AIM Score vs. Gene Expression
Full X range:
Auto X range:
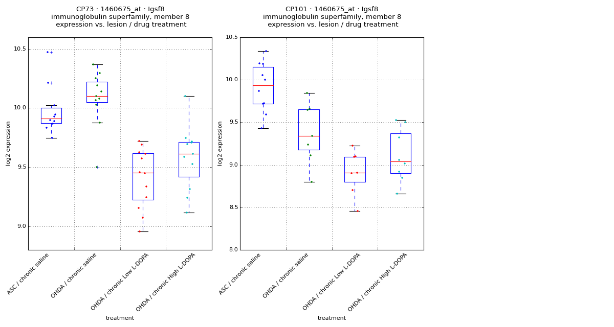
Group Comparisons: Boxplots
CP73
Model Comparison: AIM ~ expression + C(dose) vs AIM ~ C(dose)
| F-statistic | p-value | df difference |
| 0.334 | 0.570 | 1.0 |
Model:
AIM ~ expression + C(dose) + expression:C(dose)
OLS Regression Results
| Dep. Variable: | AIM | R-squared: | 0.657 |
| Model: | OLS | Adj. R-squared: | 0.603 |
| Method: | Least Squares | F-statistic: | 12.13 |
| Date: | Wed, 05 Nov 2025 | Prob (F-statistic): | 0.000115 |
| Time: | 14:44:19 | Log-Likelihood: | -100.80 |
| No. Observations: | 23 | AIC: | 209.6 |
| Df Residuals: | 19 | BIC: | 214.1 |
| Df Model: | 3 | | |
| coef | std err | t | P>|t| | [95.0% Conf. Int.] |
| Intercept | 207.1616 | 237.791 | 0.871 | 0.395 | -290.540 704.863 |
| C(dose)[T.1] | -61.4415 | 334.825 | -0.184 | 0.856 | -762.239 639.356 |
| expression | -16.2574 | 25.266 | -0.643 | 0.528 | -69.140 36.626 |
| expression:C(dose)[T.1] | 12.2720 | 35.264 | 0.348 | 0.732 | -61.536 86.080 |
| Omnibus: | 0.562 | Durbin-Watson: | 1.785 |
| Prob(Omnibus): | 0.755 | Jarque-Bera (JB): | 0.614 |
| Skew: | 0.087 | Prob(JB): | 0.736 |
| Kurtosis: | 2.219 | Cond. No. | 943. |
Model:
AIM ~ expression + C(dose)
OLS Regression Results
| Dep. Variable: | AIM | R-squared: | 0.655 |
| Model: | OLS | Adj. R-squared: | 0.620 |
| Method: | Least Squares | F-statistic: | 18.97 |
| Date: | Wed, 05 Nov 2025 | Prob (F-statistic): | 2.40e-05 |
| Time: | 14:44:19 | Log-Likelihood: | -100.87 |
| No. Observations: | 23 | AIC: | 207.7 |
| Df Residuals: | 20 | BIC: | 211.2 |
| Df Model: | 2 | | |
| coef | std err | t | P>|t| | [95.0% Conf. Int.] |
| Intercept | 147.8895 | 162.252 | 0.911 | 0.373 | -190.563 486.342 |
| C(dose)[T.1] | 55.0341 | 9.180 | 5.995 | 0.000 | 35.885 74.183 |
| expression | -9.9574 | 17.234 | -0.578 | 0.570 | -45.907 25.992 |
| Omnibus: | 0.635 | Durbin-Watson: | 1.784 |
| Prob(Omnibus): | 0.728 | Jarque-Bera (JB): | 0.663 |
| Skew: | 0.141 | Prob(JB): | 0.718 |
| Kurtosis: | 2.217 | Cond. No. | 359. |
Model:
AIM ~ C(dose)
OLS Regression Results
| Dep. Variable: | AIM | R-squared: | 0.649 |
| Model: | OLS | Adj. R-squared: | 0.632 |
| Method: | Least Squares | F-statistic: | 38.84 |
| Date: | Wed, 05 Nov 2025 | Prob (F-statistic): | 3.51e-06 |
| Time: | 14:44:19 | Log-Likelihood: | -101.06 |
| No. Observations: | 23 | AIC: | 206.1 |
| Df Residuals: | 21 | BIC: | 208.4 |
| Df Model: | 1 | | |
| coef | std err | t | P>|t| | [95.0% Conf. Int.] |
| Intercept | 54.2083 | 5.919 | 9.159 | 0.000 | 41.900 66.517 |
| C(dose)[T.1] | 53.3371 | 8.558 | 6.232 | 0.000 | 35.539 71.135 |
| Omnibus: | 0.322 | Durbin-Watson: | 1.888 |
| Prob(Omnibus): | 0.851 | Jarque-Bera (JB): | 0.485 |
| Skew: | 0.060 | Prob(JB): | 0.785 |
| Kurtosis: | 2.299 | Cond. No. | 2.57 |
Model:
AIM ~ expression
OLS Regression Results
| Dep. Variable: | AIM | R-squared: | 0.035 |
| Model: | OLS | Adj. R-squared: | -0.011 |
| Method: | Least Squares | F-statistic: | 0.7512 |
| Date: | Wed, 05 Nov 2025 | Prob (F-statistic): | 0.396 |
| Time: | 14:44:19 | Log-Likelihood: | -112.70 |
| No. Observations: | 23 | AIC: | 229.4 |
| Df Residuals: | 21 | BIC: | 231.7 |
| Df Model: | 1 | | |
| coef | std err | t | P>|t| | [95.0% Conf. Int.] |
| Intercept | -139.4723 | 252.993 | -0.551 | 0.587 | -665.601 386.656 |
| expression | 23.0976 | 26.649 | 0.867 | 0.396 | -32.323 78.518 |
| Omnibus: | 2.464 | Durbin-Watson: | 2.316 |
| Prob(Omnibus): | 0.292 | Jarque-Bera (JB): | 1.304 |
| Skew: | 0.227 | Prob(JB): | 0.521 |
| Kurtosis: | 1.926 | Cond. No. | 342. |
CP101
Model Comparison: AIM ~ expression + C(dose) vs AIM ~ C(dose)
| F-statistic | p-value | df difference |
| 0.029 | 0.868 | 1.0 |
Model:
AIM ~ expression + C(dose) + expression:C(dose)
OLS Regression Results
| Dep. Variable: | AIM | R-squared: | 0.560 |
| Model: | OLS | Adj. R-squared: | 0.440 |
| Method: | Least Squares | F-statistic: | 4.666 |
| Date: | Wed, 05 Nov 2025 | Prob (F-statistic): | 0.0244 |
| Time: | 14:44:19 | Log-Likelihood: | -69.143 |
| No. Observations: | 15 | AIC: | 146.3 |
| Df Residuals: | 11 | BIC: | 149.1 |
| Df Model: | 3 | | |
| coef | std err | t | P>|t| | [95.0% Conf. Int.] |
| Intercept | -402.0635 | 392.137 | -1.025 | 0.327 | -1265.150 461.023 |
| C(dose)[T.1] | 879.5545 | 500.642 | 1.757 | 0.107 | -222.351 1981.460 |
| expression | 52.6797 | 43.984 | 1.198 | 0.256 | -44.127 149.487 |
| expression:C(dose)[T.1] | -92.3084 | 55.692 | -1.657 | 0.126 | -214.885 30.268 |
| Omnibus: | 0.013 | Durbin-Watson: | 1.138 |
| Prob(Omnibus): | 0.993 | Jarque-Bera (JB): | 0.195 |
| Skew: | 0.055 | Prob(JB): | 0.907 |
| Kurtosis: | 2.452 | Cond. No. | 877. |
Model:
AIM ~ expression + C(dose)
OLS Regression Results
| Dep. Variable: | AIM | R-squared: | 0.450 |
| Model: | OLS | Adj. R-squared: | 0.358 |
| Method: | Least Squares | F-statistic: | 4.911 |
| Date: | Wed, 05 Nov 2025 | Prob (F-statistic): | 0.0277 |
| Time: | 14:44:19 | Log-Likelihood: | -70.815 |
| No. Observations: | 15 | AIC: | 147.6 |
| Df Residuals: | 12 | BIC: | 149.8 |
| Df Model: | 2 | | |
| coef | std err | t | P>|t| | [95.0% Conf. Int.] |
| Intercept | 111.0660 | 257.615 | 0.431 | 0.674 | -450.228 672.360 |
| C(dose)[T.1] | 50.1462 | 16.689 | 3.005 | 0.011 | 13.784 86.508 |
| expression | -4.8964 | 28.877 | -0.170 | 0.868 | -67.814 58.022 |
| Omnibus: | 2.447 | Durbin-Watson: | 0.860 |
| Prob(Omnibus): | 0.294 | Jarque-Bera (JB): | 1.724 |
| Skew: | -0.801 | Prob(JB): | 0.422 |
| Kurtosis: | 2.564 | Cond. No. | 301. |
Model:
AIM ~ C(dose)
OLS Regression Results
| Dep. Variable: | AIM | R-squared: | 0.449 |
| Model: | OLS | Adj. R-squared: | 0.406 |
| Method: | Least Squares | F-statistic: | 10.58 |
| Date: | Wed, 05 Nov 2025 | Prob (F-statistic): | 0.00629 |
| Time: | 14:44:19 | Log-Likelihood: | -70.833 |
| No. Observations: | 15 | AIC: | 145.7 |
| Df Residuals: | 13 | BIC: | 147.1 |
| Df Model: | 1 | | |
| coef | std err | t | P>|t| | [95.0% Conf. Int.] |
| Intercept | 67.4286 | 11.044 | 6.106 | 0.000 | 43.570 91.287 |
| C(dose)[T.1] | 49.1964 | 15.122 | 3.253 | 0.006 | 16.527 81.866 |
| Omnibus: | 2.713 | Durbin-Watson: | 0.810 |
| Prob(Omnibus): | 0.258 | Jarque-Bera (JB): | 1.868 |
| Skew: | -0.843 | Prob(JB): | 0.393 |
| Kurtosis: | 2.619 | Cond. No. | 2.70 |
Model:
AIM ~ expression
OLS Regression Results
| Dep. Variable: | AIM | R-squared: | 0.036 |
| Model: | OLS | Adj. R-squared: | -0.038 |
| Method: | Least Squares | F-statistic: | 0.4904 |
| Date: | Wed, 05 Nov 2025 | Prob (F-statistic): | 0.496 |
| Time: | 14:44:19 | Log-Likelihood: | -75.022 |
| No. Observations: | 15 | AIC: | 154.0 |
| Df Residuals: | 13 | BIC: | 155.5 |
| Df Model: | 1 | | |
| coef | std err | t | P>|t| | [95.0% Conf. Int.] |
| Intercept | -124.7552 | 312.070 | -0.400 | 0.696 | -798.942 549.431 |
| expression | 24.2270 | 34.597 | 0.700 | 0.496 | -50.514 98.968 |
| Omnibus: | 2.719 | Durbin-Watson: | 1.454 |
| Prob(Omnibus): | 0.257 | Jarque-Bera (JB): | 1.104 |
| Skew: | 0.124 | Prob(JB): | 0.576 |
| Kurtosis: | 1.695 | Cond. No. | 286. |