70.833 |
| No. Observations: | 15 | AIC: | 145.7 |
| Df Residuals: | 13 | BIC: | 147.1 |
| Df Model: | 1 | | |
| coef | std err | t | P>|t| | [95.0% Conf. Int.] |
| Intercept | 67.4286 | 11.044 | 6.106 | 0.000 | 43.570 91.287 |
| C(dose)[T.1] | 49.1964 | 15.122 | 3.253 | 0.006 | 16.527 81.866 |
| Omnibus: | 2.713 | Durbin-Watson: | 0.810 |
| Prob(Omnibus): | 0.258 | Jarque-Bera (JB): | 1.868 |
| Skew: | -0.843 | Prob(JB): | 0.393 |
| Kurtosis: | 2.619 | Cond. No. | 2.70 |
Model:
AIM ~ expression
OLS Regression Results
| Dep. Variable: | AIM | R-squared: | 0.057 |
| Model: | OLS | Adj. R-squared: | -0.016 |
| Method: | Least Squares | F-statistic: | 0.7850 |
| Date: | Tue, 28 Oct 2025 | Prob (F-statistic): | 0.392 |
| Time: | 08:59:31 | Log-Likelihood: | -74.860 |
| No. Observations: | 15 | AIC: | 153.7 |
| Df Residuals: | 13 | BIC: | 155.1 |
| Df Model: | 1 | | |
| coef | std err | t | P>|t| | [95.0% Conf. Int.] |
| Intercept | -23.4232 | 132.519 | -0.177 | 0.862 | -309.714 262.867 |
| expression | 24.2866 | 27.411 | 0.886 | 0.392 | -34.931 83.504 |
| Omnibus: | 1.091 | Durbin-Watson: | 1.784 |
| Prob(Omnibus): | 0.580 | Jarque-Bera (JB): | 0.733 |
| Skew: | 0.016 | Prob(JB): | 0.693 |
| Kurtosis: | 1.918 | Cond. No. | 67.7 |