AIM Score vs. Gene Expression
Full X range:
Auto X range:
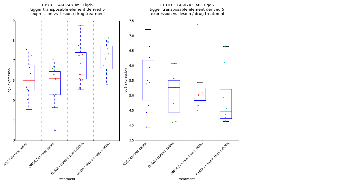
Group Comparisons: Boxplots
CP73
Model Comparison: AIM ~ expression + C(dose) vs AIM ~ C(dose)
| F-statistic | p-value | df difference |
| 0.551 | 0.467 | 1.0 |
Model:
AIM ~ expression + C(dose) + expression:C(dose)
OLS Regression Results
| Dep. Variable: | AIM | R-squared: | 0.713 |
| Model: | OLS | Adj. R-squared: | 0.668 |
| Method: | Least Squares | F-statistic: | 15.77 |
| Date: | Wed, 05 Nov 2025 | Prob (F-statistic): | 2.17e-05 |
| Time: | 23:35:18 | Log-Likelihood: | -98.732 |
| No. Observations: | 23 | AIC: | 205.5 |
| Df Residuals: | 19 | BIC: | 210.0 |
| Df Model: | 3 | | |
| coef | std err | t | P>|t| | [95.0% Conf. Int.] |
| Intercept | 35.8085 | 38.212 | 0.937 | 0.360 | -44.170 115.787 |
| C(dose)[T.1] | 179.3282 | 66.075 | 2.714 | 0.014 | 41.032 317.624 |
| expression | 2.6757 | 5.496 | 0.487 | 0.632 | -8.828 14.180 |
| expression:C(dose)[T.1] | -17.8115 | 9.329 | -1.909 | 0.071 | -37.338 1.714 |
| Omnibus: | 0.821 | Durbin-Watson: | 1.851 |
| Prob(Omnibus): | 0.663 | Jarque-Bera (JB): | 0.767 |
| Skew: | 0.187 | Prob(JB): | 0.681 |
| Kurtosis: | 2.188 | Cond. No. | 142. |
Model:
AIM ~ expression + C(dose)
OLS Regression Results
| Dep. Variable: | AIM | R-squared: | 0.658 |
| Model: | OLS | Adj. R-squared: | 0.624 |
| Method: | Least Squares | F-statistic: | 19.28 |
| Date: | Wed, 05 Nov 2025 | Prob (F-statistic): | 2.16e-05 |
| Time: | 23:35:18 | Log-Likelihood: | -100.75 |
| No. Observations: | 23 | AIC: | 207.5 |
| Df Residuals: | 20 | BIC: | 210.9 |
| Df Model: | 2 | | |
| coef | std err | t | P>|t| | [95.0% Conf. Int.] |
| Intercept | 78.3228 | 33.043 | 2.370 | 0.028 | 9.396 147.250 |
| C(dose)[T.1] | 54.1496 | 8.721 | 6.209 | 0.000 | 35.959 72.340 |
| expression | -3.5067 | 4.726 | -0.742 | 0.467 | -13.364 6.351 |
| Omnibus: | 0.466 | Durbin-Watson: | 1.880 |
| Prob(Omnibus): | 0.792 | Jarque-Bera (JB): | 0.561 |
| Skew: | -0.031 | Prob(JB): | 0.756 |
| Kurtosis: | 2.238 | Cond. No. | 55.1 |
Model:
AIM ~ C(dose)
OLS Regression Results
| Dep. Variable: | AIM | R-squared: | 0.649 |
| Model: | OLS | Adj. R-squared: | 0.632 |
| Method: | Least Squares | F-statistic: | 38.84 |
| Date: | Wed, 05 Nov 2025 | Prob (F-statistic): | 3.51e-06 |
| Time: | 23:35:18 | Log-Likelihood: | -101.06 |
| No. Observations: | 23 | AIC: | 206.1 |
| Df Residuals: | 21 | BIC: | 208.4 |
| Df Model: | 1 | | |
| coef | std err | t | P>|t| | [95.0% Conf. Int.] |
| Intercept | 54.2083 | 5.919 | 9.159 | 0.000 | 41.900 66.517 |
| C(dose)[T.1] | 53.3371 | 8.558 | 6.232 | 0.000 | 35.539 71.135 |
| Omnibus: | 0.322 | Durbin-Watson: | 1.888 |
| Prob(Omnibus): | 0.851 | Jarque-Bera (JB): | 0.485 |
| Skew: | 0.060 | Prob(JB): | 0.785 |
| Kurtosis: | 2.299 | Cond. No. | 2.57 |
Model:
AIM ~ expression
OLS Regression Results
| Dep. Variable: | AIM | R-squared: | 0.000 |
| Model: | OLS | Adj. R-squared: | -0.048 |
| Method: | Least Squares | F-statistic: | 0.0005146 |
| Date: | Wed, 05 Nov 2025 | Prob (F-statistic): | 0.982 |
| Time: | 23:35:18 | Log-Likelihood: | -113.10 |
| No. Observations: | 23 | AIC: | 230.2 |
| Df Residuals: | 21 | BIC: | 232.5 |
| Df Model: | 1 | | |
| coef | std err | t | P>|t| | [95.0% Conf. Int.] |
| Intercept | 78.4764 | 55.177 | 1.422 | 0.170 | -36.271 193.224 |
| expression | 0.1776 | 7.829 | 0.023 | 0.982 | -16.103 16.458 |
| Omnibus: | 3.297 | Durbin-Watson: | 2.490 |
| Prob(Omnibus): | 0.192 | Jarque-Bera (JB): | 1.577 |
| Skew: | 0.295 | Prob(JB): | 0.455 |
| Kurtosis: | 1.861 | Cond. No. | 55.0 |
CP101
Model Comparison: AIM ~ expression + C(dose) vs AIM ~ C(dose)
| F-statistic | p-value | df difference |
| 4.305 | 0.060 | 1.0 |
Model:
AIM ~ expression + C(dose) + expression:C(dose)
OLS Regression Results
| Dep. Variable: | AIM | R-squared: | 0.600 |
| Model: | OLS | Adj. R-squared: | 0.491 |
| Method: | Least Squares | F-statistic: | 5.503 |
| Date: | Wed, 05 Nov 2025 | Prob (F-statistic): | 0.0148 |
| Time: | 23:35:18 | Log-Likelihood: | -68.425 |
| No. Observations: | 15 | AIC: | 144.9 |
| Df Residuals: | 11 | BIC: | 147.7 |
| Df Model: | 3 | | |
| coef | std err | t | P>|t| | [95.0% Conf. Int.] |
| Intercept | 168.2793 | 61.827 | 2.722 | 0.020 | 32.199 304.359 |
| C(dose)[T.1] | 10.7621 | 81.497 | 0.132 | 0.897 | -168.612 190.136 |
| expression | -19.0050 | 11.491 | -1.654 | 0.126 | -44.296 6.286 |
| expression:C(dose)[T.1] | 6.2662 | 15.673 | 0.400 | 0.697 | -28.231 40.763 |
| Omnibus: | 0.716 | Durbin-Watson: | 1.582 |
| Prob(Omnibus): | 0.699 | Jarque-Bera (JB): | 0.713 |
| Skew: | -0.379 | Prob(JB): | 0.700 |
| Kurtosis: | 2.249 | Cond. No. | 84.5 |
Model:
AIM ~ expression + C(dose)
OLS Regression Results
| Dep. Variable: | AIM | R-squared: | 0.594 |
| Model: | OLS | Adj. R-squared: | 0.527 |
| Method: | Least Squares | F-statistic: | 8.790 |
| Date: | Wed, 05 Nov 2025 | Prob (F-statistic): | 0.00446 |
| Time: | 23:35:18 | Log-Likelihood: | -68.534 |
| No. Observations: | 15 | AIC: | 143.1 |
| Df Residuals: | 12 | BIC: | 145.2 |
| Df Model: | 2 | | |
| coef | std err | t | P>|t| | [95.0% Conf. Int.] |
| Intercept | 150.4073 | 41.189 | 3.652 | 0.003 | 60.665 240.150 |
| C(dose)[T.1] | 42.8347 | 13.846 | 3.094 | 0.009 | 12.666 73.003 |
| expression | -15.6371 | 7.536 | -2.075 | 0.060 | -32.057 0.783 |
| Omnibus: | 0.270 | Durbin-Watson: | 1.537 |
| Prob(Omnibus): | 0.874 | Jarque-Bera (JB): | 0.430 |
| Skew: | -0.206 | Prob(JB): | 0.807 |
| Kurtosis: | 2.280 | Cond. No. | 33.1 |
Model:
AIM ~ C(dose)
OLS Regression Results
| Dep. Variable: | AIM | R-squared: | 0.449 |
| Model: | OLS | Adj. R-squared: | 0.406 |
| Method: | Least Squares | F-statistic: | 10.58 |
| Date: | Wed, 05 Nov 2025 | Prob (F-statistic): | 0.00629 |
| Time: | 23:35:18 | Log-Likelihood: | -70.833 |
| No. Observations: | 15 | AIC: | 145.7 |
| Df Residuals: | 13 | BIC: | 147.1 |
| Df Model: | 1 | | |
| coef | std err | t | P>|t| | [95.0% Conf. Int.] |
| Intercept | 67.4286 | 11.044 | 6.106 | 0.000 | 43.570 91.287 |
| C(dose)[T.1] | 49.1964 | 15.122 | 3.253 | 0.006 | 16.527 81.866 |
| Omnibus: | 2.713 | Durbin-Watson: | 0.810 |
| Prob(Omnibus): | 0.258 | Jarque-Bera (JB): | 1.868 |
| Skew: | -0.843 | Prob(JB): | 0.393 |
| Kurtosis: | 2.619 | Cond. No. | 2.70 |
Model:
AIM ~ expression
OLS Regression Results
| Dep. Variable: | AIM | R-squared: | 0.271 |
| Model: | OLS | Adj. R-squared: | 0.215 |
| Method: | Least Squares | F-statistic: | 4.828 |
| Date: | Wed, 05 Nov 2025 | Prob (F-statistic): | 0.0467 |
| Time: | 23:35:18 | Log-Likelihood: | -72.932 |
| No. Observations: | 15 | AIC: | 149.9 |
| Df Residuals: | 13 | BIC: | 151.3 |
| Df Model: | 1 | | |
| coef | std err | t | P>|t| | [95.0% Conf. Int.] |
| Intercept | 199.5261 | 48.955 | 4.076 | 0.001 | 93.765 305.287 |
| expression | -20.7994 | 9.466 | -2.197 | 0.047 | -41.250 -0.348 |
| Omnibus: | 2.299 | Durbin-Watson: | 2.257 |
| Prob(Omnibus): | 0.317 | Jarque-Bera (JB): | 1.657 |
| Skew: | 0.777 | Prob(JB): | 0.437 |
| Kurtosis: | 2.514 | Cond. No. | 30.2 |